Fragility Assessment of a Container Crane under Seismic Excitation Considering Uplift and Derailment Behavior
Abstract
:1. Introduction
2. Analytical Fragility
2.1. Methodology of Fragility Assessment
2.2. Selection of Seismic Demands
2.3. Damage States for Container Crane
3. Dynamic Analysis of Container Crane Coupled with Uplift and Derailment
3.1. Nonlinear Time-History Analyses
3.2. Probability of Exceedance of Uplift
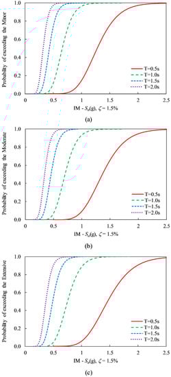
4. Performance-Based Fragility Curves
5. Conclusions
Author Contributions
Acknowledgments
Conflicts of Interest
References
- Kosbab, B.D. Seismic Performance Evaluation of Port Container Cranes Allowed to Uplift; Georgia Institute of Technology: Atlanta, GA, USA, 2010. [Google Scholar]
- Soderberg, E.; Hsieh, J.; Dix, A. Seismic Guidelines for Container Cranes. In Proceedings of the TCLEE 2009: Lifeline Earthquake Engineering in a Multihazard Environment, Oakland, CA, USA, 28 June–1 July 2009. [Google Scholar]
- Bhimani, A.; Jordan, M.A. A few facts about jumbo cranes. In Proceedings of the TOC Americas in Panama, Panama City, Panama, 3 December 2003. [Google Scholar]
- Kim, H.-H.; Ree, J.-H.; Kim, Y.; Kim, S.; Kang, S.-Y.; Seo, W. Assessing whether the 2017 Mw 5.4 Pohang earthquake in South Korea was an induced event. Science 2018, 360, 1007–1009. [Google Scholar] [CrossRef] [PubMed]
- Kim, S.-K.; Lee, J.-M. Probabilistic seismic hazard analysis using a synthetic earthquake catalog: Comparison of the Gyeongju City Hall site with the Seoul City Hall site in Korea. Geosci. J. 2017, 21, 523–533. [Google Scholar] [CrossRef]
- Kanayama, T.; Kashiwazaki, A. An Evaluation of Uplifting Behavior of Container Cranes under Strong Earthquakes. Trans. Jpn. Soc. Mech. Eng. 1998, 64, 100–106. (In Japanese) [Google Scholar]
- PIANC. Seismic Design Guidelines for Port Structures; A.A. Balkema: Brussels, Belgium, 2001. [Google Scholar]
- Vuojolainen, M.; Van Der Waal, J. A Longer Lift for your Port Cranes; Kalmar: Helsinki, Finland, 2015. [Google Scholar]
- Baker, J.W. Efficient analytical fragility function fitting using dynamic structural analysis. Earthq. Spectra 2015, 31, 579. [Google Scholar] [CrossRef]
- Applied Technology Council. ATC-13, Earthquake Damage Evaluation Data for California; FEMA: Redwood City, CA, USA, 1985. [Google Scholar]
- Shinozuka, M.; Feng, M.Q.; Kim, H.-K.; Kim, S.-H. Nonlinear static procedure for fragility curve development. J. Eng. Mech. 2000, 126, 1287–1295. [Google Scholar] [CrossRef]
- Padgett, J.E.; DesRoches, R. Methodology for the development of analytical fragility curves for retrofitted bridges. Earthq. Eng. Struct. Dyn. 2008, 37, 1157–1174. [Google Scholar] [CrossRef]
- Pitilakis, K. D3.7—Fragility Functions for Roadway System Elements; Norwegian Geotechnical Institute (NGI)-Seventh Framework Program: Oslo, Norway, 2009. [Google Scholar]
- Ramamoorthy, S.K.; Gardoni, P.; Bracci, J.M. Probabilistic Demand Models and Fragility Curves for Reinforced Concrete Frames. J. Struct. Eng. 2006, 132, 1563. [Google Scholar] [CrossRef]
- Huh, J.; Tran, Q.H.; Haldar, A.; Park, I.; Ahn, J.-H. Seismic Vulnerability Assessment of a Shallow Two-Story Underground RC Box Structure. Appl. Sci. 2017, 7, 735. [Google Scholar] [CrossRef]
- Argyroudis, S.A.; Pitilakis, K.D. Seismic fragility curves of shallow tunnels in alluvial deposits. Soil Dyn. Earthq. Eng. 2012, 35, 1–12. [Google Scholar] [CrossRef]
- Heidary-Torkamani, H.; Bargi, K.; Amirabadi, R.; McCllough, N.J. Fragility estimation and sensitivity analysis of an idealized pile-supported wharf with batter piles. Soil Dyn. Earthq. Eng. 2014, 61–62, 92–106. [Google Scholar] [CrossRef]
- Kosbab, B.; DesRoches, R.; Leon, R. Seismic Fragility of Jumbo Port Container Cranes. In Proceedings of the 12th Triannual International Conference on Ports, Jacksonville, FL, USA, 25–28 April 2010. [Google Scholar]
- Gur, S.; Ray-Chaudhuri, S. Vulnerability assessment of container cranes under stochastic wind loading. Struct. Infrastruct. Eng. 2014, 10, 1511–1530. [Google Scholar] [CrossRef]
- American Society of Civil Engineers. Seismic Evaluation and Retrofit of Existing Buildings; ASCE/SEI 41; American Society of Civil Engineers: Reston, VA, USA, 2013. [Google Scholar]
- Architectural Institute of Korea. Korean Building Code; Architectural Institute of Korea: Seoul, Korea, 2016. [Google Scholar]
- Shinozuka, M.; Feng, M.Q.; Kim, H.; Uzawa, T.; Ueda, T. Statistical Analysis of Fragility Curves; University of Southern California: Los Angeles, CA, USA, 2001. [Google Scholar]
- Kim, I. Seismic Design and Performance Objectives of Civil Facilities. Mag. KSCE 2017, 65, 20–25. [Google Scholar]
- Tran, Q.H.; Huh, J.; Nguyen, V.B.; Kang, C.; Ahn, J.-H.; Park, I.-J. Sensitivity Analysis for Ship-to-Shore Container Crane Design. Appl. Sci. 2018, 8, 1667. [Google Scholar] [CrossRef]
- Whittaker, A.; Atkinson, G.; Baker, J.; Bray, J.; Grant, D.; Hamburger, R.; Haselton, C.; Somerville, P. Selecting and Scaling Earthquake Ground Motions for Performing Response-History Analyses; Grant/Contract Reports (NISTGCR)-11-917-15; National Institute of Standards and Technology: Gaithersburg, MD, USA, 2011.
- Kim, J.M. QuakeGem—Computer Program for Generating Multiple Earthquake Motions; Chonnam National University: Jellanam-do, Korea, 2007. [Google Scholar]
- Deodatis, G. Non-stationary Stochastic Vector Processes: Seismic Ground Motion Applications. Probabilistic Eng. Mech. 1996, 11, 149–168. [Google Scholar] [CrossRef]
- Deodatis, G. Simulation of Ergodic Multivariate Stochastic Processes. J. Eng. Mech. 1996, 122, 778–787. [Google Scholar] [CrossRef]
- Tran, Q.H.; Huh, J.; Nguyen, V.B.; Haldar, A.; Kang, C.; Hwang, K.M. Comparative Study of Nonlinear Static and Time-History Analyses of Typical Korean STS Container Cranes. Adv. Civ. Eng. 2018, 2018, 2176894. [Google Scholar] [CrossRef]
- Iman, R.L.; Conover, W. Small sample sensitivity analysis techniques for computer models with an application to risk assessment. Commun. Stat.-Theory Methods 1980, 9, 1749–1842. [Google Scholar] [CrossRef]
- Wilson, E. Three-Dimensional Static and Dynamic Analysis of Structures: A Physical Approach with Emphasis on Earthquake Engineering; CSI: Berkeley, CA, USA, 2002. [Google Scholar]
- Computers and Structures Inc. Linear and Nonlinear Static and Dynamic Analysis and Design of 3D Structures: Basic Analysis Reference Manual for SAP2000; CSI: Berkeley, CA, USA, 2006. [Google Scholar]
- Huh, J.; Nguyen, V.B.; Tran, Q.H.; Ahn, J.-H.; Kang, C. Effects of Boundary Condition Models on the Seismic Responses of a Container Crane. Appl. Sci. 2019, 9, 241. [Google Scholar] [CrossRef]
- Kourkoulis, R.; Gelagoti, F.; Loli, M. Seismic Vulnerability of Container Cranes: The Role of Soil-Structure Interaction in Jeopardising Their Operability. In Proceedings of the SECED 2015 Conference: Earthquake Risk and Engineering towards a Resilient World, Cambridge, UK, 9–10 July 2015. [Google Scholar]
- Ibarra, L.F.; Krawinkler, H. Global Collapse of Frame Structures under Seismic Excitations; PEER Center; University of California: Berkeley, CA, USA, 2005. [Google Scholar]
- Lee, T.-H.; Mosalam, K.M. Probabilistic Seismic Evaluation of Reinforced Concrete Structural Components and Systems; University of California: Berkeley, CA, USA, 2006. [Google Scholar]











| Soil Classes | Name of Ground Type | Classification Criteria | |
|---|---|---|---|
| Bedrock Depth, H (m) | Soil Average Shear Wave Velocity, vs (m/s) | ||
| S1 | Rock | Less than 1 | ≥760 |
| S2 | Shallow and hard ground | (1–20 or less) | ≥260 |
| S3 | Shallow and soft ground | <260 | |
| S4 | Deep and hard ground | Above 20 | ≥180 |
| S5 | Deep and soft ground | <180 (vs ≤ 120 m/s is not classified as S5, regardless of bedrock depth) | |
| S6 | Grounds that require site-specific characterization and ground response analysis | ||
| GM | Earthquake Name | Year | Station Name, Direction | Magnitude | RRUP (km) | Mechanism | PGA (× g) |
|---|---|---|---|---|---|---|---|
| 1 | Imperial Valley-02 | 1940 | Elcentro Array #09 | 6.95 | 6.09 | Strike slip | 0.21 |
| 2 | Imperial Valley-06 | 1979 | Elcentro Array #06 | 6.53 | 1.35 | Strike slip | 0.45 |
| 3 | Landers | 1992 | Barstow | 7.28 | 34.86 | Strike slip | 0.13 |
| 4 | Landers | 1992 | Yermo Fire Sta. | 7.28 | 23.62 | Strike slip | 0.24 |
| 5 | Loma Prieta | 1989 | Gilroy-Gavilan Coll. | 6.93 | 9.96 | Reverse oblique | 0.36 |
| 6 | Northridge-01 | 1994 | Rinaldi Receiving Sta. | 6.69 | 6.5 | Reverse | 0.87 |
| 7 | Gyeongju, S. Korea | 2016 | USN, NS | 5.80 | Close to the epicenter | - | 0.43 |
| 8 | Pohang, S. Korea | 2017 | PHA2-100, NS | 5.40 | 9.00 | Reverse thrust | 0.27 |
| 9 | Kobe, Japan | 1995 | KJMA | 6.90 | 0.96 | Strike slip | 0.83 |
| 10 | Chi-Chi, Taiwan | 1999 | TCU045 | 7.62 | 0.57 | Reverse oblique | 0.36 |
| Limit States | Minor | Moderate | Extensive |
|---|---|---|---|
| Portal drift (%) | 1.61 | 1.82 | 2.16 |
| Properties of Materials | Unit | Value |
|---|---|---|
| Yield strength of steel for JIS-SM490Y | ||
| Thickness | ||
| t ≤ 16 mm | MPa | 365 |
| 16 mm < t ≤ 40 mm | MPa | 355 |
| t > 40 mm | MPa | 335 |
| Yield strength of steel for JIS-STK490 | MPa | 313 |
| Young’s modulus of both steel types | GPa | 200 |
| Years of Return Period | 200 | 500 | 1000 | 2400 | 4800 | |
|---|---|---|---|---|---|---|
| Performance Levels | ||||||
| Uplift coupled with/without derailment | ≈0.0 | 0.4 | 7.5 | 42.5 | 74.9 | |
| Minor | ≈0.0 | ≈0.0 | 0.6 | 12.4 | 40.5 | |
| Moderate | ≈0.0 | ≈0.0 | 0.3 | 7.7 | 30.1 | |
| Extensive | ≈0.0 | ≈0.0 | 0.1 | 4.7 | 21.5 | |
| T (s) | Parameters of Fragility Curve | IO | LS | CP |
|---|---|---|---|---|
| 0.5 | Median | 1.277 | 1.364 | 1.459 |
| Standard Deviation | 0.232 | 0.235 | 0.240 | |
| 1.0 | Median | 0.657 | 0.702 | 0.751 |
| Standard Deviation | 0.232 | 0.235 | 0.240 | |
| 1.5 | Median | 0.426 | 0.455 | 0.487 |
| Standard Deviation | 0.232 | 0.235 | 0.240 | |
| 2.0 | Median | 0.320 | 0.342 | 0.365 |
| Standard Deviation | 0.232 | 0.235 | 0.240 |
© 2019 by the authors. Licensee MDPI, Basel, Switzerland. This article is an open access article distributed under the terms and conditions of the Creative Commons Attribution (CC BY) license (http://creativecommons.org/licenses/by/4.0/).
Share and Cite
Tran, Q.H.; Huh, J.; Doan, N.S.; Mac, V.H.; Ahn, J.-H. Fragility Assessment of a Container Crane under Seismic Excitation Considering Uplift and Derailment Behavior. Appl. Sci. 2019, 9, 4660. https://doi.org/10.3390/app9214660
Tran QH, Huh J, Doan NS, Mac VH, Ahn J-H. Fragility Assessment of a Container Crane under Seismic Excitation Considering Uplift and Derailment Behavior. Applied Sciences. 2019; 9(21):4660. https://doi.org/10.3390/app9214660
Chicago/Turabian StyleTran, Quang Huy, Jungwon Huh, Nhu Son Doan, Van Ha Mac, and Jin-Hee Ahn. 2019. "Fragility Assessment of a Container Crane under Seismic Excitation Considering Uplift and Derailment Behavior" Applied Sciences 9, no. 21: 4660. https://doi.org/10.3390/app9214660
APA StyleTran, Q. H., Huh, J., Doan, N. S., Mac, V. H., & Ahn, J.-H. (2019). Fragility Assessment of a Container Crane under Seismic Excitation Considering Uplift and Derailment Behavior. Applied Sciences, 9(21), 4660. https://doi.org/10.3390/app9214660

