Comparative Study of Vortex-Induced Vibration of FRP Composite Risers with Large Length to Diameter Ratio Under Different Environmental Situations
Abstract
:1. Introduction
2. Materials and Methods
2.1. Materials for the Risers
2.2. Riser Geometries
2.3. FE Modelling and Study Cases
3. Results and Discussion
3.1. Natural Frequencies
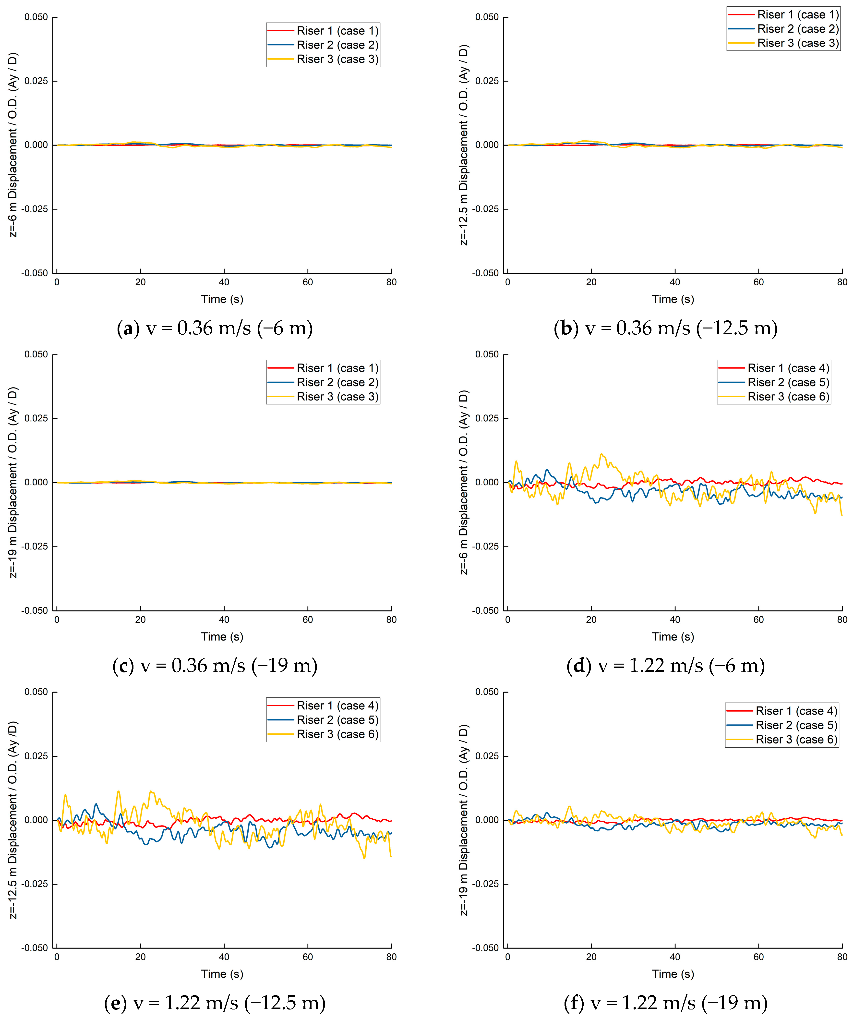
3.2. Time History of Displacements for All Three Risers
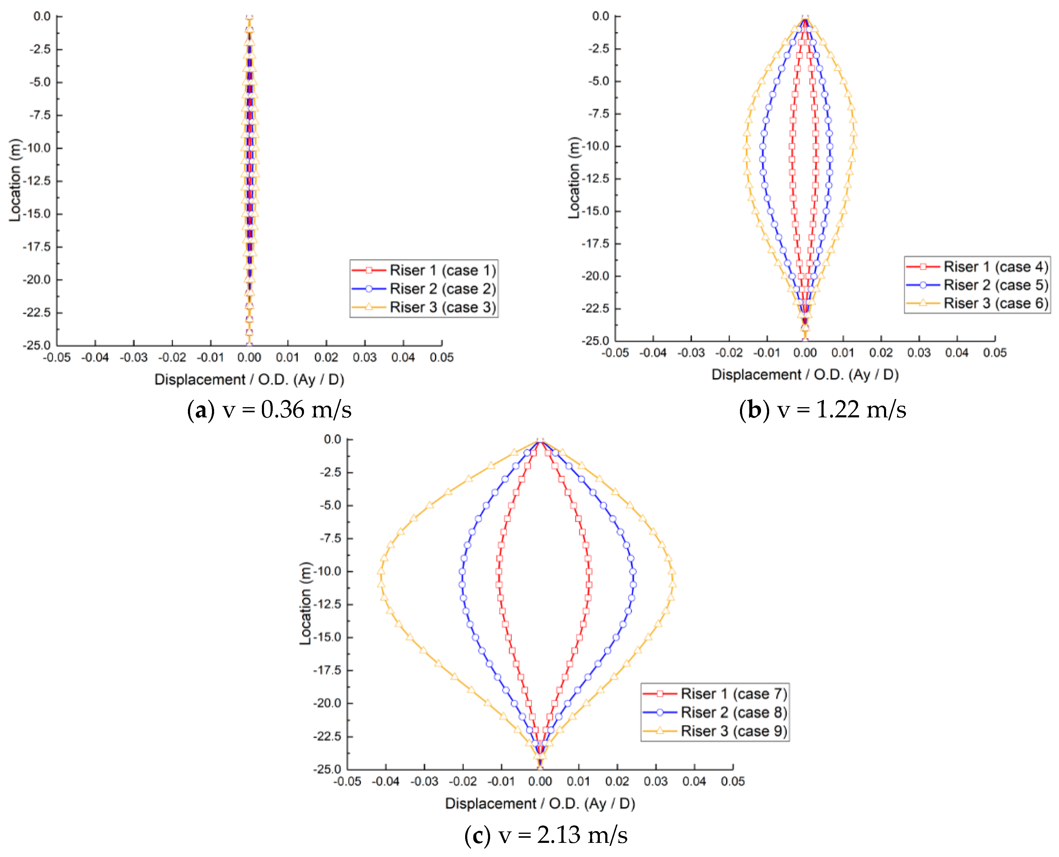
3.3. Maximum Displacements and Von Mises Stresses of All Three Risers
3.4. Stress Distributions in Every Layer of the FRP Composite Risers
4. Conclusions
Author Contributions
Funding
Conflicts of Interest
References
- American Petroleum Institute (API). Design of Risers for Floating Production Systems (FPSs) and Tension-Leg Platforms (TLPs); American Petroleum Institute: Washington, DC, USA, 1998. [Google Scholar]
- Chakrabarti, S.K. Handbook of Offshore Engineering, 1st ed.; Elsevier: London, UK, 2005; Volume 1. [Google Scholar]
- Balazs, G.L.; Borosnyoi, A. Long-term behavior of FRP. In Composites in Construction: A Reality; Edoardo, C., Gaetano, M., Antonio, N., Eds.; American Society of Civil Engineers: Reston, VA, USA, 2001; pp. 84–91. [Google Scholar]
- Jansons, J.O.; Glejbol, K.; Rytter, J.; Aniskevich, A.N.; Arnautov, A.K.; Kulakov, V.L. Effect of water absoption, elevated temperatures and fatigue on the mechanical properties of carbon-fiber-reinforced epoxy composites for flexible risers. Mech. Compos. Mater. 2002, 38, 299–310. [Google Scholar] [CrossRef]
- Salama, M.M.; Martinussen, E.; Spencer, B.; Hanna, S.; Hsu, T.M.; Stjern, G.; Franco, E.; Storhaug, T.; Echtermeyer, A. Composite risers are ready for field applications-status of technology, field demonstration and life cycle economics. In Proceedings of the 13th Annual Deep Offshore Technology Conference, Rio de Janerio, Brazil, 17–19 October 2001. [Google Scholar]
- Venkatesan, R.; Dwarakadasa, E.S.; Ravindran, M. Study on behavior of carbon fiber-reinforced composite for deep sea applications. In Proceedings of the Offshore Technology Conference, Houston, TX, USA, 6–9 May 2002. [Google Scholar]
- Ochoa, O.O.; Salama, M.M. Offshore composites: Transition barriers to an enabling technology. Compos. Sci. Technol. 2005, 65, 2588–2596. [Google Scholar] [CrossRef]
- Ochoa, O.O.; Ross, G.R. Hybrid composites: Models and tests for environmental aging. J. Reinf. Plast. Compos. 1998, 17, 787–799. [Google Scholar] [CrossRef]
- Ross, G.R.; Ochoa, O.O. Environmental effects on unsymmetric composite laminates. J. Thermoplast. Compos. Mater. 1991, 4, 266–284. [Google Scholar] [CrossRef]
- Bismarck, A.; Hofmeier, M.; Dörner, G. Effect of hot water immersion on the performance of carbon reinforced unidirectional poly(ether ether ketone) (peek) composites: Stress rupture under end-loaded bending. Compos. Part A 2007, 38, 407–426. [Google Scholar] [CrossRef]
- Bedon, C.; Louter, C. Numerical investigation on structural glass beams with GFRP-embedded rods, including effects of pre-stress. Compos. Struct. 2018, 184, 650–661. [Google Scholar] [CrossRef]
- Karayaka, M.; Wu, S.; Wang, S.; Lu, X.; Partha Ganguly, B.P. Composite production riser dynamics and its effects on tensioners, stress joints, and size of deep water tension leg platform. In Proceedings of the Offshore Technology Conference, Houston, TX, USA, 4–7 May 1998. [Google Scholar]
- Huang, K.Z. Composite TTR design for an ultradeepwater TLP. In Proceedings of the Offshore Technology Conference, Houston, TX, USA, 2–5 May 2005. [Google Scholar]
- Kim, W.K. Composite Production Riser Assessment. Ph.D. Thesis, Texas A&M University, College Station, TX, USA, 2007. [Google Scholar]
- Beyle, A.I.; Gustafson, C.G.; Kulakov, V.L.; Tarnopol’skii, Y.M. Composite risers for deep-water offshore technology: Problems and prospects. 1. Metal-composite riser. Mech. Compos. Mater. 1997, 33, 403–414. [Google Scholar] [CrossRef]
- Ward, E.G.; Ochoa, O.O.; Kim, W.; Gilbert, R.M.; Jain, A.; Miller, C.; Denison, E. A Comparative Risk Analysis of Composite and Steel Production Risers; Texas A&M University: College Station, TX, USA, 2007. [Google Scholar]
- Rakshit, T.; Atluri, S.; Dalton, C. VIV of a composite riser at moderate Reynolds number using CFD. J. Offshore Mech. Arct. Eng. 2008, 130, 011009. [Google Scholar] [CrossRef]
- Omar, A.F.; Karayka, M.; Murray, J.J. A comparative study of the performance of top-tensioned composite and steel risers under vertex-induced loading. In Proceedings of the Offshore Technology Conference, Houston, TX, USA, 3–6 May 1999. [Google Scholar]
- Wang, C.; Sun, M.; Shankar, K.; Xing, S.; Zhang, L. CFD simulation of vortex induced vibration for FRP composite riser with different modeling methods. Appl. Sci. 2018, 8, 684. [Google Scholar] [CrossRef]
- Wang, C.; Shankar, K.; Morozov, E.V. Global design and analysis of deep sea FRP composite risers under combined environmental loads. Adv. Compos. Mater. 2017, 26, 79–98. [Google Scholar] [CrossRef]
- Wang, C.; Shankar, K.; Ashraf, M.A.; Morozov, E.V.; Ray, T. Surrogate-assisted optimisation design of composite riser. Proc. Inst. Mech. Eng. Part L 2016, 230, 18–34. [Google Scholar] [CrossRef]
- Wang, C.; Shankar, K.; Morozov, E.V. Tailored design of top-tensioned composite risers for deep-water applications using three different approaches. Adv. Mech. Eng. 2017, 9, 1–18. [Google Scholar] [CrossRef]
- Chen, Y.; Seemann, R.; Krause, D.; Tay, T.-E.; Tan, V.B. Prototyping and testing of composite riser joints for deepwater application. J. Reinf. Plast. Compos. 2016, 35, 95–110. [Google Scholar] [CrossRef]
- Tan, L.B.; Chen, Y.; Jaiman, R.K.; Sun, X.; Tan, V.B.C.; Tay, T.E. Coupled fluid–structure simulations for evaluating a performance of full-scale deepwater composite riser. Ocean Eng. 2015, 94, 19–35. [Google Scholar] [CrossRef]
- Toh, W.; Tan, L.B.; Jaiman, R.K.; Tay, T.-E. A comprehensive study on composite risers: Material solution, local end fitting design and global response. Mar. Struct. 2018, 61, 155–169. [Google Scholar] [CrossRef]
- Amaechi, C.V.; Nathaniel, G.; Agbomerie, C.O.; Hou, X.; Ye, J. Composite risers for deep waters using a numerical modelling approach. Compos. Struct. 2018, 210, 486–499. [Google Scholar] [CrossRef]
- Wang, C.; Shankar, K.; Morozov, E.V. Tailored local design of deep sea FRP composite risers. Adv. Compos. Mater. 2015, 24, 375–397. [Google Scholar] [CrossRef]
- Harte, A.M.; McNamara, J.F.; Roddy, I.D. Application of optimisation methods to the design of high performance composite pipelines. J. Mater. Process. Technol. 2003, 142, 58–64. [Google Scholar] [CrossRef]
- Harte, A.M.; McNamara, J.F.; Roddy, I. Evaluation of optimisation techniques in the design of composite pipelines. J. Mater. Process. Technol. 2001, 118, 478–484. [Google Scholar] [CrossRef]
- Yazdani Sarvestani, H.; Hoa, S.V.; Hojjati, M. Effects of shear loading on stress distributions at sections in thick composite tubes. Compos. Struct. 2016, 140, 433–445. [Google Scholar] [CrossRef]
- Yazdani Sarvestani, H.; Hoa, S.V.; Hojjati, M. Three-dimensional stress analysis of orthotropic curved tubes-part 1: Single-layer solution. Eur. J. Mech. 2016, 60, 327–338. [Google Scholar] [CrossRef]
- Ghiasi, H.; Pasini, D.; Lessard, L. Optimum stacking sequence design of composite materials part I: Constant stiffness design. Compos. Struct. 2009, 90, 1–11. [Google Scholar] [CrossRef]
- Ghiasi, H.; Fayazbakhsh, K.; Pasini, D.; Lessard, L. Optimum stacking sequence design of composite materials part II: Variable stiffness design. Compos. Struct. 2010, 93, 1–13. [Google Scholar] [CrossRef]
- Da Silva, R.F.; Teófilo, F.A.; Parente, E., Jr.; de Melo, A.M.; de Holanda, Á.S. Optimization of composite catenary risers. Mar. Struct. 2013, 33, 1–20. [Google Scholar] [CrossRef]
- Ahlstone, A.G. Light Weight Marine Riser Pipe. U.S. Patent 3,768,842, 30 October 1973. [Google Scholar]
- Sparks, C.P.; Odru, P.; Bono, H.; Metivaud, G. Mechanical testing of high-performance composite tubes for tlp production risers. In Proceedings of the Offshore Technology Conference, Houston, TX, USA, 2–5 May 1988. [Google Scholar]
- Salama, M.M.; Johnson, D.B.; Long, J.R. Composite production riser-testing and qualification. SPE Prod. Facil. 1998, 13, 170–177. [Google Scholar] [CrossRef]
- Salama, M.M.; Stjern, G.; Storhaug, T.; Spencer, B.; Echtermeyer, A. The first offshore field installation for a composite riser joint. In Proceedings of the Offshore Technology Conference, Houston, TX, USA, 6–9 May 2002. [Google Scholar]
- Smith, K.L.; Leveque, M.E. Ultra-Deepwater Production Systems Technical-Progress Report; ConocoPhillips Company: Houston, TX, USA, 2003. [Google Scholar]
- Smith, K.L.; Leveque, M.E. Ultra-Deepwater Production Systems-Final Report; ConocoPhillips Company: Houston, TX, USA, 2005. [Google Scholar]
- Picard, D.; Hudson, W.; Bouquier, L.; Dupupet, G.; Zivanovic, I. Composite carbon thermoplastic tubes for deepwater application. In Proceedings of the Offshore Technology Conference, Houston, TX, USA, 30 April–3 May 2007. [Google Scholar]
- Alexander, C.; Vyvial, B.; Cederberg, C.; Baldwin, D. Evaluating the performance of a composite-reinforced steel drilling riser via full-scale testing for HPHT service. In Proceedings of the 6th International Offshore Pipeline Forum, Houston, TX, USA, 19–20 October 2011. [Google Scholar]
- Mintzas, A.; Hatton, S.; Simandjuntak, S.; Little, A.; Zhang, Z. An integrated approach to the design of high performance carbon fibre reinforced risers—From micro to macro—Scale. In Proceedings of the Deep Offshore Technology International Conference, Houston, TX, USA, 6–9 May 2013. [Google Scholar]
- Roberts, D.; Hatton, S.A. Development and qualification of end fittings for composite riser pipe. In Proceedings of the Offshore Technology Conference, Houston, TX, USA, 6–9 May 2013. [Google Scholar]
- American Bureau of Shipping (ABS). Guide for building and classing subsea riser systems. In Design Requirements and Loads; American Bureau of Shipping: Houston, TX, USA, 2008. [Google Scholar]
- Det Norske Veritas (DNV). Offshore Standard for Composite Components (DNV-OS-C501); Det Norske Veritas: Oslo, Norway, 2009. [Google Scholar]
- Kaw, A.K. Mechanics of Composite Materials, 2nd ed.; CSC Press: Wilmington, DE, USA, 2006. [Google Scholar]
- Bedon, C.; Louter, C. Structural glass beams with embedded GFRP, CFRP or steel reinforcement rods: Comparative experimental, analytical and numerical investigations. J. Build. Eng. 2019, 22, 227–241. [Google Scholar] [CrossRef]
- American Petroleum Institute (API). Recommended Practice for Planning, Designing and Constructing Fixed Offshore Platforms-Working Stress Design; American Petroleum Institute: Washington, DC, USA, 2000. [Google Scholar]
- Blevins, R.D. Flow-Induced Vibratin, 2nd ed.; Krieger Publishing Company: Malabar, FL, USA, 2001. [Google Scholar]





















| Year | Project/Funder | Riser Type * | Materials |
|---|---|---|---|
| 1973 | Ahlstone [35] | D | glass fiber with epoxy |
| 1980s | Institut Francais du Petrole and Aerospatiale of France [36] | P | glass and carbon fibers with epoxy |
| 1990s | National Institute of Standards and Technology, Advanced Technology Programs [37] | P and D | carbon and E-glass fibers with epoxy |
| 1995–2001 | Norske Conoco AS and Kvaerner Oilfield Products [38] | D | glass and carbon fiber with epoxy |
| 2003 | ConocoPhillips, Kvaerner Oilfield Products and ChevronTexaco [39,40] | P and D | carbon fiber with epoxy |
| 2007 | Doris Engineering, Freyssinet, Total and Soficar [41] | P | carbon fiber with thermoplastic PA11 |
| 2008–2011 | Research Partnership to Secure Energy for America [42] | D | carbon fiber with epoxy |
| 2011 | Magma [43,44] | P and D | carbon fiber with PEEK |
| Material | Density (kg/m3) | Modulus (GPa) | Tangent Modulus (GPa) | ν | Yield Stress (MPa) | Ultimate Stress (MPa) | Elongation at Break (%) |
|---|---|---|---|---|---|---|---|
| X80 steel | 7850 | 207 | 1.25 | 0.3 | 555 | 625 | 5.868 |
| Titanium | 4430 | 113.8 | 0.53 | 0.342 | 880 | 950 | 14 |
| Material | Density (kg/m3) | E1 (GPa) | E2 = E3 (GPa) | G12 = G13 (GPa) | ν12 = ν13 | G23 (GPa) | ν23 | (MPa) | (MPa) | (MPa) | (MPa) | τ12 (MPa) |
|---|---|---|---|---|---|---|---|---|---|---|---|---|
| AS4-Epoxy | 1530 | 135.4 | 9.37 | 4.96 | 0.32 | 3.20 | 0.46 | 1732 | 1256 | 49.4 | 167.2 | 71.2 |
| Riser | I.D. (m) | O.D. (m) | Length (m) | Lay-ups | t_liner (mm) | t_0 (mm) | t_±θ (mm) | t_90 (mm) | ±θ (º) |
|---|---|---|---|---|---|---|---|---|---|
| 1 | 0.25 | 0.3 | 25 | X80 steel | |||||
| 2 | 0.25 | 0.329 | 25 | [liner/90/(0/90)10] | 2 | 1.385 | 2.15 | ||
| 3 | 0.25 | 0.311 | 25 | [liner/03/(+53, −53)5/904] | 2 | 1.70 | 1.64 | 1.75 | 53 |
| Case No. | Riser | Re | Flow Density (kg/m3) | Velocity (m/s) | kinematic Viscosity Coefficient | Turbulent Intensity (%) | Gravity (N) | Tension Force (N) | Buoyancy (N) |
|---|---|---|---|---|---|---|---|---|---|
| 1 | 1 | 101,887 | 1024 | 0.36 | 1.06 × 10−6 | 3.78 | 41,539 | 62,309 | 17,734 |
| 2 | 2 | 111,736 | 1024 | 0.36 | 1.06 × 10−6 | 3.74 | 14,592 | 29,183 | 21,328 |
| 3 | 3 | 105,623 | 1024 | 0.36 | 1.06 × 10−6 | 3.77 | 11,200 | 22,400 | 19,058 |
| 4 | 1 | 345,283 | 1024 | 1.22 | 1.06 × 10−6 | 3.25 | 41,539 | 62,309 | 17,734 |
| 5 | 2 | 378,660 | 1024 | 1.22 | 1.06 × 10−6 | 3.21 | 14,592 | 29,183 | 21,328 |
| 6 | 3 | 357,943 | 1024 | 1.22 | 1.06 × 10−6 | 3.23 | 11,200 | 22,400 | 19,058 |
| 7 | 1 | 602,830 | 1024 | 2.13 | 1.06 × 10−6 | 3.03 | 41,539 | 62,309 | 17,734 |
| 8 | 2 | 661,104 | 1024 | 2.13 | 1.06 × 10−6 | 3.00 | 14,592 | 29,183 | 21,328 |
| 9 | 3 | 624,934 | 1024 | 2.13 | 1.06 × 10−6 | 3.02 | 11,200 | 22,400 | 19,058 |
| Property | Riser 1 | Riser 2 | Riser 3 | ||||||
|---|---|---|---|---|---|---|---|---|---|
| Case 1 | Case 4 | Case 7 | Case 2 | Case 5 | Case 8 | Case 3 | Case 6 | Case 9 | |
| natural frequency /(Hz) | 2.01 | 2.45 | 1.89 | ||||||
| vortex shedding frequency fs/(Hz) | 0.24 | 0.85 | 1.56 | 0.22 | 0.78 | 1.42 | 0.23 | 0.82 | 1.51 |
| reduced velocity Ur | 0.60 | 2.02 | 3.53 | 0.45 | 1.51 | 2.64 | 0.61 | 2.06 | 3.61 |
© 2019 by the authors. Licensee MDPI, Basel, Switzerland. This article is an open access article distributed under the terms and conditions of the Creative Commons Attribution (CC BY) license (http://creativecommons.org/licenses/by/4.0/).
Share and Cite
Wang, C.; Ge, S.; Sun, M.; Jia, Z.; Han, B. Comparative Study of Vortex-Induced Vibration of FRP Composite Risers with Large Length to Diameter Ratio Under Different Environmental Situations. Appl. Sci. 2019, 9, 517. https://doi.org/10.3390/app9030517
Wang C, Ge S, Sun M, Jia Z, Han B. Comparative Study of Vortex-Induced Vibration of FRP Composite Risers with Large Length to Diameter Ratio Under Different Environmental Situations. Applied Sciences. 2019; 9(3):517. https://doi.org/10.3390/app9030517
Chicago/Turabian StyleWang, Chunguang, Shiquan Ge, Mingyu Sun, Zhirong Jia, and Baomin Han. 2019. "Comparative Study of Vortex-Induced Vibration of FRP Composite Risers with Large Length to Diameter Ratio Under Different Environmental Situations" Applied Sciences 9, no. 3: 517. https://doi.org/10.3390/app9030517
APA StyleWang, C., Ge, S., Sun, M., Jia, Z., & Han, B. (2019). Comparative Study of Vortex-Induced Vibration of FRP Composite Risers with Large Length to Diameter Ratio Under Different Environmental Situations. Applied Sciences, 9(3), 517. https://doi.org/10.3390/app9030517

