Optimization of a Centrifugal Compressor Using the Design of Experiment Technique
Abstract
:1. Introduction
2. Bézier Curve
3. Design of Experiment
3.1. Design Space
3.2. Box-Behnken Technique
3.3. Response Surface Model
3.4. Creating the Design Space
3.4.1. Stage I
3.4.2. Stage II
3.4.3. Stage III
3.4.4. Stage IV
4. Geometry
5. Modeling
6. Results and Discussions
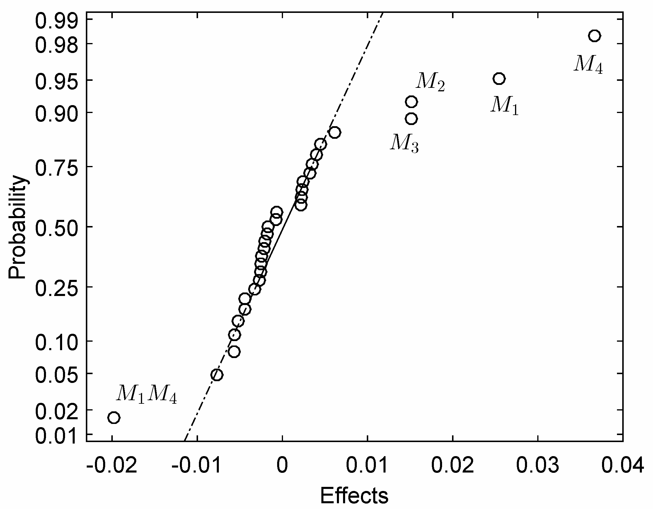
6.1. Effective Parameter Identification
6.2. Response Surface for Finding the Optimal Geometry
- The wider ranges are considered for the parameters in the hub section
- The hub section variation has more effect on whole impeller geometry in comparison to the changes in the shroud section
- The shroud characteristics are dependent on hub geometry hence the most effective parameters in hub also have effects on the shroud
7. Conclusions
Author Contributions
Funding
Conflicts of Interest
Nomenclature
| B | Bernsein polynomial |
| Angle distribution parameters | |
| c | Control points |
| Constant coefficient | |
| d | Differential |
| E | Effect of parameter(s) |
| f | Objective function |
| H | Hub |
| Inlet geometry parameters | |
| L | Sum of the squares of the errors |
| Mass flow rate | |
| Meridional geometry parameters | |
| n | Polynomial degree |
| p | Parametric curve equation |
| Total pressure | |
| Pressure ratio | |
| r | Radial coordinate |
| s | Meridional coordinate |
| S | Shroud |
| t | Control parameter |
| Total temperature | |
| Factors | |
| Response surface equation | |
| Average response of x | |
| Parameters, Factors | |
| Parameter levels | |
| Greek Letters | |
| Blade angle | |
| Response coefficient | |
| Specific heat | |
| Approximation error | |
| Total to total isentropic efficiency | |
| Azimuthal coordinate of blade curves | |
| Density | |
| Subscript | |
| 0 | Compressor inlet |
| 1 | Impeller inlet |
| 2 | Impeller outlet |
| 3 | Diffuser outlet |
| Minimum | |
| Maximum | |
| Superscript | |
| i | Initial value |
References
- Aungier, R.H. Centrifugal Compressors: A Strategy for Aerodynamic Design and Analysis; American Society of Mechanical Engineers: New York, NY, USA, 2000. [Google Scholar]
- Casey, M. A computational geometry for the blades and internal flow channels of centrifugal compressors. In Proceedings of the ASME 1982 International Gas Turbine Conference and Exhibit, London, UK, 18–22 April 1982; p. V001T01A062. [Google Scholar] [CrossRef]
- Mojaddam, M.; Hajilouy-Benisi, A.; Moussavi-Torshizi, S.A.; Movahhedy, M.R.; Durali, M. Experimental and numerical investigations of radial flow compressor component losses. J. Mech. Sci. Technol. 2014, 28, 2189–2196. [Google Scholar] [CrossRef]
- Mirzaee, S.; Zheng, X.; Lin, Y. Improvement in the stability of a turbocharger centrifugal compressor by tip leakage control. Proc. Inst. Mech. Eng. Part D J. Automob. Eng. 2017, 231, 700–714. [Google Scholar] [CrossRef]
- Montgomery, D.C. Design and Analysis of Experiments; John Wiley & Sons: Hoboken, NJ, USA, 2017. [Google Scholar] [CrossRef]
- Wahba, W.; Tourlidakis, A. A genetic algorithm applied to the design of blade profiles for centrifugal pump impellers. In Proceedings of the 15th AIAA Computational Fluid Dynamics Conference, Anaheim, CA, USA, 11–14 June 2001; Volume 11, p. 14. [Google Scholar] [CrossRef]
- Kim, J.H.; Choi, J.H.; Husain, A.; Kim, K.Y. Design Optimization of a Centrifugal Compressor Impeller by Multi-Objective Genetic Algorithm. In Proceedings of the ASME 2009 Fluids Engineering Division Summer Meeting, Vail, CO, USA, 2–6 August 2009; pp. 2–6. [Google Scholar] [CrossRef]
- Mojaddam, M.; Torshizi, S.A.M. Design and optimization of meridional profiles for the impeller of centrifugal compressors. J. Mech. Sci. Technol. 2017, 31, 4853–4861. [Google Scholar] [CrossRef]
- He, X.; Zheng, X. Mechanisms of Sweep on the Performance of Transonic Centrifugal Compressor Impellers. Appl. Sci. 2017, 7, 1081. [Google Scholar] [CrossRef]
- Torshizi, S.A.M.; Benisi, A.H.; Durali, M. Numerical Optimization and Manufacturing of the Impeller of a Centrifugal Compressor by Variation of Splitter Blades. In Proceedings of the ASME Turbo Expo 2016: Turbomachinery Technical Conference and Exposition, Seoul, Korea, 13–17 June 2016; pp. V008T23A023–V008T23A029. [Google Scholar] [CrossRef]
- Shaaban, S. Design optimization of a centrifugal compressor vaneless diffuser. Int. J. Refrigeration 2015, 60, 142–154. [Google Scholar] [CrossRef]
- Ju, Y.; Zhang, C. Design Optimization and Experimental Study of Tandem Impeller for Centrifugal Compressor. J. Propuls. Power 2014, 30, 1490–1501. [Google Scholar] [CrossRef]
- Barsi, D.; Costa, C.; Cravero, C.; Ricci, G. Aerodynamic design of a centrifugal compressor stage using an automatic optimization strategy. In Proceedings of the ASME Turbo Expo 2014: Turbine Technical Conference and Exposition, Düsseldorf, Germany, 16–20 June 2014; p. V02BT45A017. [Google Scholar] [CrossRef]
- Kim, J.H.; Choi, J.H.; Kim, K.Y. Surrogate modeling for optimization of a centrifugal compressor impeller. Int. J. Fluid Mach. Syst. 2010, 3, 29–38. [Google Scholar] [CrossRef]
- Siemann, J.; Seume, J.R. Design of an Aspirated Compressor Stator by Means of DOE. In Proceedings of the ASME Turbo Expo 2015: Turbine Technical Conference and Exposition, Montreal, QC, Canada, 15–19 June 2015. [Google Scholar] [CrossRef]
- Bonaiuti, D.; Arnone, A.; Ermini, M.; Baldassarre, L. Analysis and optimization of transonic centrifugal compressor impellers using the design of experiments technique. In Proceedings of the ASME Turbo Expo 2002: Power for Land, Sea, and Air, Amsterdam, The Netherlands, 3–6 June 2002; pp. 1089–1098. [Google Scholar] [CrossRef]
- Guo, S.; Duan, F.; Tang, H.; Lim, S.C.; Yip, M.S. Multi-objective optimization for centrifugal compressor of mini turbojet engine. Aerosp. Sci. Technol. 2014, 39, 414–425. [Google Scholar] [CrossRef]
- Tang, X.; Luo, J.; Liu, F. Aerodynamic shape optimization of a transonic fan by an adjoint-response surface method. Aerosp. Sci. Technol. 2017, 68, 26–36. [Google Scholar] [CrossRef]
- Wang, X.; Xi, G.; Wang, Z. Aerodynamic optimization design of centrifugal compressor’s impeller with Kriging model. Proc. Inst. Mech. Eng. Part A J. Power Energy 2006, 220, 589–597. [Google Scholar] [CrossRef]
- Mason, R.L.; Gunst, R.F.; Hess, J.L. Statistical Design and Analysis of Experiments: With Applications to Engineering and Science; John Wiley & Sons: Hoboken, NJ, USA, 2003; Volume 474. [Google Scholar]
- Montgomery, D.C.; Runger, G.C. Applied Statistics and Probability for Engineers; John Wiley & Sons: Hoboken, NJ, USA, 2010. [Google Scholar] [CrossRef]
- Came, P.; Robinson, C. Centrifugal compressor design. Proc. Inst. Mech. Eng. Part C J. Mech. Eng. Sci. 1998, 213, 139–155. [Google Scholar] [CrossRef]
- Mojaddam, M.; Hajilouy Benisi, A.; Movahhedy, M.R. Optimal design of the volute for a turbocharger radial flow compressor. Proc. Inst. Mech. Eng. Part G J. Aerosp. Eng. 2015, 229, 993–1002. [Google Scholar] [CrossRef]
- Mojaddam, M.; Hajilouy-Benisi, A.; Movahhedy, M.R. Experimental and numerical investigation of radial flow compressor volute shape effects in characteristics and circumferential pressure non-uniformity. Sci. Iran. Trans. B Mech. Eng. 2013, 20, 1753–1764. [Google Scholar]
- Mojaddam, M.; Hajilouy-Benisi, A. Experimental and numerical flow field investigation through two types of radial flow compressor volutes. Exp. Therm. Fluid Sci. 2016, 78, 137–146. [Google Scholar] [CrossRef]
- Asgarshamsi, A.; Benisi, A.H.; Assempour, A.; Pourfarzaneh, H. Multi-objective optimization of lean and sweep angles for stator and rotor blades of an axial turbine. Proc. Inst. Mech. Eng. Part G J. Aerosp. Eng. 2015, 229, 906–916. [Google Scholar] [CrossRef]
- Sundström, E.; Semlitsch, B.; Mihăescu, M. Generation Mechanisms of Rotating Stall and Surge in Centrifugal Compressors. Flow Turbul. Combust. 2018, 100, 705–719. [Google Scholar] [CrossRef] [PubMed]




















| Stage | Concept | Number of Factors | Parameters |
|---|---|---|---|
| I | Meridional Plane Geometry | 5 | |
| II | Blade Angle Distribution | 4 | |
| III | Blade Inlet Geometry and Splitter | 4 |
| Characteristics | Values |
|---|---|
| Inlet Hub Radius(mm) | 11 |
| Inlet Shroud Radius(mm) | 28 |
| Impeller Axial Length(mm) | 27.1 |
| Discharge Radius(mm) | 41 |
| Discharge Width(mm) | 5.7 |
| Tip Clearance (mm) | 0.4 |
| Number of Blades | 6 |
| Number of Splitters | 6 |
| Diffuser Discharge Radius(mm) | 72.25 |
| Diffuser Outlet Width(mm) | 4.27 |
| Function | Reference | Optimum | A | B | C | D | E | F |
|---|---|---|---|---|---|---|---|---|
| 2.245 | 2.336 | 0.091 | −1.000 | 0.313 | −1.000 | 1.000 | 1.000 | |
| 85.15% | 85.54% | 1.000 | 1.000 | −1.000 | 1.000 | −0.616 | 0.838 | |
| 1.00 | 0.972 | −0.535 | 1.000 | 1.000 | −1.000 | 0.939 | 1.000 |
© 2019 by the authors. Licensee MDPI, Basel, Switzerland. This article is an open access article distributed under the terms and conditions of the Creative Commons Attribution (CC BY) license (http://creativecommons.org/licenses/by/4.0/).
Share and Cite
Mojaddam, M.; Pullen, K.R. Optimization of a Centrifugal Compressor Using the Design of Experiment Technique. Appl. Sci. 2019, 9, 291. https://doi.org/10.3390/app9020291
Mojaddam M, Pullen KR. Optimization of a Centrifugal Compressor Using the Design of Experiment Technique. Applied Sciences. 2019; 9(2):291. https://doi.org/10.3390/app9020291
Chicago/Turabian StyleMojaddam, Mohammad, and Keith R. Pullen. 2019. "Optimization of a Centrifugal Compressor Using the Design of Experiment Technique" Applied Sciences 9, no. 2: 291. https://doi.org/10.3390/app9020291
APA StyleMojaddam, M., & Pullen, K. R. (2019). Optimization of a Centrifugal Compressor Using the Design of Experiment Technique. Applied Sciences, 9(2), 291. https://doi.org/10.3390/app9020291

