The Classification of Inertinite Macerals in Coal Based on the Multifractal Spectrum Method
Abstract
1. Introduction
2. Materials
3. Methods
3.1. Multifractal Spectrum Based on MF-DFA
3.2. Multifractal Analysis and Feature Extraction
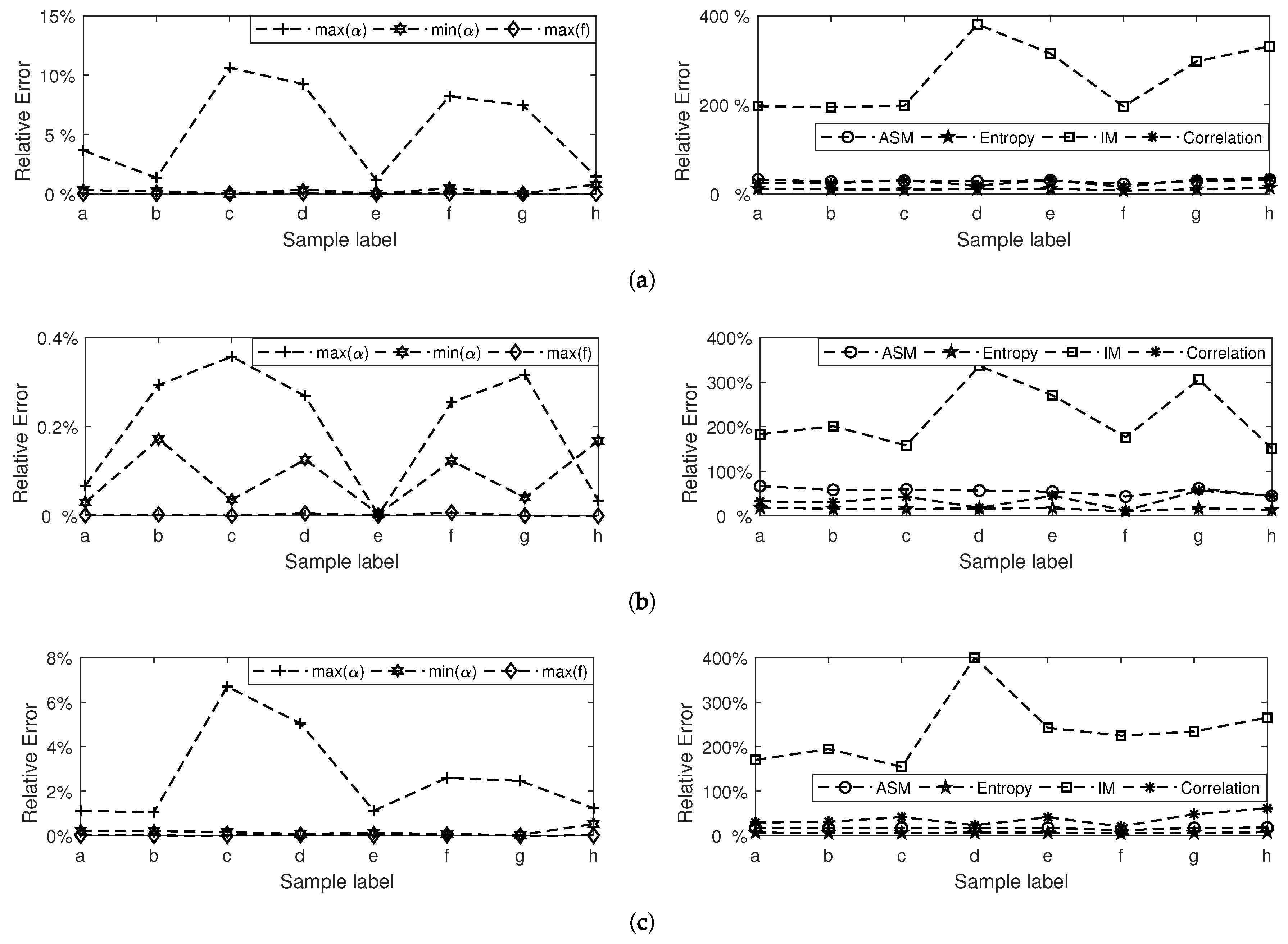
4. Stability Analysis of Multifractal Feature Descriptors
4.1. Stability to Image Noise
4.2. Stability to Image Blurring
5. Classification Experiment
5.1. Experiment Design
5.2. Evaluation Measures
5.3. Experimental Results
6. Conclusions
Author Contributions
Funding
Conflicts of Interest
References
- Flores, B.D.; Borrego, A.G.; Diez, M.A.; da Silva, G.L.; Zymla, V.; Vilela, A.C.; Osório, E. How coke optical texture became a relevant tool for understanding coal blending and coke quality. Fuel Process. Technol. 2017, 164, 13–23. [Google Scholar] [CrossRef]
- Piechaczek, M.; Mianowski, A.; Sobolewski, A. Reprint of “The original concept of description of the coke optical texture”. Int. J. Coal Geol. 2015, 139, 184–190. [Google Scholar] [CrossRef]
- Chalmers, G.R.; Bustin, R.M. A multidisciplinary approach in determining the maceral (kerogen type) and mineralogical composition of Upper Cretaceous Eagle Ford Formation: Impact on pore development and pore size distribution. Int. J. Coal Geol. 2017, 171, 93–110. [Google Scholar] [CrossRef]
- Yang, J.; Stansberry, P.G.; Zondlo, J.W.; Stiller, A.H. Characteristics and carbonization behaviors of coal extracts. Fuel Process. Technol. 2002, 79, 207–215. [Google Scholar] [CrossRef]
- Wang, H.; Lei, M.; Chen, Y.; Li, M.; Zou, L. Intelligent identification of maceral components of coal based on image segmentation and classification. Appl. Sci. 2019, 9, 3245. [Google Scholar] [CrossRef]
- Mlynarczuk, M.; Skiba, M. The application of artificial intelligence for the identification of the maceral groups and mineral components of coal. Comput. Geosci. 2017, 103, 133–141. [Google Scholar] [CrossRef]
- D’Angelo, G.; Palmieri, F.; Rampone, S. Detecting unfair recommendations in trust-based pervasive environments. Inf. Sci. 2019, 486, 31–51. [Google Scholar] [CrossRef]
- Lester, E.; Watts, D.; Cloke, M. A novel automated image analysis method for maceral analysis. Fuel 2002, 81, 2209–2217. [Google Scholar] [CrossRef]
- Ruan, X.D.; ZHAO, W.F. Recognizing of overlapped coal particles in microscope images. J. China Coal Soc. 2005, 30, 769–771. [Google Scholar]
- Wang, P.Z.; Ding, H.T.; Liu, C.L. Coal microscope image contour extraction algorithm based on structuring elements. J. China Coal Soc. 2014, 39, 285–288. [Google Scholar] [CrossRef]
- Wang, S.; Zhu, X.K.; Lyu, Q. Coal rock macerals recognition based on RILBP-GLCM algorithm. J. China Coal Soc. 2017, 36, 142–144. [Google Scholar]
- Wang, P.Z.; Yin, Z.H.; Wang, G. A classification method of vitrinite for coal macerals based on the PCA and RBF-SVM. J. China Coal Soc. 2017, 42, 977–984. [Google Scholar]
- Wang, P.Z.; Reng, J.; Du, C.L. Classification of macerals in exinite of coal based on Tamura features. J. Anhui Univ. Technol. (Nat. Sci. Ed.) 2018, 35, 131–136. [Google Scholar]
- Wang, P.Z.; Liu, J.M.; Wang, W.Y. Classification of macerals in exinite of coal based on contourlet transform. J. China Coal Soc. 2018, 43, 641–645. [Google Scholar]
- Wang, P.Z.; Wang, H.; Liu, M. A PCA-SLPP dimensionality reduction method based on manifold learning. J. Anhui Univ. Technol. (Nat. Sci. Ed.) 2018, 35, 352–359. [Google Scholar]
- Mandelbrot, B. How long is the coast of Britain? Statistical self-similarity and fractional dimension. Science 1967, 156, 636–638. [Google Scholar] [CrossRef] [PubMed]
- Mahamud, M.; Óscar, L.; Pis, J.J.; Pajares, J.A. Textural characterization of coals using fractal analysis. Fuel Process. Technol. 2003, 86, 135–149. [Google Scholar] [CrossRef]
- Nie, B.; Liu, X.; Yang, L.; Meng, J.; Li, X. Pore structure characterization of different rank coals using gas adsorption and scanning electron microscopy. Fuel 2015, 158, 908–917. [Google Scholar] [CrossRef]
- Liu, X.F.; Nie, B.S. Fractal characteristics of coal samples utilizing image analysis and gas adsorption. Fuel 2016, 182, 314–322. [Google Scholar] [CrossRef]
- Li, Y.Y.; Zhang, S.C.; Xin, Z. Classification and fractal characteristics of coal rock fragments under uniaxial cyclic loading conditions. Arabian J. Geosci. 2018, 11, 201. [Google Scholar] [CrossRef]
- Pandey, R.; Harpalani, S. An imaging and fractal approach towards understanding reservoir scale changes in coal due to bioconversion. Fuel 2018, 230, 282–297. [Google Scholar] [CrossRef]
- Kantelhardt, J.W. Multifractal detrended fluctuation analysis of nonstationary time series. Phys. A 2002, 316, 87–114. [Google Scholar] [CrossRef]
- Zhao, H.; He, S. Analysis of speech signals’ characteristics based on MF-DFA with moving overlapping windows. Phys. A 2016, 442, 343–349. [Google Scholar] [CrossRef]
- Rizvi, S.A.R.; Dewandaru, G.; Bacha, O.I.; Masih, M. An analysis of stock market efficiency: Developed vs Islamic stock markets using MF-DFA. Phys. A 2014, 407, 86–99. [Google Scholar] [CrossRef]
- Mensi, W.; Tiwari, A.K.; Yoon, S.M. Global financial crisis and weak-form efficiency of Islamic sectoral stock markets: An MF-DFA analysis. Phys. A 2017, 471, 135–146. [Google Scholar] [CrossRef]
- Mukhopadhyay, S.; Mandal, S.; Das, N.K.; Dey, S.; Mitra, A.; Ghosh, N.; Panigrahi, P.K. Diagnosing heterogeneous dynamics for CT scan images of human brain in wavelet and MFDFA domain. In Advances in Optical Science and Engineering; Springer: Berlin, Germany, 2015; pp. 335–340. [Google Scholar]
- Sỳkorová, I.; Pickel, W.; Christanis, K.; Wolf, M.; Taylor, G.; Flores, D. Classification of huminite—ICCP System 1994. Int. J. Coal Geol. 2005, 62, 85–106. [Google Scholar] [CrossRef]
- Scott, A.C.; Glasspool, I.J. Observations and experiments on the origin and formation of inertinite group macerals. Int. J. Coal Geol. 2007, 70, 53–66. [Google Scholar] [CrossRef]
- Gu, G.F.; Zhou, W.X. Detrended fluctuation analysis for fractals and multifractals in higher dimensions. Phys. Rev. E Stat. Nonlinear Soft Matter Phys. 2006, 74, 061104. [Google Scholar] [CrossRef]
- Meakin, P. Fractals, Scaling and Growth Far from Equilibrium; Cambridge University Press: London, UK, 1998; Volume 5. [Google Scholar]
- Chen, Y.X.; Wang, J.Z. A region-based fuzzy feature matching approach to content-based image retrieval. IEEE Trans. Pattern Anal. Mach. Intell. 2002, 24, 1252–1267. [Google Scholar] [CrossRef]
- Zhu, X.; Li, N.; Pan, Y. Optimization Performance Comparison of Three Different Group Intelligence Algorithms on a SVM for Hyperspectral Imagery Classification. Remote Sens. 2019, 11, 734. [Google Scholar] [CrossRef]
- Wang, T.Y.; Chiang, H.M. One-against-one fuzzy support vector machine classifier: An approach to text categorization. Expert Syst. Appl. 2009, 36, 10030–10034. [Google Scholar] [CrossRef]
- Kang, S.; Cho, S.; Kang, P. Constructing a multi-class classifier using one-against-one approach with different binary classifiers. Neurocomputing 2015, 149, 677–682. [Google Scholar] [CrossRef]












| Sample Label | Original Image | Gaussian Noise | Speckle Noise | Salt & Pepper Noise | ||||||||
|---|---|---|---|---|---|---|---|---|---|---|---|---|
| (a) | 1.8717 | 2.4682 | 1.9974 | 1.8776 | 2.3777 | 1.9978 | 1.8731 | 2.4640 | 1.9975 | 1.8760 | 2.4406 | 1.9976 |
| (b) | 1.9019 | 2.3411 | 1.9982 | 1.9066 | 2.3093 | 1.9985 | 1.9101 | 2.3239 | 1.9984 | 1.9060 | 2.3163 | 1.9984 |
| (c) | 1.8987 | 2.5650 | 1.9985 | 1.8986 | 2.2927 | 1.9987 | 1.8970 | 2.5879 | 1.9985 | 1.9018 | 2.3932 | 1.9987 |
| (d) | 1.8810 | 2.7293 | 1.9946 | 1.8879 | 2.4767 | 1.9959 | 1.8869 | 2.7477 | 1.9948 | 1.8825 | 2.5918 | 1.9953 |
| (e) | 1.9213 | 2.2807 | 1.9985 | 1.9221 | 2.2545 | 1.9987 | 1.9211 | 2.2808 | 1.9986 | 1.9240 | 2.2550 | 1.9987 |
| (f) | 1.8868 | 2.7113 | 1.9948 | 1.8959 | 2.4883 | 1.9961 | 1.8926 | 2.7285 | 1.9952 | 1.8881 | 2.6409 | 1.9954 |
| (g) | 1.9615 | 2.4384 | 1.9992 | 1.9607 | 2.2565 | 1.9993 | 1.9635 | 2.4191 | 1.9992 | 1.9608 | 2.3784 | 1.9993 |
| (h) | 1.8924 | 2.2427 | 1.9986 | 1.9075 | 2.2099 | 1.9989 | 1.9003 | 2.2446 | 1.9986 | 1.9023 | 2.2149 | 1.9988 |
| Sample Label | Original Image | Gaussian Noise | Speckle Noise | Salt & Pepper Noise | ||||||||||||
|---|---|---|---|---|---|---|---|---|---|---|---|---|---|---|---|---|
| ASM | Entropy | IM | Correlation | ASM | Entropy | IM | Correlation | ASM | Entropy | IM | Correlation | ASM | Entropy | IM | Correlation | |
| (a) | 0.0311 | 4.1129 | 3.8208 | 0.0583 | 0.0057 | 5.3468 | 22.6266 | 0.0221 | 0.0103 | 4.8912 | 10.8139 | 0.0393 | 0.0257 | 4.4021 | 10.3217 | 0.0410 |
| (b) | 0.0275 | 4.1562 | 3.6523 | 0.0577 | 0.0086 | 5.2229 | 21.4380 | 0.0233 | 0.0115 | 4.8042 | 11.0043 | 0.0399 | 0.0228 | 4.4171 | 10.7620 | 0.0396 |
| (c) | 0.0196 | 4.3374 | 4.0526 | 0.0813 | 0.0051 | 5.3947 | 24.1092 | 0.0187 | 0.0160 | 4.6026 | 10.3152 | 0.0474 | 0.0080 | 5.0158 | 10.4514 | 0.0462 |
| (d) | 0.0280 | 4.0889 | 1.8521 | 0.0467 | 0.0082 | 5.2103 | 19.4783 | 0.0245 | 0.0121 | 4.7789 | 8.0808 | 0.0382 | 0.0231 | 4.3789 | 9.2544 | 0.0356 |
| (e) | 0.0212 | 4.1389 | 2.6026 | 0.0895 | 0.0050 | 5.3962 | 23.1238 | 0.0203 | 0.0097 | 4.8445 | 9.6475 | 0.0490 | 0.0175 | 4.4307 | 8.9111 | 0.0523 |
| (f) | 0.0239 | 4.3333 | 3.2983 | 0.0395 | 0.0105 | 5.1325 | 19.5031 | 0.0240 | 0.0135 | 4.7792 | 9.1217 | 0.0348 | 0.0209 | 4.5520 | 10.7023 | 0.0313 |
| (g) | 0.0212 | 4.2299 | 2.7384 | 0.1043 | 0.0059 | 5.3177 | 23.1227 | 0.0186 | 0.0082 | 4.9513 | 11.1185 | 0.0449 | 0.0175 | 4.4992 | 9.1495 | 0.0538 |
| (h) | 0.0327 | 3.8546 | 2.4882 | 0.1421 | 0.0066 | 5.2311 | 23.1091 | 0.0153 | 0.0181 | 4.3865 | 6.2596 | 0.0786 | 0.0267 | 4.1566 | 9.0840 | 0.5460 |
| Classifier | Objects | c | Classifier | Objects | c | ||
|---|---|---|---|---|---|---|---|
| RBF-SVM1 | (a) Vs (b) | 0.5000 | 2.0000 | RBF-SVM15 | (c) Vs (e) | 0.0313 | 0.0313 |
| RBF-SVM2 | (a) Vs (c) | 0.0313 | 0.0313 | RBF-SVM16 | (c) Vs (f) | 0.0313 | 0.0313 |
| RBF-SVM3 | (a) Vs (d) | 0.2500 | 32.0000 | RBF-SVM17 | (c) Vs (g) | 0.0313 | 0.0313 |
| RBF-SVM4 | (a) Vs (e) | 4.0000 | 32.0000 | RBF-SVM18 | (c) Vs (h) | 0.0313 | 0.0313 |
| RBF-SVM5 | (a) Vs (f) | 16.0000 | 32.0000 | RBF-SVM19 | (d) Vs (e) | 2.0000 | 16.0000 |
| RBF-SVM6 | (a) Vs (g) | 0.0313 | 2.0000 | RBF-SVM20 | (d) Vs (f) | 0.0313 | 0.0313 |
| RBF-SVM7 | (a) Vs (h) | 1.0000 | 32.0000 | RBF-SVM21 | (d) Vs (g) | 0.0313 | 0.5000 |
| RBF-SVM8 | (b) Vs (c) | 0.0313 | 0.0313 | RBF-SVM22 | (d) Vs (h) | 0.0313 | 8.0000 |
| RBF-SVM9 | (b) Vs (d) | 0.0313 | 0.0313 | RBF-SVM23 | (e) Vs (f) | 0.0313 | 32.0000 |
| RBF-SVM10 | (b) Vs (e) | 0.0625 | 8.0000 | RBF-SVM24 | (e) Vs (g) | 0.0313 | 0.0313 |
| RBF-SVM11 | (b) Vs (f) | 0.0313 | 0.0313 | RBF-SVM25 | (e) Vs (h) | 16.0000 | 2.0000 |
| RBF-SVM12 | (b) Vs (g) | 0.0313 | 1.0000 | RBF-SVM26 | (f) Vs (g) | 0.0313 | 0.5000 |
| RBF-SVM13 | (b) Vs (h) | 0.0313 | 0.2500 | RBF-SVM27 | (f) Vs (h) | 0.0313 | 32.0000 |
| RBF-SVM14 | (c) Vs (d) | 0.0313 | 0.2500 | RBF-SVM28 | (g) Vs (h) | 0.0313 | 0.0313 |
| Pyrofusinite | Oxyfusinite | Semifusinite | Secretinite | Funginite | Macrinite | Inertodetrinite | Micinite | |
|---|---|---|---|---|---|---|---|---|
| precision | 1.0000 | 0.8696 | 1.0000 | 0.9048 | 0.9000 | 1.0000 | 0.9524 | 1.0000 |
| recall | 0.8500 | 1.0000 | 0.9500 | 0.9500 | 0.9000 | 1.0000 | 1.0000 | 0.9500 |
| F-measure | 0.9189 | 0.9302 | 0.9744 | 0.9268 | 0.9000 | 1.0000 | 0.9756 | 0.9744 |
| Pyrofusinite | Oxyfusinite | Semifusinite | Secretinite | Funginite | Macrinite | Inertodetrinite | Micinite | |
|---|---|---|---|---|---|---|---|---|
| precision | 0.8182 | 0.9756 | 0.9231 | 0.7368 | 0.7083 | 0.9756 | 0.6667 | 0.9744 |
| recall | 0.9000 | 1.0000 | 0.9000 | 0.7000 | 0.8500 | 1.0000 | 0.5000 | 0.9500 |
| F-measure | 0.8182 | 0.9756 | 0.9231 | 0.7368 | 0.7083 | 0.9756 | 0.6667 | 0.9744 |
© 2019 by the authors. Licensee MDPI, Basel, Switzerland. This article is an open access article distributed under the terms and conditions of the Creative Commons Attribution (CC BY) license (http://creativecommons.org/licenses/by/4.0/).
Share and Cite
Liu, M.; Wang, P.; Chen, S.; Zhang, D. The Classification of Inertinite Macerals in Coal Based on the Multifractal Spectrum Method. Appl. Sci. 2019, 9, 5509. https://doi.org/10.3390/app9245509
Liu M, Wang P, Chen S, Zhang D. The Classification of Inertinite Macerals in Coal Based on the Multifractal Spectrum Method. Applied Sciences. 2019; 9(24):5509. https://doi.org/10.3390/app9245509
Chicago/Turabian StyleLiu, Man, Peizhen Wang, Simin Chen, and Dailin Zhang. 2019. "The Classification of Inertinite Macerals in Coal Based on the Multifractal Spectrum Method" Applied Sciences 9, no. 24: 5509. https://doi.org/10.3390/app9245509
APA StyleLiu, M., Wang, P., Chen, S., & Zhang, D. (2019). The Classification of Inertinite Macerals in Coal Based on the Multifractal Spectrum Method. Applied Sciences, 9(24), 5509. https://doi.org/10.3390/app9245509

