Bi-Objective Dispatch of Multi-Energy Virtual Power Plant: Deep-Learning-Based Prediction and Particle Swarm Optimization
Abstract
1. Introduction
- (1)
- A bi-objective optimization model of ME-VPP has been established, which takes economic cost (EC), power quality (PQ), environmental friendliness, and various physical constraints into account.
- (2)
- LSTM, a deep learning method, has been applied to wind prediction. Its superiority to the Grey model has been verified in terms of accuracy, robustness, and computational efficiency.
- (3)
- The realistic case of Hongfeng Eco-town in Southwestern China has been numerically studied by applying MOPSO algorithm. The advantages of bi-objective modeling and “foresighted” strategy have been quantitatively demonstrated.
2. Economy-Quality Bi-Objective Optimization Model
2.1. Problem Description
2.2. Objectives
2.2.1. Objective 1: To Save Economic Cost
2.2.2. Objective 2: To Enhance Power Quality
2.3. Constraints
2.3.1. Constraints 1: Power Balance of ME-VPP
2.3.2. Constraints 2: Network Transmission Capacity
2.3.3. Constraints 3: Equipment Output Limits
2.3.4. Constraints 4: Storage Devices Limits
3. Method of Prediction and Optimization
3.1. Long Short-Term Memory (LSTM)
3.1.1. LSTM Introduction
3.1.2. Model Training
3.1.3. Prediction Procedure
3.2. Multi-Objective Particle Swarm Optimization (MOPSO)
3.2.1. MOPSO Introduction
3.2.2. Improved Parts and Scheme
4. Case Study
4.1. Case Description
4.1.1. ME-VPP of Hongfeng Eco-Town in Southwestern China
4.1.2. Simulation Environment
- Hardware:CPU: 8 Intel (R) Core (TM) i7-7700 @ 3.6GHz; GPU: GeForce GTX 1050.
- Operating system:Windows 10 64-bit; Ubuntu 16.04.
- Software tools:MATLAB-2017a; Keras-2.2.2; Tensorflow-1.10.0; Python-2.7.12; Cuda-9.0; Cudnn-7_cuda9.0.
4.2. LSTM-Based Wind Prediction
4.2.1. Training Data and Prediction Results
4.2.2. Comparison with Grey Model Prediction
4.3. MOPSO-Based Problem Solution
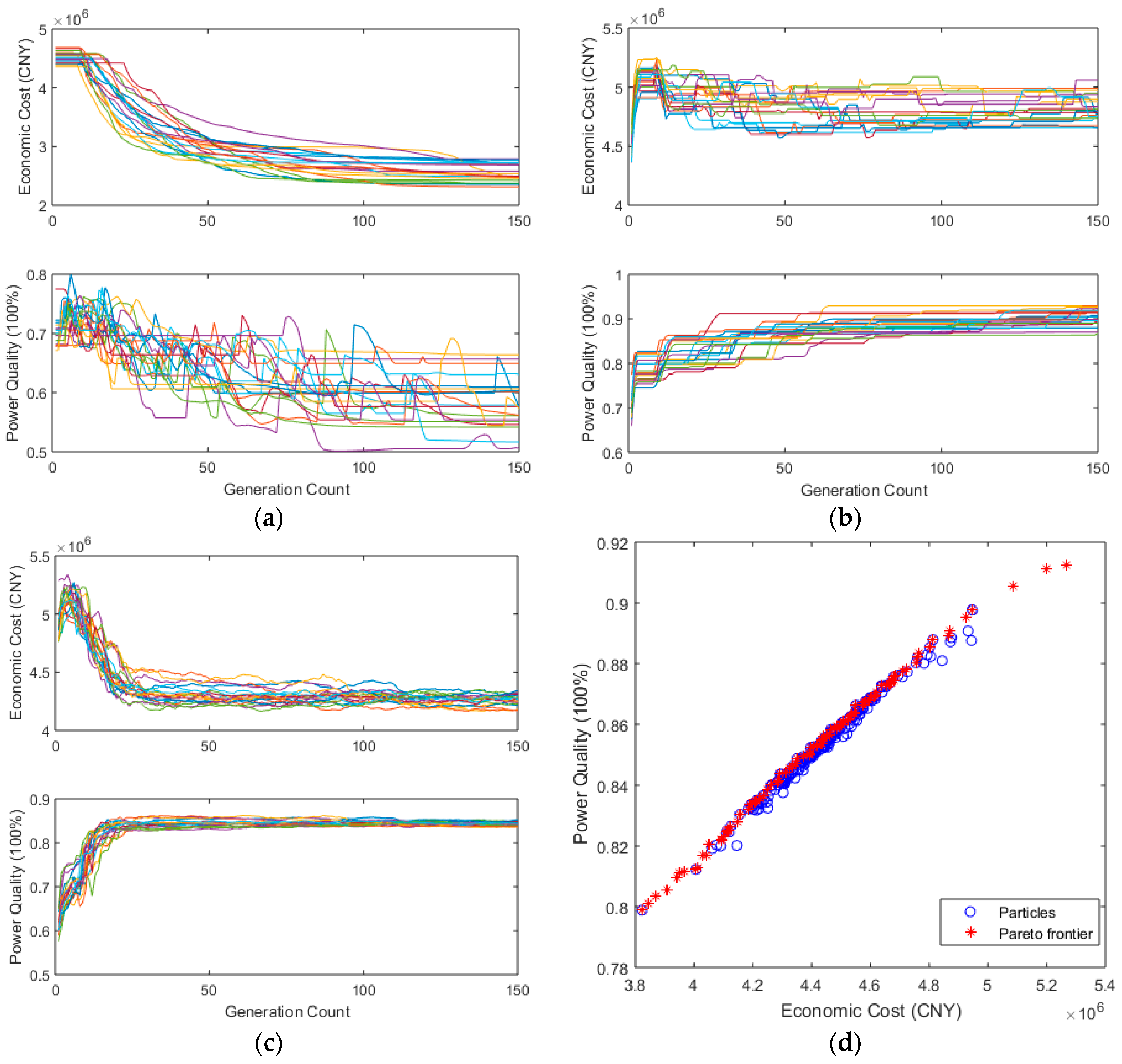
4.3.1. Comparison of Bi- and Mono-Objective Modeling
- Scenario A: “Money-oriented”, a mono-objective model that solely saves EC.
- Scenario B: “User-first”, a mono-objective model that solely enhances PQ.
- Scenario C: “Pareto-optimal”, a bi-objective model that compromises EC and PQ.
4.3.2. Discussion on Receding Horizon of Optimization
- Strategy A: “Improvisational”, which operates ME-VPP on a 1-h receding horizon.
- Strategy B: “Foresighted”, which operates ME-VPP on a 5-h receding horizon.
5. Conclusions
Author Contributions
Funding
Acknowledgments
Conflicts of Interest
References
- Patterson, D.; Whitham, W.W. The Virtual Power Plant, Excerpt from Standard & Poor’s Utilities & Perspectives; McGraw-Hill Companies: New York, NY, USA, 1998. [Google Scholar]
- Flexible Electricity Network to Integrate Expected “Energy Solution” (FENIX). 2012. Available online: http://www.fenix-project.org/ (accessed on 8 December 2018).
- Roossien, B.; Hommelberg, M.; Warmer, C.; Kok, K.; Turkstra, J.W. Virtual power plant field experiment using 10 micro-CHP units at consumer premises. In Proceedings of the CIRED Seminar 2008: SmartGrids for Distribution, Frankfurt, Germany, 23–24 June 2008; pp. 1–4. [Google Scholar] [CrossRef]
- Yang, L.H.; Xu, Z.; Østergaard, J.; Foosnaes, A. Electric Vehicles in Danish Power System with Large Penetration of Wind Power. Autom. Electr. Power Syst. 2011, 35, 43–47. [Google Scholar]
- Wei, Z.N.; Yu, S.; Sun, G.Q.; Sun, Y.H.; Yuan, Y.; Wang, D. Concept and Development of Virtual Power Plant. Autom. Electr. Power Syst. 2013, 37, 1–9. [Google Scholar] [CrossRef]
- China’s First ‘Virtual Power Plant’ is Put into Operation. CNTV, 24 May 2017. Available online: http://news.xinhuanet.com/local/2017-05/24/c_1121027657.htm (accessed on 8 December 2018).
- SGCC’s VPP Standard Approved by IEC. Xinhua News, 27 September 2018. Available online: http://m.silkroad.news.cn/article/66552 (accessed on 8 December 2018).
- Moghaddam, A.A.; Seifi, A.; Niknam, T.; Pahlavani, M.R.A. Multi-objective operation management of a renewable MG (micro-grid) with back-up micro-turbine/fuel cell/battery hybrid power source. Energy 2011, 36, 6490–6507. [Google Scholar] [CrossRef]
- Zhang, J.H.; Nong, J.; Xu, Z.Y.; Zhu, F.Y.; Xu, W.S. A Costs-Emissions Bi-objective Optimization of Virtual Power Plant Operation in Hongfeng Eco-town. In Proceedings of the 37th Chinese Control Conference (CCC), Wuhan, China, 25–27 July 2018; pp. 8752–8757. [Google Scholar] [CrossRef]
- Gong, J.; Xie, D.; Jiang, C.W.; Zhang, Y.C. Multiple Objective Compromised Method for Power Management in Virtual Power Plants. Energies 2011, 4, 700–716. [Google Scholar] [CrossRef]
- Gao, Z.L.; Ai, X.; Zhang, H.Y.; Wang, Y. Access mode of EVs to grid based on VPP. In Proceedings of the 2014 IEEE Conference and Expo Transportation Electrification Asia-Pacific (ITEC Asia-Pacific), Beijing, China, 31 August–3 September 2014; pp. 1–5. [Google Scholar] [CrossRef]
- Hou, J.; Guo, J.L.; Liu, J.Z. An economic load dispatch of wind-thermal power system by using virtual power plants. In Proceedings of the 2016 35th Chinese Control Conference (CCC), Chengdu, China, 27–29 July 2016; pp. 8704–8709. [Google Scholar] [CrossRef]
- Béguin, A.; Nicolet, C.; Kawkabani, B.; Avellan, F. Virtual power plant with pumped storage power plant for renewable energy integration. In Proceedings of the 2014 International Conference on Electrical Machines (ICEM), Berlin, Germany, 2–5 September 2014; pp. 1736–1742. [Google Scholar] [CrossRef]
- Ye, L.; Yi, L. Optimal design of distributed CCHP system. In Proceedings of the 2011 International Conference on Transportation, Mechanical, and Electrical Engineering (TMEE), Changchun, China, 16–18 December 2011; pp. 1961–1965. [Google Scholar] [CrossRef]
- Kanet, W.; Naebboon, H. Optimal Scheduling of Hybrid CCHP and PV Operation for Shopping Complex Load. In Proceedings of the 2013 10th International Conference on Electrical Engineering/Electronics, Computer, Telecommunications and Information Technology, Krabi, Thailand, 15–17 May 2013; pp. 1–6. [Google Scholar] [CrossRef]
- Zhao, D.M.; Zhu, Y.C.; Zhang, X. Research on Wind Power Forecasting in Wind Farms. In Proceedings of the 2011 IEEE Power Engineering and Automation Conference, Wuhan, China, 8–9 September 2011; pp. 175–178. [Google Scholar] [CrossRef]
- Zhang, Y.; Sun, H.X.; Guo, Y.J.; Lu, Z.P. Improved grey model with rolling method for wind power prediction. In Proceedings of the 2016 35th Chinese Control Conference (CCC), Chengdu, China, 27–29 July 2016; pp. 9784–9786. [Google Scholar] [CrossRef]
- Peng, X.S.; Deng, D.Y.; Wen, J.Y.; Xiong, L.; Feng, S.L.; Wang, B. A Very Short Term Wind Power Forecasting Approach based on Numerical Weather Prediction and Error Correction Method. In Proceedings of the 2016 China International Conference on Electricity Distribution (CICED), Xi’an, China, 10–13 August 2016; pp. 1–4. [Google Scholar] [CrossRef]
- Singh, A.; Gurtej, K.; Jain, G.; Nayyar, F.; Tripathi, M.M. Short Term Wind Speed and Power Forecasting in Indian and UK Wind Power Farms. In Proceedings of the 2016 IEEE 7th Power India International Conference (PIICON), Bikaner, India, 25–27 November 2016; pp. 1–5. [Google Scholar] [CrossRef]
- Bai, B.; Li, Y.H.; Si, S.; Liu, J.N. Recut-in Control of Wind Turbine Based on LSTM Wind Speed Interval Prediction. J. Electr. Power 2018, 33, 183–189. [Google Scholar] [CrossRef]
- Chen, J.; Yang, X.; Zhu, L.; Zhang, M.X.; Li, Z.K. Microgrid Multi-objective Economic Dispatch Optimization. Proc. CSEE 2013, 33, 57–66. [Google Scholar] [CrossRef]
- Niu, D.P.; Wang, F.L.; He, D.K.; Jia, M.X. Chaotic differential evolution for multi-objective optimization. Control Decis. 2009, 24, 361–370. [Google Scholar] [CrossRef]
- Soares, J.; Borges, N.; Lobo, C.; Vale, Z. VPP Energy Resources Management considering Emissions: The case of northern Portugal 2020 to 2050. In Proceedings of the 2015 IEEE Symposium Series on Computational Intelligence, Cape Town, South Africa, 7–10 December 2015; pp. 1259–1266. [Google Scholar] [CrossRef]
- Huang, M. Research of Multi-Objective Optimal Operation for a Micro-Grid Based on Improved Particle Swarm Optimization. Master’s Thesis, Chongqing University, Chongqing, China, 2014. [Google Scholar]
- Cheng, L.; Liu, C.; Huang, R.; Li, H.T. An Optimal Operating Strategy for CCHP in Multienergy Carrier System. In Proceedings of the 2016 IEEE Power and Energy Society General Meeting (PESGM), Boston, MA, USA, 17–21 July 2016; pp. 1–5. [Google Scholar] [CrossRef]
- Hochreiter, S.; Schmidhuber, J. Long short-term memory. Neural Comput. 1997, 9, 1735–1780. [Google Scholar] [CrossRef]
- Kim, B.D.; Kang, C.M.; Kim, J.; Lee, S.H.; Chung, C.C.; Choi, J.W. Probabilistic Vehicle Trajectory Prediction over Occupancy Grid Map via Recurrent Neural Network. In Proceedings of the 2017 IEEE 20th International Conference on Intelligent Transportation Systems (ITSC), Yokohama, Japan, 16–19 October 2017; pp. 399–404. [Google Scholar] [CrossRef]
- Kennedy, J.; Eberhart, R. Particle swarm optimization. In Proceedings of the ICNN’95—International Conference on Neuural Network, Perth, WA, Australia, 27 November–1 December 1995; pp. 1942–1948. [Google Scholar] [CrossRef]
- Wang, X.; Zhao, X.L.; Fu, L.; Bo, C.J. Research on Configuration and Operation of the CCHP System Applicable to Active Distribution Network. In Proceedings of the 2016 IEEE International Conference on Power System Technology (POWERCON), Wollongong, NSW, Australia, 28 September–1 October 2016; pp. 1–6. [Google Scholar] [CrossRef]
- Electric Power Systems Analysis & Nature-inspired Optimization Algorithms. 19 March 2015. Available online: https://al-roomi.org/power-flow/118-bus-system (accessed on 8 December 2018).














| Bus | Facilities | Power Source | Power Load | |
|---|---|---|---|---|
| Lower Limit (MW) | Upper Limit (MW) | Nominal (MW) | ||
| 1 | Main grid | −10 | 10 | - | 
| 2 | EV charging station & load | −0.43 | 0.43 | 1.12 | 
| 3 | load | - | - | 0.52 | 
| 4 | PV array & load | 0 | 0.61 | 1.41 | 
| 5 | load | - | - | 0.37 | 
| 6 | load | - | - | 4.35 | 
| 7 | CCHP | 0 | 2.86 | - | 
| 8 | Hydropower unit | 0 | 10 | - | 
| 9 | Battery block & load | −0.43 | 0.43 | 1.02 | 
| 10 | PV array& load | 0 | 0.61 | 1.96 | 
| 11 | Load | - | - | 1.91 | 
| 12 | Load | - | - | 2.65 | 
| 13 | PV array | 0 | 0.61 | - | 
| 14 | Battery block | −0.43 | 0.43 | - | 
| 15 | Wind turbine & load | 0 | 0.69 | 4.22 | 
| 16 | Load | - | - | 1.55 | 
| 17 | Load | - | - | 3.97 | 
| 18 | Wind turbine | 0 | 0.69 | - | 
| 19 | Wind turbine & load | 0 | 0.69 | 0.25 | 
| Pollutant Emissions | Coefficient of Emission kg/MW·h) | Governance Tariff (CNY/kg) | ||
|---|---|---|---|---|
| CCHP | Storage Devices | Main Grid | ||
| 408.6 | 25.8 | 778.5 | 0.210 | |
| 0.056 | 0.0003 | 0.397 | 14.843 | |
| 0.1500 | 0.0075 | 0.3410 | 62.964 | |
| - | Governance Tariff (CNY/kW·h) | - | ||
| 96.08 | 5.89 | 190.85 | - | |
| Scenario | Description | Optimization Objective | EC (106 CNY) | PQ (Score in 100) | 
|---|---|---|---|---|
| A | Money-oriented | Economic cost (EC) | 2.55 | 58.30 | 
| B | User-first | Power quality (PQ) | 4.82 | 90.38 | 
| C | Pareto-optimal | EC and PQ | 4.26 | 84.36 | 
| Time | “Improvisational” | “Foresighted” | Improvement of “Foresighted” | ||||
|---|---|---|---|---|---|---|---|
| EC (103 CNY) | PQ (Score in 100) | EC (103 CNY) | PQ (Score in 100) | Saved EC (103 CNY) | Enhanced PQ (Score in 100) | Pareto Dominance | |
| 1 | 268.63 | 78.30 | 257.53 | 82.38 | 11.10 | 4.08 | Yes | 
| 2 | 223.31 | 60.53 | 216.35 | 78.16 | 6.96 | 17.63 | Yes | 
| 3 | 225.25 | 89.96 | 237.96 | 91.23 | −12.71 | 1.27 | -- | 
| 4 | 247.93 | 78.20 | 245.68 | 93.65 | 2.24 | 15.46 | Yes | 
| 5 | 205.90 | 68.73 | 203.23 | 86.87 | 2.67 | 18.14 | Yes | 
| 6 | 219.07 | 66.29 | 218.30 | 77.37 | 0.78 | 11.08 | Yes | 
| 7 | 181.42 | 72.49 | 176.20 | 89.20 | 5.22 | 16.71 | Yes | 
| 8 | 240.80 | 73.49 | 217.44 | 84.80 | 23.35 | 11.31 | Yes | 
| 9 | 318.97 | 62.33 | 348.50 | 61.50 | −29.52 | −0.83 | No | 
| 10 | 263.16 | 73.22 | 281.84 | 77.10 | −18.68 | 3.88 | -- | 
| 11 | 210.04 | 73.83 | 190.22 | 92.90 | 19.82 | 19.07 | Yes | 
| 12 | 261.44 | 72.11 | 265.77 | 92.86 | −4.33 | 20.76 | -- | 
| 13 | 240.77 | 65.14 | 226.19 | 87.93 | 14.58 | 22.79 | Yes | 
| 14 | 240.53 | 86.33 | 249.50 | 88.21 | −8.97 | 1.88 | -- | 
| 15 | 233.62 | 67.91 | 223.65 | 68.76 | 9.98 | 0.86 | Yes | 
| 16 | 327.05 | 71.12 | 348.67 | 77.43 | −21.62 | 6.31 | -- | 
| 17 | 351.05 | 69.08 | 367.12 | 87.96 | −16.07 | 18.88 | -- | 
| 18 | 254.36 | 58.24 | 275.00 | 60.44 | −20.64 | 2.19 | -- | 
| 19 | 312.58 | 57.78 | 342.19 | 61.87 | −29.62 | 4.08 | -- | 
| 20 | 307.64 | 68.44 | 334.02 | 77.42 | −26.37 | 8.97 | -- | 
| 21 | 246.52 | 70.49 | 286.10 | 57.02 | −39.58 | −13.47 | No | 
| 22 | 265.93 | 77.17 | 277.21 | 86.55 | −11.29 | 9.37 | -- | 
| 23 | 264.82 | 71.48 | 273.59 | 59.35 | −8.77 | −12.13 | No | 
| 24 | 269.26 | 69.17 | 223.93 | 72.71 | 45.34 | 3.54 | -- | 
| Mean | - | 70.91 | - | 78.90 | - | 7.99 | - | 
| Sum | 6180.05 | - | 6286.19 | - | −106.14 | - | |
© 2019 by the authors. Licensee MDPI, Basel, Switzerland. This article is an open access article distributed under the terms and conditions of the Creative Commons Attribution (CC BY) license (http://creativecommons.org/licenses/by/4.0/).
Share and Cite
Zhang, J.; Xu, Z.; Xu, W.; Zhu, F.; Lyu, X.; Fu, M. Bi-Objective Dispatch of Multi-Energy Virtual Power Plant: Deep-Learning-Based Prediction and Particle Swarm Optimization. Appl. Sci. 2019, 9, 292. https://doi.org/10.3390/app9020292
Zhang J, Xu Z, Xu W, Zhu F, Lyu X, Fu M. Bi-Objective Dispatch of Multi-Energy Virtual Power Plant: Deep-Learning-Based Prediction and Particle Swarm Optimization. Applied Sciences. 2019; 9(2):292. https://doi.org/10.3390/app9020292
Chicago/Turabian StyleZhang, Jiahui, Zhiyu Xu, Weisheng Xu, Feiyu Zhu, Xiaoyu Lyu, and Min Fu. 2019. "Bi-Objective Dispatch of Multi-Energy Virtual Power Plant: Deep-Learning-Based Prediction and Particle Swarm Optimization" Applied Sciences 9, no. 2: 292. https://doi.org/10.3390/app9020292
APA StyleZhang, J., Xu, Z., Xu, W., Zhu, F., Lyu, X., & Fu, M. (2019). Bi-Objective Dispatch of Multi-Energy Virtual Power Plant: Deep-Learning-Based Prediction and Particle Swarm Optimization. Applied Sciences, 9(2), 292. https://doi.org/10.3390/app9020292
 
        

 
       