Cost Consensus Algorithm Applications for EV Charging Station Participating in AGC of Interconnected Power Grid
Abstract
1. Introduction
2. Architecture and Mathematical Model of Automatic Generation Control Power Allocation with Electric Vehicle Charging Stations
2.1. Auxiliary Frequency Regulation Architecture of EV Charging Station
2.2. The Mathematical Model of AGC Power Dynamic Allocation with EV Charging Stations
3. AGC Power Allocation Strategy of Charging Stations Based on Consensus Algorithm
3.1. Consensus Algorithm
3.2. Charging Power Station AGC Power Allocation Based on Cost Consensus Algorithm
3.3. Virtual Consensus Variable and Actual Consensus Variable
3.4. Overall Design Flowchart
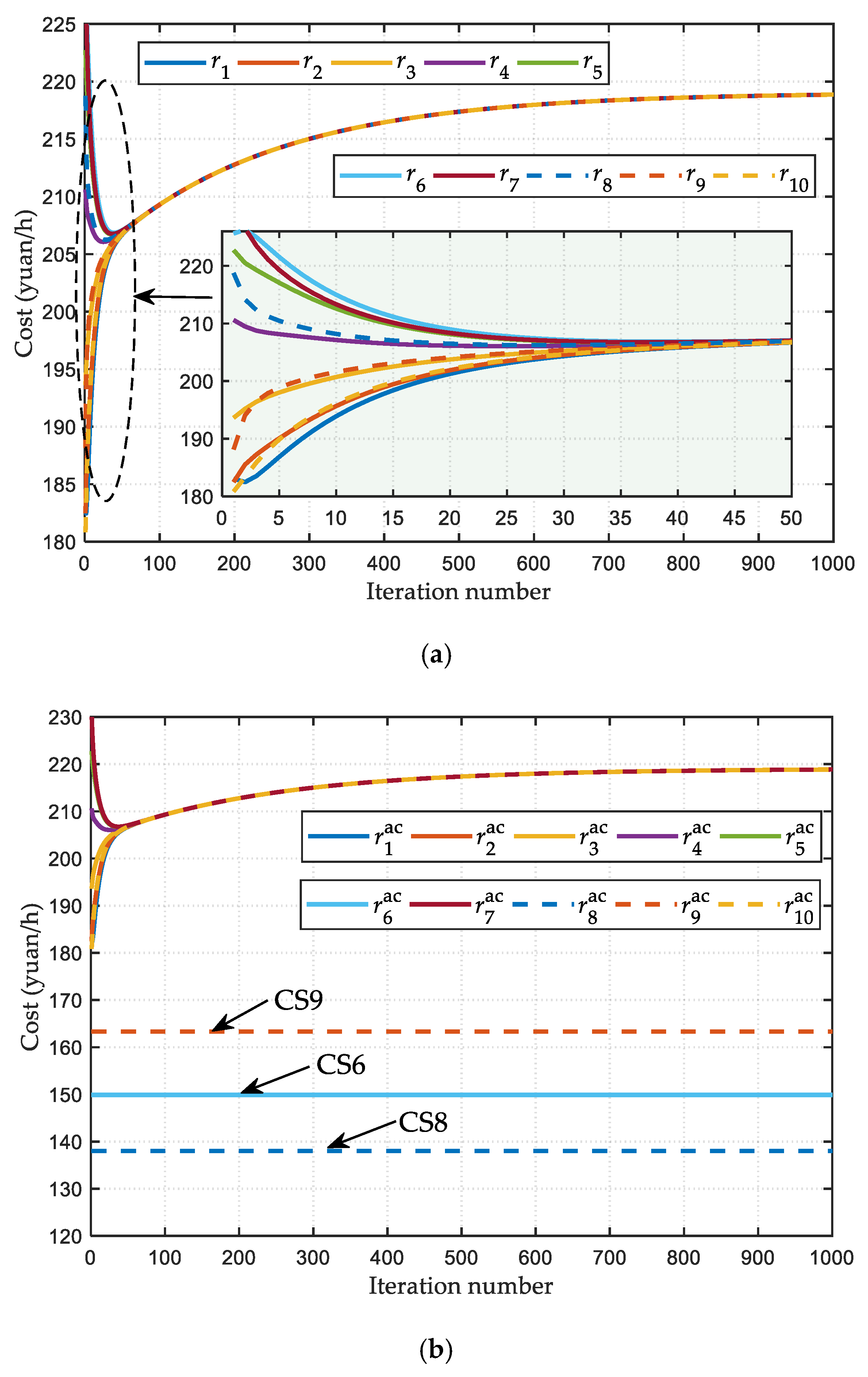
4. Case Studies
4.1. System Model
4.2. Discrete Consensus
4.3. Random Disturbances
5. Conclusions
- 1)
- A feasible method for decentralized control is presented for AGC power allocation with EVs. After the virtual consensus variables and actual consensus variables are introduced, the cost consensus algorithm can be flexibly applied on the AGC power allocation of EV. Meanwhile, because such an algorithm possesses the superiorities of distributed calculation and simple updating rules, self-regulation of EV charging and discharging can be efficiently and effectively achieved.
- 2)
- The adjustment cost is regarded as the consentaneous state variable in the cost consensus algorithm, which means the charging stations with less adjustment cost receive more power disturbances. Particularly, such a strategy can effectively reduce the power grid frequency regulation cost and improve the control performance standard of a regional power grid.
Author Contributions
Funding
Conflicts of Interest
Nomenclature
| Variables | |
| the general power generation instruction issued by the power grid dispatching center sent to the EV centralized control center, kW | |
| the adjustment cost coefficient of the wth battery of the ith EV charging station | |
| the power generation instruction of the ith EV charging station, kW | |
| the power generation instruction assigned to the wth EV battery of the ith EV charging station, kW | |
| the upper limit of the regulating capacity of the wth EV battery in the ith EV charging station, kW | |
| the lower limit of the regulating capacity of the wth EV battery in the ith EV charging station, kW | |
| the upper limit constraint of the wth EV battery in the ith EV charging station allowed to participate in the frequency regulation of the system, kW | |
| the lower limit constraint of the wth EV battery in the ith EV charging station allowed to participate in the frequency regulation of the system, kW | |
| i | the number of EV charging stations |
| the total number of EV batteries of the ith EV charging station | |
| the deviation between the total power instruction of EV centralized control center and the total power instruction of all EV charging stations, kW | |
| the maximum standby capacity of the ith EV charging station, kW | |
| the minimum standby capacity of the ith EV charging station, kW | |
| System Parameters | |
| f | the total adjustment cost target of the EV participating in the frequency regulation system, Hz |
| Consensus algorithm parameters | |
| xi | the information state of the ith agent |
| k | discrete time series |
| the adjustment cost of the ith charging station | |
| the adjustment cost coefficient of the ith charging station | |
| the error adjustment factor | |
| Abbreviations | |
| AGC | automatic generation control |
| V2G | vehicle to grid |
| EV | electric vehicle |
| GA | genetic algorithm |
| CPS | control performance standard |
| PSO | particle swarm optimization |
| GSO | group search optimizer |
| LP | linear programming |
References
- Arrillaga, J.; Watson, N.R.; Chen, S. Power System Quality Assessment; John Wiley & Sons: Hoboken, NJ, USA, 2000. [Google Scholar]
- Fuchs, E.F. Power Quality in Power Systems and Electric Machines University of Colorado; ECEN 5787, Course Notes; Department of Electrical and Computer Engineering: Boulder, CO, USA, 2005. [Google Scholar]
- Yang, B.; Yu, T.; Shu, H.; Dong, J.; Jiang, L. Robust sliding-mode control of wind energy conversion systems for optimal power extraction via nonlinear perturbation observers. Appl. Energy 2018, 210, 711–723. [Google Scholar] [CrossRef]
- Arrillaga, J.; Smith, B.C.; Watson, N.R.; Wood, A.R. Power System Harmonic Analysis; John Wiley & Sons: Hoboken, NJ, USA, 1997. [Google Scholar]
- Shen, Y.; Yao, W.; Wen, J.Y.; He, H.B.; Jiang, L. Resilient wide-area damping control using GrHDP to tolerate communication failures. IEEE Trans. Smart Grid. 2019, 10, 2547–2557. [Google Scholar] [CrossRef]
- Caciotta, M.; Leccese, F.; Trifiro, A. From power quality to perceived power quality. In Proceedings of the IASTED International Conference on Energy and Power Systems, Chiang Mai, Thailand, 29–31 March 2006; pp. 94–102. [Google Scholar]
- Liu, J.; Yao, W.; Wen, J.; Fang, J.; Jiang, L.; He, H.; Cheng, S.-J. Impact of Power Grid Strength and PLL Parameters on Stability of Grid-Connected DFIG Wind Farm. IEEE Trans. Sustain. Energy 2019, 99, 1. [Google Scholar] [CrossRef]
- Yang, B.; Jiang, L.; Wang, L.; Yao, W.; Wu, Q. Nonlinear maximum power point tracking control and modal analysis of DFIG based wind turbine. Int. J. Electr. Power Energy Syst. 2016, 74, 429–436. [Google Scholar] [CrossRef]
- Chen, J.; Yao, W.; Zhang, C.-K.; Ren, Y.; Jiang, L. Design of robust MPPT controller for grid-connected PMSG-Based wind turbine via perturbation observation based nonlinear adaptive control. Renew. Energy 2019, 134, 478–495. [Google Scholar] [CrossRef]
- Wang, C.-S.; Stielau, O.H.; Covic, G.A. Design Considerations for a Contactless Electric Vehicle Battery Charger. IEEE Trans. Ind. Electron. 2005, 52, 1308–1314. [Google Scholar] [CrossRef]
- Aziz, M.; Oda, T.; Mitani, T.; Watanabe, Y.; Kashiwagi, T. Utilization of Electric Vehicles and Their Used Batteries for Peak-Load Shifting. Energies 2015, 8, 3720–3738. [Google Scholar] [CrossRef]
- Liu, H.; Ji, Y.; Zhuang, H.; Wu, H. Multi-Objective Dynamic Economic Dispatch of Microgrid Systems Including Vehicle-to-Grid. Energies 2015, 8, 4476–4495. [Google Scholar] [CrossRef]
- Benedetto, A.; Sergio, B.; Luca, D.B.; Maria, D.; Giuseppe, F.; Michele, T. DC-microgrid operation planning for an electric vehicle supply infrastructure. Appl. Sci. 2019, 9, 2687. [Google Scholar]
- Lingwen, G.; Ufuk, T.; Steven, H.L. Optimal decentralized protocol for electric vehicle charging. IEEE Trans. Power Systs. 2013, 28, 940–951. [Google Scholar]
- Leccese, F. An overview on IEEE Std 2030. In Proceedings of the 11th International Conference on Environment and Electrical Engineering, Venice, Italy, 18–25 May 2012; pp. 340–345. [Google Scholar]
- Dong, Q.L. Cluster control for EVS participating in grid frequency regulation by using virtual synchronous machine with optimized parameters. Appl. Sci. 2019, 9, 1924. [Google Scholar]
- Han, S.; Han, S.; Sezaki, K. Development of an Optimal Vehicle-to-Grid Aggregator for Frequency Regulation. IEEE Trans. Smart Grid 2010, 1, 65–72. [Google Scholar]
- Li, J.; Wang, S.; Ye, L.; Fang, J. A coordinated dispatch method with pumped-storage and battery-storage for compensating the variation of wind power. Prot. Control. Mod. Power Syst. 2018, 3, 2. [Google Scholar] [CrossRef]
- Yang, B.; Zhong, L.; Zhang, X.; Shu, H.; Yu, T.; Li, H.; Jiang, L.; Sun, L. Novel bio-inspired memetic salp swarm algorithm and application to MPPT for PV systems considering partial shading condition. J. Clean. Prod. 2019, 215, 1203–1222. [Google Scholar] [CrossRef]
- Xie, D.; Chu, H.; Lu, Y.; Gu, C.; Li, F.; Zhang, Y. The Concept of EV’s Intelligent Integrated Station and Its Energy Flow. Energies 2015, 8, 4188–4215. [Google Scholar] [CrossRef]
- Zhu, J.C.; Yang, Z.L.; Guo, Y.J.; Zhang, J.K.; Yang, H.K. Short-term load forecasting for electric vehicle charging stations based on deep learning approaches. Appl. Sci. 2019, 9, 1723. [Google Scholar] [CrossRef]
- Leccese, F. Rome: A first example of perceived power quality of electrical energy. In Proceedings of the IASTED International Conference on Energy and Power Systems, Rome, Italy, 30 September–4 October 2007; pp. 169–176. [Google Scholar]
- Caciotta, M.; Leccese, F.; Trifirò, A. Curve-fitting-algorithm (CFA) as power quality basic algorithm. In Proceedings of the 18th IMEKO World Congress 2006: Metrology for a Sustainable Development, Rio de Janeiro, Brazil, 17–22 September 2006; pp. 469–474. [Google Scholar]
- Han, S.; Han, S.H.; Sezaki, K. Design of an optimal aggregator for vehicle-to-grid regulation service. In Proceedings of the 2010 Innovative Smart Grid Technologies (ISGT), Gothenburg, Sweden, 19–21 January 2010; pp. 1–8. [Google Scholar]
- Escudero, G.J.; García, A.A.; Seco, G.G. Fair design of plug-in electric vehicles aggregator for V2G regulation. IEEE Trans. Veh. Technol. 2012, 61, 3406–3419. [Google Scholar] [CrossRef]
- Li, J.; Gao, F.; Yan, G.; Zhang, T.; Li, J. Modeling and SOC estimation of lithium iron phosphate battery considering capacity loss. Prot. Control. Mod. Power Syst. 2018, 3, 5. [Google Scholar] [CrossRef]
- Yang, B.; Yu, T.; Shu, H.; Zhang, Y.; Chen, J.; Sang, Y.; Jiang, L. Passivity-based sliding-mode control design for optimal power extraction of a PMSG based variable speed wind turbine. Renew. Energy 2018, 119, 577–589. [Google Scholar] [CrossRef]
- Yang, B.; Zhang, X.; Yu, T.; Shu, H.; Fang, Z. Grouped grey wolf optimizer for maximum power point tracking of doubly-fed induction generator based wind turbine. Energy Convers. Manag. 2017, 133, 427–443. [Google Scholar] [CrossRef]
- Liao, S.; Yao, W.; Han, X.; Wen, J.; Cheng, S. Chronological operation simulation framework for regional power system under high penetration of renewable energy using meteorological data. Appl. Energy 2017, 203, 816–828. [Google Scholar] [CrossRef]
- Yang, H.; Li, S.; Li, Q.; Chen, W. Hierarchical distributed control for decentralized battery energy storage system based on consensus algorithm with pinning node. Prot. Control. Mod. Power Syst. 2018, 3, 6. [Google Scholar] [CrossRef]
- Ruan, L.; Chen, J.; Guo, Q.; Jiang, H.; Zhang, Y.; Liu, D. A Coalition Formation Game Approach for Efficient Cooperative Multi-UAV Deployment. Appl. Sci. 2018, 8, 2427. [Google Scholar] [CrossRef]
- Hanan, G.A.; Mohamed, S.K. Cumulative voting consensus method for partitions with variable number of clusters. IEEE Trans. Pattern Anal. Mach. Intell. 2008, 30, 160–173. [Google Scholar]
- Gustavo, A.C.; Juan, M.C. Robot swarm navigation and victim detection using rendezvous consensus in search and rescue operations. Appl. Sci. 2019, 9, 1702. [Google Scholar]
- Lee, D.; Spong, M.W. Stable Flocking of Multiple Inertial Agents on Balanced Graphs. IEEE Trans. Autom. Control. 2007, 52, 1469–1475. [Google Scholar] [CrossRef]
- Zhang, X.S.; Yu, T.; Pan, Z.N.; Yang, B.; Bao, T. Lifelong learning for complementary generation control of interconnected power grids with high-penetration renewables and EVs. IEEE Trans. Power Syst. 2018, 33, 4097–4110. [Google Scholar] [CrossRef]
- Cheng, Y.; Zhang, C. Configuration and operation combined optimization for EV battery swapping station considering PV consumption bundling. Prot. Control. Mod. Power Syst. 2017, 2, 276–293. [Google Scholar] [CrossRef]
- Liu, H.; Huang, K.; Yang, Y.; Wei, H.; Ma, S. Real-time vehicle-to-grid control for frequency regulation with high frequency regulating signal. Prot. Control. Mod. Power Syst. 2018, 3, 13. [Google Scholar] [CrossRef]
- Zhang, X.; Yu, T.; Yang, B.; Li, L. Virtual generation tribe based robust collaborative consensus algorithm for dynamic generation command dispatch optimization of smart grid. Energy 2016, 101, 34–51. [Google Scholar] [CrossRef]
- National Development and Reform Commission of the PRC. Electric Vehicle Charging Infrastructure Development Guide (2015–2020); National Development and Reform Commission of the PRC: Beijing, China, 9 October 2015.
- Cai, H.; Chen, Q.; Guan, Z.; Huang, J. Day-ahead optimal charging/discharging scheduling for electric vehicles in microgrids. Prot. Control. Mod. Power Syst. 2018, 3, 9. [Google Scholar] [CrossRef]
- Sze, S.L.; Bing, C.; Nik, R.N.I.; Hui, H.G.; Yeh, E.H. Switched-battery boost-multilevel inverter with GA optimized SHEPWM for standalone application. IEEE Trans. Ind. Electron. 2016, 63, 2133–2142. [Google Scholar]
- Antonelli, A.; Giarnetti, S.; Leccese, F. Enhanced PLL system for Harmonic Analysis through Genetic Algorithm application. In Proceedings of the 11th International Conference on Environment and Electrical Engineering, Venice, Italy, 18–25 May 2012; pp. 328–333. [Google Scholar]
- Umair, F.S.; Yoichi, S.; Sadiq, M.S. Multi-constrained route optimization for electric vehicles (EVs) using particle swarm optimization (PSO). In Proceedings of the 11th International Conference on Intelligent Systems Design and Applications, Córdoba, Spain, 22–24 November 2011; pp. 22–24. [Google Scholar]
- Mangiatordi, F.; Pallotti, E.; Del Vecchio, P.; Leccese, F. Power consumption scheduling for residential buildings. In Proceedings of the 11th International Conference on Environment and Electrical Engineering, Venice, Italy, 18–25 May 2012; pp. 926–930. [Google Scholar]
- Shayfull, Z.; Hazwan, M.H.M.; Nawi, M.A.M.; Ahmad, M.; Mohamad Syafiq, A.K.; Roslan, A.M. Warpage optimization on battery cover using glowworm swarm optimization (GSO). In Proceedings of the AIP Conference Proceedings, Noida, India, 17–19 January 2019. [Google Scholar]
- Cardoso, G.; Stadler, M.; Siddiqui, A.; Marnay, C.; Deforest, N.; Barbosa-Povoa, A.; Ferrao, P. Microgrid reliability modeling and battery scheduling using stochastic linear programming. Electr. Power Syst. Res. 2013, 103, 61–69. [Google Scholar] [CrossRef]








| Unit | Class | Maximum Regulation Capacity (MW) | Minimum Regulation Capacity (MW) | Rate (MW·min−1) | Cost (yuan·(MWh)−1) |
|---|---|---|---|---|---|
| G1 | Coal-fired unit | 70 | −70 | 3.5 | 132.83 |
| G2 | Coal-fired unit | 210 | −210 | 10.5 | 127.64 |
| G3 | Coal-fired unit | 735 | −735 | 36.75 | 181.42 |
| G4 | Liquefied Natural Gas unit | 140 | −140 | 14 | 226.78 |
| G5 | Liquefied Natural Gas unit | 60 | −60 | 6 | 233.91 |
| G6 | Hydropower unit | 232 | 0 | 232 | 75.16 |
| G7 | Hydropower unit | 52 | 0 | 52 | 73.67 |
| G8 | Hydropower unit | 80 | 0 | 80 | 70.17 |
| Charging Stations | The Adjustment Cost Coefficient Ci yuan (MW·h) | Maximum Regulation Capacity/MW | Minimum Regulation Capacity/MW |
|---|---|---|---|
| CS1 | 77.44 | 3 | 2.5 |
| CS2 | 65.12 | 4.2 | 3.6 |
| CS3 | 82.30 | 6.3 | 5.8 |
| CS4 | 78.08 | 3.2 | 2.6 |
| CS5 | 96.51 | 4.8 | 4.3 |
| CS6 | 83.27 | 1.8 | 1.4 |
| CS7 | 95.94 | 2.8 | 2.2 |
| CS8 | 92.02 | 1.5 | 1.2 |
| CS9 | 68.04 | 2.4 | 2.0 |
| CS10 | 70.93 | 5 | 4.4 |
| Algorithm | |Δf| (Hz) | |ACE| (MW) | CPS1 (%) | CPS2 (%) | CPS (%) | Cost (103 yuan) |
|---|---|---|---|---|---|---|
| Cost consensus algorithm | 9.0017 × 104 | 0.5176 | 199.9767 | 100 | 100 | 10.94 |
| GA | 9.0018 × 104 | 0.5177 | 199.9767 | 100 | 100 | 10.91 |
| PSO | 9.0014 × 104 | 0.5176 | 199.9767 | 100 | 100 | 10.92 |
| GSO | 9.0014 × 104 | 0.5176 | 199.9767 | 100 | 100 | 10.89 |
| LP | 9.2019 × 104 | 0.5723 | 199.9747 | 100 | 100 | 10.73 |
| PROP | 9.0014 × 104 | 0.5176 | 199.9767 | 100 | 100 | 10.95 |
| Scenarios | |Δf| (Hz) | |ACE| (MW) | CPS1 (%) | CPS2 (%) | CPS (%) | Cost (103 yuan) |
|---|---|---|---|---|---|---|
| Coal-fired unit G3 replaces EV | 9.8239 × 104 | 0.5199 | 199.9753 | 100 | 100 | 11.73 |
| Hydropower generator G6 replaces EV | 9.3228 × 104 | 0.5209 | 199.9762 | 100 | 100 | 11.13 |
© 2019 by the authors. Licensee MDPI, Basel, Switzerland. This article is an open access article distributed under the terms and conditions of the Creative Commons Attribution (CC BY) license (http://creativecommons.org/licenses/by/4.0/).
Share and Cite
Tang, J.; Ma, X.; Gu, R.; Yang, Z.; Li, S.; Yang, C.; Yang, B. Cost Consensus Algorithm Applications for EV Charging Station Participating in AGC of Interconnected Power Grid. Appl. Sci. 2019, 9, 4886. https://doi.org/10.3390/app9224886
Tang J, Ma X, Gu R, Yang Z, Li S, Yang C, Yang B. Cost Consensus Algorithm Applications for EV Charging Station Participating in AGC of Interconnected Power Grid. Applied Sciences. 2019; 9(22):4886. https://doi.org/10.3390/app9224886
Chicago/Turabian StyleTang, Jun, Xiang Ma, Ren Gu, Zhichao Yang, Shi Li, Chen Yang, and Bo Yang. 2019. "Cost Consensus Algorithm Applications for EV Charging Station Participating in AGC of Interconnected Power Grid" Applied Sciences 9, no. 22: 4886. https://doi.org/10.3390/app9224886
APA StyleTang, J., Ma, X., Gu, R., Yang, Z., Li, S., Yang, C., & Yang, B. (2019). Cost Consensus Algorithm Applications for EV Charging Station Participating in AGC of Interconnected Power Grid. Applied Sciences, 9(22), 4886. https://doi.org/10.3390/app9224886
