An Investigation on the Forced Convection of Al2O3-water Nanofluid Laminar Flow in a Microchannel Under Interval Uncertainties
Abstract
1. Introduction
2. Methodology
2.1. Phyical Model and Numerical Method
2.2. Phyical Properties of Nanofluid
- Density model ρ:where the subscription nf, b and p denote the properties of nanofluid, water and Al2O3 nanoparticle, respectively; φ is the solid volume fraction.
2.3. Uncertain Thermal Performace and Flow Behavior Prediction
2.4. Grid Independence Study and Model Validation
3. Results and Discussions
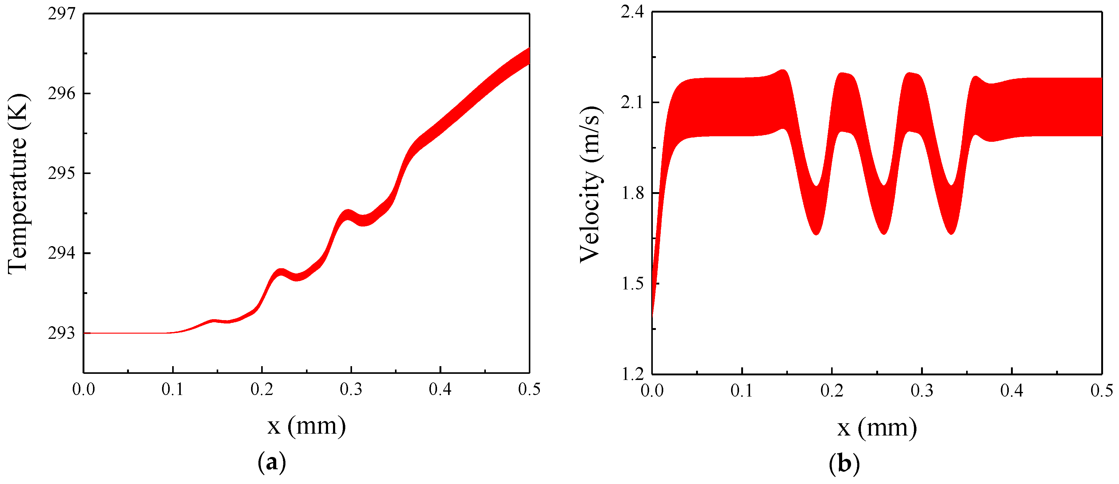
3.1. Validation of IM
3.2. The Effects of Single Uncertainty
3.3. The Effects of Two Uncertainties
4. Conclusions
Author Contributions
Funding
Conflicts of Interest
References
- Xuan, Y.; Roetzel, W. Conceptions for heat transfer correlation of nanofluids. Int. J. Heat Mass Transf. 2000, 43, 3701–3707. [Google Scholar] [CrossRef]
- Maïga, S.E.B.; Palm, S.J.; Cong, T.N.; Roy, G.; Galanis, N. Heat transfer enhancement by using nanofluids in forced convection flows. Int. J. Heat Fluid Flow 2005, 26, 530–546. [Google Scholar] [CrossRef]
- Yurong, H.E.; Jin, Y.I.; Chen, H.; Ding, Y.; Cang, D.; Huilin, L.U. Heat transfer and flow behaviour of aqueous suspensions of TiO2 nanoparticles (nanofluids) flowing upward through a vertical pipe. Int. J. Heat Mass Transf. 2007, 50, 2272–2281. [Google Scholar]
- Heris, S.Z.; Esfahany, M.N.; Etemad, S.G. Experimental investigation of convective heat transfer of al2o3/water nanofluid in circular tube. Int. J. Heat Fluid Flow 2007, 28, 203–210. [Google Scholar] [CrossRef]
- Abu-Nada, E.; Masoud, Z.; Hijazi, A. Natural convection heat transfer enhancement in horizontal concentric annuli using nanofluids. Int. Commun. Heat Mass Transf. 2008, 35, 657–665. [Google Scholar] [CrossRef]
- Jung, J.Y.; Oh, H.S.; Kwak, H.Y. Forced convective heat transfer of nanofluids in microchannels. Int. J. Heat Mass Transf. 2006, 52, 466–472. [Google Scholar] [CrossRef]
- Hwang, K.S.; Jang, S.P.; Sus, C. Flow and convective heat transfer characteristics of water-based Al2O3 nanofluids in fully developed laminar flow regime. Int. J. Heat Mass Transf. 2009, 52, 193–199. [Google Scholar] [CrossRef]
- Duangthongsuk, W.; Wongwises, S. An experimental study on the heat transfer performance and pressure drop of tio 2-water nanofluids flowing under a turbulent flow regime. Int. J. Heat Mass Transf. 2010, 53, 334–344. [Google Scholar] [CrossRef]
- Duangthongsuk, W.; Wongwises, S. Heat transfer enhancement and pressure drop characteristics of TiO2–water nanofluid in a double-tube counter flow heat exchanger. Int. J. Heat Mass Transf. 2009, 52, 2059–2067. [Google Scholar] [CrossRef]
- Akbari, O.A.; Toghraie, D.; Karimipour, A.; Safaei, M.R.; Goodarzi, M.; Alipour, H.; Dahari, M. Investigation of rib’s height effect on heat transfer and flow parameters of laminar water–Al2O3 nanofluid in a rib-microchannel. Appl. Math. Comput. 2016, 290, 135–153. [Google Scholar]
- Sekrani, G.; Poncet, S. Further investigation on laminar forced convection of nanofluid flows in a uniformly heated pipe using direct numerical simulations. Appl. Sci.-Basel 2016, 6, 332. [Google Scholar] [CrossRef]
- Hussain, S.; Aziz, A.; Aziz, T.; Khalique, C.M. Slip flow and heat transfer of nanofluids over a porous plate embedded in a porous medium with temperature dependent viscosity and thermal conductivity. Appl. Sci.-Basel 2016, 6, 376. [Google Scholar] [CrossRef]
- Fetecau, C.; Vieru, D.; Azhar, W.A. Natural convection flow of fractional nanofluids over an isothermal vertical plate with thermal radiation. Appl. Sci.-Basel 2017, 7, 247. [Google Scholar] [CrossRef]
- Zhao, N.B.; Li, Z.M. Viscosity prediction of different ethylene glycol/water based nanofluids using a rbf neural network. Appl. Sci.-Basel 2017, 7, 409. [Google Scholar] [CrossRef]
- Williams, M.M.R. A probabilistic study of the influence of parameter uncertainty on thermal radiation heat transfer. Int. J. Heat Mass Transf. 2010, 53, 1461–1472. [Google Scholar] [CrossRef]
- Nicolaï, B.M.; Egea, J.A.; Scheerlinck, N.; Banga, J.R.; Datta, A.K. Fuzzy finite element analysis of heat conduction problems with uncertain parameters. J. Food Eng. 2011, 103, 38–46. [Google Scholar] [CrossRef]
- Wang, C. Interval analysis of steady-state heat convection–diffusion problem with uncertain-but-bounded parameters. Int. J. Heat Mass Transf. 2015, 91, 355–362. [Google Scholar] [CrossRef]
- Abdelaziz, O.; Radermacher, R. Modeling heat exchangers under consideration of manufacturing tolerances and uncertain flow distribution. Int. J. Refrig. 2010, 33, 815–828. [Google Scholar] [CrossRef]
- Xiu, D.; Karniadakis, G.E. Modeling uncertainty in steady state diffusion problems via generalized polynomial chaos. Comput. Methods Appl. Mech. Eng. 2002, 191, 4927–4948. [Google Scholar] [CrossRef]
- Xiu, D.; Karniadakis, G.E. A new stochastic approach to transient heat conduction modeling with uncertainty. Int. J. Heat Mass Transf. 2003, 46, 4681–4693. [Google Scholar] [CrossRef]
- Zadeh, L.A. Fuzzy sets. Inf. Control 1965, 8, 338–353. [Google Scholar] [CrossRef]
- Pereira, S.C.; Mello, U.T.; Ebecken, N.F.F.; Muhanna, R.L. Uncertainty in thermal basin modeling: An interval finite element approach. Reliab. Comput. 2006, 12, 451–470. [Google Scholar] [CrossRef]
- Villacci, D.; Vaccaro, A. Transient tolerance analysis of power cables thermal dynamic by interval mathematic. Electr. Power Syst. Res. 2007, 77, 308–314. [Google Scholar] [CrossRef]
- Xue, Y.; Yang, H. Interval estimation of convection-diffusion heat transfer problems. Numer. Heat Transf. Part B Fundam. 2013, 64, 263–273. [Google Scholar] [CrossRef]
- Wang, C.; Qiu, Z.; Xu, M. Collocation methods for fuzzy uncertainty propagation in heat conduction problem. Int. J. Heat Mass Transf. 2017, 107, 631–639. [Google Scholar] [CrossRef]
- Xia, B.; Yu, D.; Liu, J. Interval and subinterval perturbation methods for a structural-acoustic system with interval parameters. J. Fluids Struct. 2013, 38, 146–163. [Google Scholar] [CrossRef]
- Qiu, Z.; Wang, X. Parameter perturbation method for dynamic responses of structures with uncertain-but-bounded parameters based on interval analysis. Int. J. Solids Struct. 2005, 42, 4958–4970. [Google Scholar] [CrossRef]
- Qiu, Z.; Yi, M.; Wang, X. Comparison between non-probabilistic interval analysis method and probabilistic approach in static response problem of structures with uncertain-but-bounded parameters. Commun. Numer. Methods Eng. 2010, 20, 279–290. [Google Scholar] [CrossRef]
- Ma, Y.H.; Liang, Z.C.; Chen, M.; Hong, J. Interval analysis of rotor dynamic response with uncertain parameters. J. Sound Vib. 2013, 332, 3869–3880. [Google Scholar] [CrossRef]
- Fu, C.; Ren, X.M.; Yang, Y.F.; Qin, W.Y. Dynamic response analysis of an overhung rotor with interval uncertainties. Nonlinear Dyn. 2017, 89, 2115–2124. [Google Scholar] [CrossRef]
- Wang, C.; Ma, Y.H.; Zhang, D.Y.; Hong, J. Interval Analysis on Aero-Engine Rotor System with Misalignment. In ASME Turbo Expo 2015: Turbine Technical Conference and Exposition; Amer Soc Mechanical Engineers: New York, NY, USA, 2015. [Google Scholar]
- Ho, C.J.; Chen, M.W.; Li, Z.W. Numerical simulation of natural convection of nanofluid in a square enclosure: Effects due to uncertainties of viscosity and thermal conductivity. Int. J. Heat Mass Transf. 2008, 51, 4506–4516. [Google Scholar] [CrossRef]
- Mahian, O.; Kianifar, A.; Kleinstreuer, C.; Al-Nimr, M.D.A.; Pop, I.; Sahin, A.Z.; Wongwises, S. A review of entropy generation in nanofluid flow. Int. J. Heat Mass Transf. 2013, 65, 514–532. [Google Scholar] [CrossRef]
- Raisi, A.; Ghasemi, B.; Aminossadati, S.M. A numerical study on the forced convection of laminar nanofluid in a microchannel with both slip and no-slip conditions. Numerical Heat Transf. 2011, 59, 114–129. [Google Scholar] [CrossRef]








| Notation | Description | Value |
|---|---|---|
| L1 | Length of the entrance section | 75 μm |
| L2 | Length of the middle section | 350 μm |
| L3 | Length of the exit section | 75 μm |
| δ | Depth of the grooves | 10 μm |
| D | Length of the grooves | 50 μm |
| W | Length of gap on each size of the grooved channel | 75 μm |
| Substance | k/W·m−1·K−1 | Cp/J·kg−1·K−1 | ρ/kg·m−3 | μ/Pa·s |
|---|---|---|---|---|
| Al2O3 | 36.00 | 773.00 | 3880.00 | - |
| Water | 0.597 | 4182.00 | 998.20 | 9.93 × 10−4 |
| Grids | Tout, (y = 15 μm)/K | Difference/% | uout, (y = 15 μm)/m·s−1 | Difference/% | Num | Difference/% |
|---|---|---|---|---|---|---|
| 400 × 20 | 296.644 | 0.065 | 2.025 | −3.094 | 3.775 | 0.568 |
| 600 × 30 | 296.507 | 0.019 | 2.070 | −0.953 | 3.750 | −0.076 |
| 800 × 40 | 296.470 | 0.006 | 2.082 | −0.384 | 3.750 | −0.088 |
| 1000 × 50 | 296.451 | Ref | 2.090 | Ref | 3.753 | Ref |
| Item | Bound | SM (100 Samples) | IM (5 Samples) | |
|---|---|---|---|---|
| Value | Value | Error | ||
| Temperature/K | LB | 296.378 | 296.377 | −2.558 × 10−06 |
| UB | 296.568 | 296.572 | 1.411 × 10−05 | |
| Velocity/m·s−1 | LB | 1.989 | 1.989 | 1.407 × 10−05 |
| UB | 2.180 | 2.180 | −2.026 × 10−05 | |
| Num | LB | 3.635 | 3.635 | −6.301 × 10−05 |
| UB | 3.835 | 3.835 | −7.172 × 10−06 | |
| Item | Bound | SM (100 Samples) | IM (5 Samples) | |
|---|---|---|---|---|
| Value | Value | Error | ||
| Temperature/K | LB | 296.436 | 296.435 | −3.007 × 10−06 |
| UB | 296.511 | 296.510 | −2.993 × 10−06 | |
| Velocity/m·s−1 | LB | 2.082 | 2.082 | 0.000 |
| UB | 2.082 | 2.082 | 0.000 | |
| Num | LB | 3.647 | 3.647 | −1.104 × 10−04 |
| UB | 3.826 | 3.826 | −2.270 × 10−06 | |
| Item | Bound | SM (10000 Samples) | IM (25 Samples) | |
|---|---|---|---|---|
| Value | Value | Error | ||
| Temperature/K | LB | 296.343 | 296.343 | −1.602 × 10−06 |
| UB | 296.608 | 296.612 | 1.467 × 10−05 | |
| Velocity/m·s−1 | LB | 1.989 | 1.990 | 3.576 × 10−04 |
| UB | 2.180 | 2.180 | −3.860 × 10−04 | |
| Num | LB | 3.545 | 3.541 | −2.860 × 10−03 |
| UB | 3.939 | 3.940 | 2.289 × 10−03 | |
© 2019 by the authors. Licensee MDPI, Basel, Switzerland. This article is an open access article distributed under the terms and conditions of the Creative Commons Attribution (CC BY) license (http://creativecommons.org/licenses/by/4.0/).
Share and Cite
Zheng, Z.; Jing, Q.; Xie, Y.; Zhang, D. An Investigation on the Forced Convection of Al2O3-water Nanofluid Laminar Flow in a Microchannel Under Interval Uncertainties. Appl. Sci. 2019, 9, 432. https://doi.org/10.3390/app9030432
Zheng Z, Jing Q, Xie Y, Zhang D. An Investigation on the Forced Convection of Al2O3-water Nanofluid Laminar Flow in a Microchannel Under Interval Uncertainties. Applied Sciences. 2019; 9(3):432. https://doi.org/10.3390/app9030432
Chicago/Turabian StyleZheng, Zhaoli, Qi Jing, Yonghui Xie, and Di Zhang. 2019. "An Investigation on the Forced Convection of Al2O3-water Nanofluid Laminar Flow in a Microchannel Under Interval Uncertainties" Applied Sciences 9, no. 3: 432. https://doi.org/10.3390/app9030432
APA StyleZheng, Z., Jing, Q., Xie, Y., & Zhang, D. (2019). An Investigation on the Forced Convection of Al2O3-water Nanofluid Laminar Flow in a Microchannel Under Interval Uncertainties. Applied Sciences, 9(3), 432. https://doi.org/10.3390/app9030432

