Sustainable Brick Masonry Bond Design and Analysis: An Application of a Decision-Making Technique
Abstract
1. Introduction
2. Background
3. Materials and Methods
3.1. Materials
3.1.1. Burnt Clay Bricks
3.1.2. Cement Mortar
3.1.3. Brick Masonry Bonds
3.2. Methodology and Experimental Design
3.2.1. Casting and Curing of Prisms and Triplets
3.2.2. Bond Wrench Test
3.2.3. Shear Bond Test
3.2.4. Compressive and Flexural Strength of Brick Bonds
3.2.5. Statistical Model and Relationship Analysis
4. Results and Discussion
4.1. Prism Compressive Strength
4.2. Flexural Bond Strength
4.3. Triplet Shear Strength
4.4. Compressive Strength of Brick Bonds
4.5. Flexural Strength of Brick Bonds
4.6. Relationship Analysis
4.6.1. Model Parameters
4.6.2. Prediction Profiles
4.6.3. Interaction Profiles
5. Conclusions
Author Contributions
Funding
Acknowledgments
Conflicts of Interest
References
- Arora, N.; Gupta, B. Building Construction; M/S Satya Prakashan: New Dehli, India, 1997. [Google Scholar]
- Hogberg, E. Mortar Bond; Report No. 40; National Swedish Institute for Building Research: Stockholm, Sweden, 1967. [Google Scholar]
- Sarangapani, G.; Reddy, B.V.; Jagadish, K. Brick-mortar bond and masonry compressive strength. J. Mater. Civ. Eng. 2005, 17, 229–237. [Google Scholar] [CrossRef]
- Gumaste, K.S.; Rao, K.N.; Reddy, B.V.; Jagadish, K.S. Strength and elasticity of brick masonry prisms and wallettes under compression. Mater. Struct. 2007, 40, 241–253. [Google Scholar] [CrossRef]
- Grenley, D. Study of the Effect of Certain Modified Mortars on Compressive and Flexural Strength of Masonry; Johnson, F.B., Ed.; Gulf Publishing Company: Houston, TX, USA, 1969; pp. 28–33. [Google Scholar]
- Groot, C. Eflbct of Water on Mortar-Brick Bond; Delft University of Technology: Delft, The Netherlands, 1993. [Google Scholar]
- Deepak, B. Sustainable dry interlocking block masonry construction. In Proceedings of the 15th International Brick and Block Masonry Conference, Florianópolis, Brazil, 3 June 2012. [Google Scholar]
- El-adaway, I.; Breakah, T.; Khedr, S. Brick Masonry and Sustainable Construction. In Proceedings of the ICSDC 2011: Integrating Sustainability Practices in the Construction Industry, Kansas City, MO, USA, 18 January 2012; pp. 524–534. [Google Scholar]
- Rakesh, K.M.; Sanjay, S.J. Sustainability in Construction through Masonry Alternatives. Int. J. Innov. Res. Sci. Eng. Technol. 2017, 6, 12836–12844. [Google Scholar]
- Righetti, L.; Borri, A.; Corradi, M. Sustainable strengthening techniques for masonry structures. In Proceedings of the Cinpar 2016—XII International Conference on Structural Repair and Rehabilitation, Porto, Portugal, 26–29 October 2016. [Google Scholar]
- Corinaldesi, V. Mechanical behavior of masonry assemblages manufactured with recycled-aggregate mortars. Cem. Concr. Compos. 2009, 31, 505–510. [Google Scholar] [CrossRef]
- Moriconi, G.; Corinaldesi, V.; Antonucci, R. Environmentally-friendly mortars: a way to improve bond between mortar and brick. Mater. Struct. 2003, 36, 702–708. [Google Scholar] [CrossRef]
- Reddy, V.B.; Gupta, A. Strength and elastic properties of stabilized mud block masonry using cement-soil mortars. J. Mater. Civ. Eng. 2006, 18, 472–476. [Google Scholar] [CrossRef]
- Fódi, A. Effects influencing the compressive strength of a solid, fired clay brick. Periodica Polytechnica Civ. Eng. 2011, 55, 117–128. [Google Scholar] [CrossRef]
- Suciu, O.; Cruciat, R.; Ghindea, C.L. Experimental case studies on clay fired bricks compressive strength. In Key Engineering Materials; Trans Tech Publications: Baech, Switzerland, 2014. [Google Scholar]
- Barr, S.; McCarter, W.J.; Suryanto, B. Bond-strength performance of hydraulic lime and natural cement mortared sandstone masonry. Construct. Build. Mater. 2015, 84, 128–135. [Google Scholar] [CrossRef]
- Tensing, D. Experimental study on axial compressive strength and elastic modulus of the clay and fly ash brick masonry. J. Civ. Eng. Construct. Technol. 2013, 4, 134–141. [Google Scholar]
- Pavía, S.; Hanley, R. Flexural bond strength of natural hydraulic lime mortar and clay brick. Mater. Struct. 2010, 43, 913–922. [Google Scholar] [CrossRef]
- Khalaf, F.M. New test for determination of masonry tensile bond strength. J. Mater. Civ. Eng. 2005, 17, 725–732. [Google Scholar] [CrossRef]
- Hetherington, S. A comparative study into the tensile bond strength of the brick mortar interface of Naturally Hydraulic lime and Portland cement mortars. Masonry Int. 2015, 28, 37–43. [Google Scholar]
- Asteris, G.P.; Plevris, V. Anisotropic masonry failure criterion using artificial neural networks. Neural Comput. Appl. 2017, 28, 2207–2229. [Google Scholar] [CrossRef]
- Asteris, P.; Roussis, P.; Douvika, M. Feed-forward neural network prediction of the mechanical properties of sandcrete materials. Sensors 2017, 17, 1344. [Google Scholar] [CrossRef] [PubMed]
- Asteris, P.G.; Nozhati, S.; Nikoo, M.; Cavaleri, L.; Nikoo, M. Krill herd algorithm-based neural network in structural seismic reliability evaluation. Mech. Adv. Mater. Struct. 2018, 1–8. [Google Scholar] [CrossRef]
- Plevris, V.; Asteris, P.G. Modeling of masonry failure surface under biaxial compressive stress using Neural Networks. Constr. Build. Mater. 2014, 55, 447–461. [Google Scholar] [CrossRef]
- Asteris, P.; Kolovos, K.G.; Douvika, M.G.; Roinos, K. Prediction of self-compacting concrete strength using artificial neural networks. Eur. J. Environ. Civ. Eng. 2016, 20, s102–s122. [Google Scholar] [CrossRef]
- Asteris, P.G.; Tsaris, A.K.; Cavaleri, L.; Repapis, C.C.; Papalou, A.; Di Trapani, F.; Karypidis, D.F. Prediction of the fundamental period of infilled RC frame structures using artificial neural networks. Comput. Intell. Neurosci. 2016, 2016, 20. [Google Scholar] [CrossRef]
- Garzón-Roca, J.; Adam, J.M.; Sandoval, C.; Roca, P. Estimation of the axial behaviour of masonry walls based on artificial neural networks. Comput. Struct. 2013, 125, 145–152. [Google Scholar] [CrossRef]
- Thaickavil, N.N.; Thomas, J. Behaviour and strength assessment of masonry prisms. Case Stud. Construct. Mater. 2018, 8, 23–38. [Google Scholar] [CrossRef]
- Garzón-Roca, J.; Marco, C.O.; Adam, J.M. Compressive strength of masonry made of clay bricks and cement mortar: Estimation based on neural networks and fuzzy logic. Eng. Struct. 2013, 48, 21–27. [Google Scholar] [CrossRef]
- Goetzke-Pala, A.; Hoła, A.; Sadowski, Ł. A non-destructive method of the evaluation of the moisture in saline brick walls using artificial neural networks. Arch. Civ. Mech. Eng. 2018, 18, 1729–1742. [Google Scholar] [CrossRef]
- Orosz, M.; Csanaky, J. Estimating the thermal bridge at wall corners with artificial neural network. Acta Tech. Jaurinensis 2015, 8, 230–239. [Google Scholar] [CrossRef][Green Version]
- Seif ElDin, H.M.; Aly, N.; Galal, K. In-plane shear strength equation for fully grouted reinforced masonry shear walls. Eng. Struct. 2019, 190, 319–332. [Google Scholar] [CrossRef]
- Tijskens, A.; Roels, S.; Janssen, H. Neural networks for meta modelling the hygrothermal behaviour of building components. Build. Environ. 2019, 162, 106282. [Google Scholar] [CrossRef]
- Constructor. Civil Engineering Home. Types of Bonds in Brick Masonry Wall Construction. 2016. Available online: https://theconstructor.org/building/types-bonds-brick-masonry-flemish-english-wall/11616/ (accessed on 18 May 2016).
- BSI. Methods of Test for Masonry Units Part 11: Determination of Water Absorption of Aggregate Concrete, Auto Claved Aerated Concrete, Manufactured Stone and Natural Stone Masonry Units Due to Capillary Action and the Initial Rate of Water Absorption of Clay Masonry Units; BS EN.772-11: 2011; British Standards Institution: London, UK, 2011. [Google Scholar]
- BSI. Methods of Test for Mortar for Masonry–Part 3: Determination of Consistence of Fresh Mortar (by Flow Table); BS EN 1015-3:1999; British Standards Institution: London, UK, 1999. [Google Scholar]
- BSI. Methods of Test for Mortar for Masonry—Part 11: Determination of Flexural and Compressive Strength of Hardened Mortar; BS EN 1015-11:1999; British Standards Institution: London, UK, 1999. [Google Scholar]
- AS. Masonry Structures; Australia Standards: Sydney, Australia, 2001. [Google Scholar]
- ASTM. C 1072-00a, Standard Test Method for Measurement of Masonry Flexural Bond Strength; ASTM International: Pennsylvania, PA, USA, 2000. [Google Scholar]
- BSI. Methods of Test for Masonry—Part 5: Determination of Bond Strength by the Bond Wrench Method; BS EN 1052-5:2005; British Standards Institution: London, UK, 2005. [Google Scholar]
- ASTM. C 1531-03-Standard Test Methods for In Situ Measurement of Masonry Mortar Joint Shear Strength Index; ASTM International: Pennsylvania, PA, USA, 2003. [Google Scholar]
- Rilem, M.B. Determination of shear strength index for masonry unit/mortar junction. Mater. Struct. 1996, 29, 459–475. [Google Scholar]
- Lumantarna, R.; Biggs, D.T.; Ingham, J.M. Compressive, flexural bond, and shear bond strengths of in situ New Zealand unreinforced clay brick masonry constructed using lime mortar between the 1880s and 1940s. J. Mater. Civ. Eng. 2012, 26, 559–566. [Google Scholar] [CrossRef]
- Siddique, R.; Aggarwal, P.; Aggarwal, Y. Prediction of compressive strength of self-compacting concrete containing bottom ash using artificial neural networks. Adv. Eng. Softw. 2011, 42, 780–786. [Google Scholar] [CrossRef]
- Mansoor, J.; Shah, S.; Khan, M.; Sadiq, A.; Anwar, M.; Siddiq, M.; Ahmad, H. Analysis of Mechanical Properties of Self Compacted Concrete by Partial Replacement of Cement with Industrial Wastes under Elevated Temperature. Appl. Sci. 2018, 8, 364. [Google Scholar] [CrossRef]
- Zhou, Q.; Wang, F.; Zhu, F. Estimation of compressive strength of hollow concrete masonry prisms using artificial neural networks and adaptive neuro-fuzzy inference systems. Construct. Build. Mater. 2016, 125, 417–426. [Google Scholar] [CrossRef]















| Property | Standard | Value |
|---|---|---|
| Compressive Strength (MPa) | ASTM C67 | 11.6 |
| Water Absorption (%) | 17.5% | |
| Flexural Strength (MPa) | 1.8 |
| Property | Type of Mortar/Ratio |
|---|---|
| Proportion (cement/sand) by weight | 1:3, 1:4, 1:6, 1:8 |
| Initial flow (mm) | 150, 150, 150, 150 |
| Compressive strength (MPa) | 18, 17.2, 16.6, 16 |
| Mortar Ratio | Load (N) | Contact Area (mm2) | Compressive Strength (MPa) |
|---|---|---|---|
| 1:3 | 10476 | 17,420 | 0.577 |
| 1:4 | 8899.4 | 17,420 | 0.516 |
| 1:6 | 8782 | 17,420 | 0.501 |
| 1:8 | 7568.5 | 17,420 | 0.434 |
| Mortar Ratio | P (N) | L (mm) | L1 (mm) | P1 (N) | Fg (MPa) |
|---|---|---|---|---|---|
| 1:3 | 150.92 | 203 | 63.5 | 0.247 | 0.0685 |
| 1:4 | 116.12 | 203 | 63.5 | 0.247 | 0.0618 |
| 1:6 | 107.8 | 203 | 63.5 | 0.247 | 0.0489 |
| 1:8 | 78.4 | 203 | 63.5 | 0.247 | 0.035 |
| Ratio | Load (N) | Contact Area (mm2) | Bond Shear Strength (MPa) |
|---|---|---|---|
| 1:3 | 11,000 | 52,258 | 0.21 |
| 1:4 | 9000 | 52,258 | 0.17 |
| 1:6 | 7500 | 52,258 | 0.14 |
| 1:8 | 5000 | 52,258 | 0.095 |
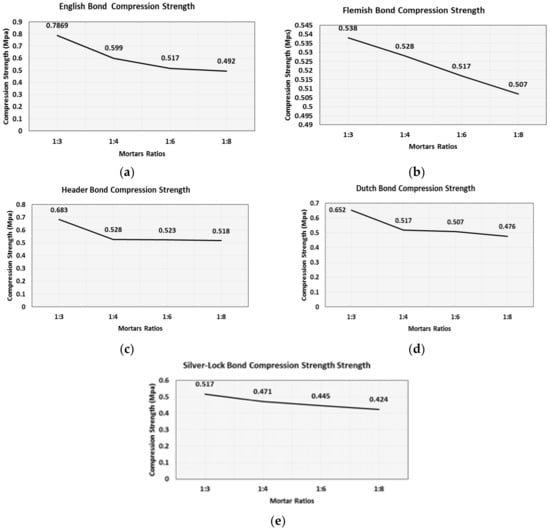
| Brick Bond/Mortar Ratio | Compressive Strength (MPa) | |||
|---|---|---|---|---|
| 1:3 | 1:4 | 1:6 | 1:8 | |
| English bond | 0.786 | 0.599 | 0.517 | 0.492 |
| Flemish bond | 0.538 | 0.528 | 0.517 | 0.507 |
| Header bond | 0.683 | 0.528 | 0.523 | 0.518 |
| Dutch bond | 0.652 | 0.517 | 0.507 | 0.476 |
| Silver-lock bond | 0.517 | 0.471 | 0.445 | 0.424 |
| Brick Bond/Mortar Ratio | Flexural Strength (MPa) | |||
|---|---|---|---|---|
| 1:3 | 1:4 | 1:6 | 1:8 | |
| English bond | 0.352 | 0.082 | 0.078 | 0.0724 |
| Flemish bond | 0.176 | 0.093 | 0.091 | 0.0828 |
| Header bond | 0.155 | 0.0828 | <0.005 | <0.005 |
| Dutch bond | 0.076 | 0.0517 | 0.0419 | 0.0362 |
| Silver-lock bond | 0.031 | 0.0155 | 0.0103 | <0.005 |
| Variable | Description | Mean | SD | Min | Max |
|---|---|---|---|---|---|
| CS | Compressive strength (MPa) | 0.5373 | 0.0932 | 0.415 | 0.7969 |
| FS | Flexural strength (MPa) | 0.0764 | 0.0797 | 0 | 0.3595 |
| RO | Mortar mix ratio (1–1:3, 2–1:4, 3–1:6, 1–1:8) | - | - | 1 | 4 |
| BT | Bond type (1: English; 2: Flemish; 3: header; 4: Dutch; 5: silver) | - | - | 1 | 5 |
| WT | Water (L) | 2.1184 | 0.5487 | 1.152 | 3.231 |
| CT | Cement (Kg) | 4.168 | 1.449 | 1.92 | 7.18 |
| SD | Sand (Kg) | 19.519 | 3.372 | 12.93 | 25.52 |
| W/B | Water/binder ratio | 0.525 | 0.05637 | 0.45 | 0.6 |
| C/S | Cement/sand ratio | 0.2188 | 0.0807 | 0.125 | 0.3333 |
| W/S | Water/sand ratio | 0.11042 | 0.02934 | 0.075 | 0.15 |
| Hidden Layer | Input Layer | ||||||||
|---|---|---|---|---|---|---|---|---|---|
| RO | BT | WT | CT | SD | W/B | C/S | W/S | Intercept | |
| Node.1 | 1.119438 | 0.917696 | 0.847112 | −1.89394 | −13.4908 | 0.931048 | 9.864061 | 49.80315 | −129.322 |
| Node.2 | 0.213831 | −0.26982 | −0.41637 | −0.74098 | 3.62122 | 1.504004 | 21.65496 | −10.2356 | 26.70857 |
| Node.3 | 0.312775 | 0.383161 | 0.162746 | −0.05381 | 0.135491 | 11.99971 | −18.3255 | 60.20646 | −7.13486 |
| Node.4 | −0.00944 | 0.072808 | −1.54386 | −0.84443 | 8.723323 | −10.8965 | 0.897476 | −1.19191 | 77.70851 |
| Node.5 | −0.17237 | −0.37229 | 0.566364 | −1.06437 | 7.197474 | 10.92726 | −9.69878 | 30.96016 | 55.7529 |
| Node.6 | 1.247616 | 0.572948 | 0.72043 | −0.5876 | 2.991934 | −18.2851 | −13.8395 | −7.85648 | 36.09561 |
| Node.7 | −1.24127 | −0.3231 | −1.0167 | −0.1962 | 0.883434 | 0.556477 | −2.52614 | −11.3999 | 13.79037 |
| Node.8 | 0.889906 | −1.0768 | −0.5373 | 0.033132 | −10.2503 | −13.0231 | −3.73304 | 21.12806 | −83.0187 |
| Output Node (C.S.) | −0.23215 | −0.50744 | 0.619237 | 0.127134 | 0.179312 | 0.199791 | 0.086341 | −0.00164 | 0.778489 |
| Measures | Training Value | Validation Value |
|---|---|---|
| Compressive Strength (MPa) | ||
| R2 | 0.7557954 | 0.755093 |
| RMSE | 0.0459783 | 0.0445664 |
| Mean abs dev | 0.0370928 | 0.0393228 |
| Sum frequency | 48 | 12 |
| Flexural Strength (MPa) | ||
| R2 | 0.99054 | 0.9661535 |
| RMSE | 0.0083136 | 0.008139 |
| Mean abs dev | 0.0057855 | 0.0055983 |
| Sum frequency | 48 | 12 |
© 2019 by the authors. Licensee MDPI, Basel, Switzerland. This article is an open access article distributed under the terms and conditions of the Creative Commons Attribution (CC BY) license (http://creativecommons.org/licenses/by/4.0/).
Share and Cite
Shah, S.A.R.; Arshad, H.; Farhan, M.; Raza, S.S.; Khan, M.M.; Imtiaz, S.; Shahzadi, G.; Qurashi, M.A.; Waseem, M. Sustainable Brick Masonry Bond Design and Analysis: An Application of a Decision-Making Technique. Appl. Sci. 2019, 9, 4313. https://doi.org/10.3390/app9204313
Shah SAR, Arshad H, Farhan M, Raza SS, Khan MM, Imtiaz S, Shahzadi G, Qurashi MA, Waseem M. Sustainable Brick Masonry Bond Design and Analysis: An Application of a Decision-Making Technique. Applied Sciences. 2019; 9(20):4313. https://doi.org/10.3390/app9204313
Chicago/Turabian StyleShah, Syyed Adnan Raheel, Hunain Arshad, Muhammad Farhan, Syed Safdar Raza, Mudasser Muneer Khan, Sunera Imtiaz, Gullnaz Shahzadi, Muhammad Ahmed Qurashi, and Muhammad Waseem. 2019. "Sustainable Brick Masonry Bond Design and Analysis: An Application of a Decision-Making Technique" Applied Sciences 9, no. 20: 4313. https://doi.org/10.3390/app9204313
APA StyleShah, S. A. R., Arshad, H., Farhan, M., Raza, S. S., Khan, M. M., Imtiaz, S., Shahzadi, G., Qurashi, M. A., & Waseem, M. (2019). Sustainable Brick Masonry Bond Design and Analysis: An Application of a Decision-Making Technique. Applied Sciences, 9(20), 4313. https://doi.org/10.3390/app9204313
