Advanced DSP for Coherent Optical Fiber Communication
Abstract
1. Introduction
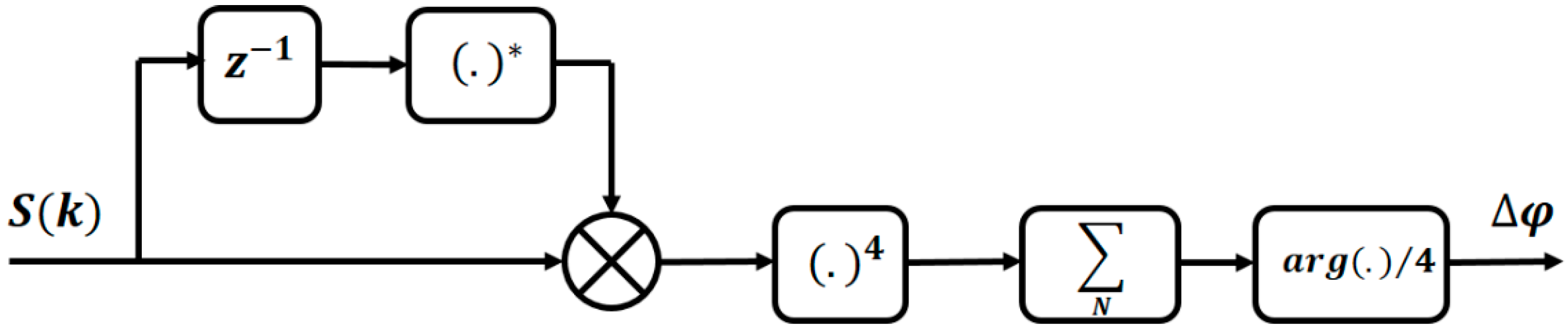
2. Principle of Coherent Detection and Linear Impairments Equalization
3. Nonlinearity Compensation
4. SDM and Frequency Domain Equalization (FDE)
5. AI for Optical Fiber Communication
6. Conclusions
Author Contributions
Funding
Acknowledgments
Conflicts of Interest
References
- Li, G. Recent advances in coherent optical communication. Adv. Opt. Photonics 2009, 1, 279–307. [Google Scholar] [CrossRef]
- Taylor, M. Coherent detection method using DSP for demodulation of signal and subsequent equalization of propagation impairments. IEEE Photonics Technol. Lett. 2004, 16, 674–676. [Google Scholar] [CrossRef]
- Kikuchi, K. Phase-diversity homodyne detection of multilevel optical modulation with digital carrier phase estimation. IEEE J. Sel. Top. Quantum Electron. 2006, 12, 563–570. [Google Scholar] [CrossRef]
- Savory, S. Digital filters for coherent optical receivers. Opt. Express 2008, 16, 804–817. [Google Scholar] [CrossRef] [PubMed]
- Ip, E.; Lau, A.; Barros, D.; Kahn, J. Coherent detection in optical fiber systems. Opt. Express 2008, 16, 753–791. [Google Scholar] [CrossRef]
- Savory, S. Digital coherent optical receivers: Algorithms and subsystems. IEEE J. Sel. Top. Quantum Electron. 2010, 16, 1164–1179. [Google Scholar] [CrossRef]
- Ip, E.; Kahn, J. Fiber impairment compensation using coherent detection and digital signal processing. J. Lightwave Technol. 2010, 28, 502–519. [Google Scholar] [CrossRef]
- Yu, J.; Zhou, X. Ultra-high-capacity DWDM transmission system for 100G and beyond. IEEE Commun. Mag. 2010, 56–64. [Google Scholar] [CrossRef]
- Noe, R.; Pfau, T.; El-Darawy, M.; Hoffmann, S. Electronic polarization control algorithms for coherent optical transmission. IEEE J. Sel. Top. Quantum Electron. 2010, 16, 1193–1200. [Google Scholar] [CrossRef]
- Zhou, X.; Nelson, L. 400G WDM transmission on the 50 GHz grid for future optical networks. J. Lightwave Technol. 2012, 30, 3779–3792. [Google Scholar] [CrossRef]
- Han, Y.; Li, G. Coherent optical communication using polarization multiple input multiple output. Opt. Express 2005, 13, 7527–7534. [Google Scholar] [CrossRef] [PubMed]
- Haykin, S. Adaptive Filter Theory, 5th ed.; Pearson Education: Hamilton, ON, Canada, 2005. [Google Scholar]
- Fan, Y.; Chen, X.; Zhou, W.; Zhou, X.; Zhu, H. The comparison of CMA and LMS equalization algorithms in optical coherent receivers. In Proceedings of the International Conference on Wireless Communications Networking and Mobile Computing (WiCOM), Chengdu, China, 23–25 September 2010. [Google Scholar]
- Fatadin, I.; Ives, D.; Savory, S. Blind equalization and carrier phase recovery in a 16-QAM optical coherent system. J. Lightwave Technol. 2009, 27, 3042–3049. [Google Scholar] [CrossRef]
- Cao, Y.; Yu, S.; Shen, J.; Gu, W.; Ji, Y. Frequency estimation for optical coherent MPSK system without removing modulated data phase. IEEE Photonics Technol. Lett. 2010, 22, 691–693. [Google Scholar] [CrossRef]
- Pfau, T.; Hoffmann, S.; Noe, R. Hardware-efficient coherent digital receiver concept with feedforward carrier recovery for M-QAM constellations. J. Lightwave Technol. 2009, 27, 989–999. [Google Scholar] [CrossRef]
- Zhang, S.; Kam, P.; Chen, J.; Yu, C. Decision-aided maximum likelihood detection in coherent optical phase-shift-keying system. Opt. Express 2009, 17, 703–715. [Google Scholar] [CrossRef] [PubMed]
- Fatadin, I.; Ives, D.; Savory, S. Laser linewidth tolerance for 16-QAM coherent optical systems using QPSK partitioning. IEEE Photonics Technol. Lett. 2010, 22, 631–633. [Google Scholar] [CrossRef]
- Zhou, X. An improved feed-forward carrier recovery algorithm for coherent receivers with M-QAM modulation format. IEEE Photonics Technol. Lett. 2010, 22, 1051–1053. [Google Scholar] [CrossRef]
- Taylor, M. Phase estimation methods for optical coherent detection using digital signal processing. J. Lightwwave Technol. 2009, 27, 901–914. [Google Scholar] [CrossRef]
- Leven, A.; Kaneda, N.; Koc, U.; Chen, Y. Frequency estimation in intradyne reception. IEEE Photonics Technol. Lett. 2007, 19, 366–368. [Google Scholar] [CrossRef]
- Viterbi, A.; Viterbi, A. Nonlinear estimation of PSK-modulated carrier phase with application to burst digital transmission. IEEE Trans. Inf. Theory 1983, 29, 543–551. [Google Scholar] [CrossRef]
- Savory, S.; Gavioli, G.; Killey, R.; Bayvel, P. Electronic compensation of chromatic dispersion using a digital coherent receiver. Opt. Express 2007, 15, 2120–2126. [Google Scholar] [CrossRef] [PubMed]
- Winzer, P.; Gnauck, A.; Raybon, G.; Schnecker, M.; Pupalaikis, P. 56-Gbaud PDM-QPSK: Coherent detection and 2500-km transmission. In Proceedings of the European Conference and Exhibition on Optical Communication (ECOC), Vienna, Austria, 20–24 September 2009. [Google Scholar]
- Gnauck, A.; Winzer, P.; Chandrasekhar, S.; Liu, X.; Zhu, B.; Peckham, D. 10 × 224-Gb/s WDM transmission of 28-Gbaud PDM 16-QAM on a 50-GHz grid over 1200 km of fiber. In Proceedings of the Optical Fiber Communications Conference (OFC), San Diego, CA, USA, 21–25 March 2010. [Google Scholar]
- Mateo, E.; Zhu, L.; Li, G. Impact of XPM and FWM on the digital implementation of impairment compensation for WDM transmission using backward propagation. Opt. Express 2008, 16, 16124–16137. [Google Scholar] [CrossRef] [PubMed]
- Mateo, E.; Li, G. Compensation of interchannel nonlinearities using enhanced coupled equations for digital backward propagation. Appl. Opt. 2009, 48, F6–F10. [Google Scholar] [CrossRef] [PubMed]
- Mateo, E.; Yaman, F.; Li, G. Efficient compensation of inter-channel nonlinear effects via digital backward propagation in WDM optical transmission. Opt. Express 2010, 18, 15144–15154. [Google Scholar] [CrossRef]
- Zhu, L.; Li, G. Nonlinearity compensation using dispersion folded digital back propagation. Opt. Express 2012, 20, 14362–14370. [Google Scholar] [CrossRef] [PubMed]
- Yaman, F.; Li, G. Nonlinear impairment compensation for polarization-division multiplexed WDM transmission using digital backward propagation. IEEE Photonics J. 2010, 2, 816–832. [Google Scholar] [CrossRef]
- Mateo, E.; Zhou, X.; Li, G. Improved digital backward propagation for the compensation of inter-channel nonlinear effects in polarization-multiplexed WDM systems. Opt. Express 2011, 19, 570–583. [Google Scholar] [CrossRef]
- Makovejs, S.; Millar, D.; Lavery, D.; Behrens, C.; Killey, R.; Savory, S.; Bayvel, P. Characterization of long-haul 112Gbit/s PDM-QAM-16 transmission with and without digital nonlinearity compensation. Opt. Express 2010, 18, 12939–12947. [Google Scholar] [CrossRef]
- Savory, S.; Gavioli, G.; Torrengo, E.; Poggiolini, P. Impact of interchannel nonlinearities on a split-step intrachannel nonlinear equalizer. IEEE Photonics Technol. Lett. 2010, 22, 673–675. [Google Scholar] [CrossRef]
- Millar, D.; Makovejs, S.; Behrens, C.; Hellerbrand, S.; Killey, R.; Bayvel, P.; Savory, S. Mitigation of fiber nonlinearity using a digital coherent receiver. IEEE J. Sel. Top. Quantum Electron. 2010, 16, 1217–1226. [Google Scholar] [CrossRef]
- Behrens, C.; Makovejs, S.; Killey, R.; Savory, S.; Chen, M.; Bayvel, P. Pulse-shaping versus digital backpropagation in 224Gbit/s PDM-16QAM transmission. Opt. Express 2011, 19, 12879–12884. [Google Scholar] [CrossRef] [PubMed]
- Rafique, D.; Mussolin, M.; Forzati, M.; Martensson, J.; Chugtai, M.; Ellis, A. Compensation of intra-channel nonlinear fiber impairments using simplified digital back-propagation algorithm. Opt. Express 2011, 19, 9453–9460. [Google Scholar] [CrossRef] [PubMed]
- Li, L.; Tao, Z.; Dou, L.; Yan, W.; Oda, S.; Tanimura, T.; Hoshida, T.; Rasmussen, J. Implementation efficient non-linear equalizer based on correlated digital back-propagation. In Proceedings of the Optical Fiber Communications Conference (OFC), Los Angeles, CA, USA, 6–10 March 2011. [Google Scholar]
- Dou, L.; Tao, Z.; Li, L.; Yan, W.; Tanimura, T.; Hoshida, T.; Rasmussen, J. A low complexity pre-distortion method for intra-channel nonlinearity. In Proceedings of the Optical Fiber Communications Conference (OFC), Los Angeles, CA, USA, 6–10 March 2011. [Google Scholar]
- Tao, Z.; Dou, L.; Yan, W.; Li, L. Multiplier-free intrachannel nonlinearity compensating algorithm operating at symbol rate. J. Lightwave Technol. 2011, 29, 2570–2576. [Google Scholar] [CrossRef]
- Lin, C.; Holtmannspoetter, M.; Asif, R.; Schmauss, B. Compensation of transmission impairments by digital backward propagation for different link designs. In Proceedings of the European Conference and Exhibition on Optical Communication (ECOC), Torino, Italy, 19–23 September 2010. [Google Scholar]
- Asif, R.; Lin, C.; Holtmannspoetter, M.; Schmauss, B. Logarithmic step-size based digital backward propagation in N-channel 112Gbit/s/ch DP-QPSK transmission. In Proceedings of the International Conference on Transparent Optical Networks (ICTON), Stockholm, Sweden, 26–30 June 2011. [Google Scholar]
- Du, L.; Lowery, A. Improved single channel backpropagation for intra-channel fiber nonlinearity compensation in long-haul optical communication systems. Opt. Express 2010, 18, 17075–17088. [Google Scholar] [CrossRef] [PubMed]
- Yaman, F.; Bai, N.; Huang, Y.; Huang, M.; Zhu, B.; Wang, T.; Li, G. 10 × 112Gb/s PDM-QPSK transmission over 5032 km in few-mode fibers. Opt. Express 2010, 18, 21342–21349. [Google Scholar] [CrossRef]
- Igarashi, K.; Tsuritani, T.; Morita, I.; Tsuchida, Y.; Maeda, K.; Tadakuma, M.; Saito, T.; Watanabe, K.; Imamura, K.; Sugizaki, R.; et al. 1.03-Exabit/skm super-Nyquist-WDM transmission over 7326-km seven-core fiber. In Proceedings of the European Conference and Exhibition on Optical Communication (ECOC), London, UK, 22–26 September 2013. [Google Scholar]
- Zhao, J.; Kim, I.; Vassilieva, O.; Ikeuchi, T.; Wang, W.; Wen, H.; Li, G. Minimizing the number of spans for terrestrial fiber-optic systems using quasi-single-mode transmission. IEEE Photonics J. 2018, 10, 7200110. [Google Scholar] [CrossRef]
- Turukhin, A.; Sinkin, O.; Batshon, H.; Zhang, H.; Sun, Y.; Mazurczyk, M.; Davidson, C.; Cai, J.; Bolshtyansky, M.; Foursa, D.; et al. 105.1 Tb/s power-efficient transmission over 14,350 km using a 12-core fiber. In Proceedings of the Optical Fiber Communications Conference (OFC), Anaheim, CA, USA, 20–24 March 2016. [Google Scholar]
- Ip, E.; Li, M.; Bennett, K.; Huang, Y.; Tanaka, A.; Korolev, A.; Koreshkov, K.; Wood, W.; Mateo, E.; Hu, J.; et al. 146λ×6×19-Gbaud wavelength- and mode-division multiplexed transmission over 10 × 50-km spans of few-mode fiber with a gain-equalized few-mode EDFA. In Proceedings of the Optical Fiber Communications Conference (OFC), Anaheim, CA, USA, 17–21 March 2013. [Google Scholar]
- Ryf, R.; Fontaine, N.; Mestre, M.; Randel, S.; Palou, X.; Bolle, C.; Gnauck, A.; Chandrasekhar, S.; Liu, X.; Guan, B.; et al. 12 × 12 MIMO Transmission over 130-km Few-Mode Fiber. In Proceedings of the Frontiers in Optics, Orlando, FL, USA, 6–10 October 2013. [Google Scholar]
- Fontaine, N.; Ryf, R.; Chen, H.; Benitez, A.; Antonio Lopez, J.; Correa, R.G.; Guan, B.; Ercan, B.; Scott, R.; Ben Yoo, S.; et al. 30 × 30 MIMO Transmission over 15 Spatial Modes. In Proceedings of the Optical Fiber Communications Conference (OFC), Los Angeles, CA, USA, 22–26 March 2015. [Google Scholar]
- Ryf, R.; Fontaine, N.; Chen, H.; Wittek, S.; Li, J.; Alvarado-Zacarias, J.; Amezcua-Correa, R.; Antonio-Lopez, J.; Capuzzo, M.; Kopf, R.; et al. Mode-Multiplexed Transmission over 36 Spatial Modes of a Graded-Index Multimode Fiber. In Proceedings of the European Conference and Exhibition on Optical Communication (ECOC), Roma, Italy, 23–27 September 2018. [Google Scholar]
- Takara, H.; Sano, A.; Kobayashi, T.; Kubota, H.; Kawakami, H.; Matsuura, A.; Miyamoto, Y.; Abe, Y.; Ono, H.; Shikama, K.; et al. 1.01-Pb/s (12 SDM/222 WDM/456 Gb/s) Crosstalk-managed Transmission with 91.4-b/s/Hz Aggregate Spectral Efficiency. In Proceedings of the European Conference and Exhibition on Optical Communication (ECOC), London, UK, 22–26 September 2013. [Google Scholar]
- Puttnam, B.; Luis, R.; Klaus, W.; Sakaguchi, J.; Delgado Mendinueta, J.; Awaji, Y.; Wada, N.; Tamura, Y.; Hayashi, T.; Hirano, M.; et al. 2.15 Pb/s transmission using a 22 core homogeneous single-mode multi-core fiber and wideband optical comb. In Proceedings of the European Conference and Exhibition on Optical Communication (ECOC), Valencia, Spain, 27 September–1 October 2015. [Google Scholar]
- Soma, D.; Wakayama, Y.; Beppu, S.; Sumita, S.; Tsuritani, T.; Hayashi, T.; Nagashima, T.; Suzuki, M.; Takahashi, H.; Igarashi, K.; et al. 10.16 Peta-bit/s Dense SDM/WDM transmission over Low-DMD 6-Mode 19-Core Fibre across C+L Band. In Proceedings of the European Conference and Exhibition on Optical Communication (ECOC), Gothenburg, Sweden, 17–21 September 2017. [Google Scholar]
- Faruk, M.; Kikuchi, K. Adaptive frequency-domain equalization in digital coherent optical receivers. Opt. Express 2011, 19, 12789–12798. [Google Scholar] [CrossRef]
- Kudo, R.; Kobayashi, T.; Ishihara, K.; Takatori, Y.; Sano, A.; Miyamoto, Y. Coherent optical single carrier transmission using overlap frequency domain equalization for long-haul optical systems. J. Lightwave Technol. 2009, 27, 3721–3728. [Google Scholar] [CrossRef]
- Bai, N.; Li, G. Adaptive frequency-domain equalization for mode-division multiplexed transmission. IEEE Photonics Technol. Lett. 2012, 24, 1918–1921. [Google Scholar]
- Zhu, C.; Tran, A.; Chen, S.; Du, L.; Anderson, T.; Lowery, A.; Skafidas, E. Improved two-stage equalization for coherent Pol-Mux QPSK and 16-QAM systems. Opt. Express 2012, 20, B141–B150. [Google Scholar] [CrossRef]
- Bai, N.; Xia, C.; Li, G. Adaptive frequency-domain equalization for the transmission of the fundamental mode in a few-mode fiber. Opt. Express 2012, 20, 24010–24017. [Google Scholar] [CrossRef] [PubMed]
- Arık, S.; Askarov, D.; Kahn, J. Adaptive frequency-domain equalization in mode-division multiplexing systems. J. Lightwave Technol. 2014, 32, 1841–1852. [Google Scholar] [CrossRef]
- Yang, Z.; Zhao, J.; Bai, N.; Ip, E.; Wang, T.; Li, Z.; Li, G. Experimental demonstration of adaptive VFF- RLS-FDE for long-distance mode-division multiplexed transmission. Opt. Express 2018, 26, 18362–18367. [Google Scholar] [CrossRef] [PubMed]
- Wang, D.; Zhang, M.; Li, Z.; Cui, Y.; Liu, J.; Yang, Y.; Wang, H. Nonlinear decision boundary created by a machine learning-based classifier to mitigate nonlinear phase noise. In Proceedings of the European Conference and Exhibition on Optical Communication (ECOC), Valencia, Spain, 27 September–1 October 2015. [Google Scholar]
- Zibar, D.; Winther, O.; Franceschi, N.; Borkowski, R.; Caballero, A.; Arlunno, V.; Schmidt, M.; Gonzales, N.; Mao, B.; Ye, Y.; et al. Nonlinear impairment compensation using expectation maximization for dispersion managed and unmanaged PDM 16-QAM transmission. Opt. Express 2012, 20, 181–196. [Google Scholar] [CrossRef] [PubMed]
- Li, M.; Yu, S.; Yang, J.; Chen, Z.; Han, Y.; Gu, W. Nonparameter nonlinear phase noise mitigation by using M-ary support vector machine for coherent optical systems. IEEE Photonics J. 2013, 5, 7800312. [Google Scholar] [CrossRef]
- Argyris, A.; Bueno, J.; Fischer, I. Photonic machine learning implementation for signal recovery in optical communications. Sci. Rep. 2018, 8, 1–13. [Google Scholar] [CrossRef] [PubMed]
- Thrane, J.; Wass, J.; Piels, M.; Diniz, J.; Jones, R.; Zibar, D. Machine learning techniques for optical performance monitoring from directly detected PDM-QAM signals. J. Lightwave Technol. 2017, 35, 868–875. [Google Scholar] [CrossRef]
- Zibar, D.; Piels, M.; Jones, R.; Schaeffer, C. Machine learning techniques in optical communication. J. Lightware Technol. 2016, 34, 1442–1452. [Google Scholar] [CrossRef]
- Khan, F.; Fan, Q.; Lu, C.; Lau, A. An optical communication’s perspective on machine learning and its applications. J. Lightwave Technol. 2019, 37, 493–516. [Google Scholar] [CrossRef]
- Khan, F.; Zhong, K.; Al-Arashi, W.; Yu, C.; Lu, C.; Lau, A. Modulation format identification in coherent receivers using deep machine learning. IEEE Photonics Technol. Lett. 2016, 28, 1886–1889. [Google Scholar] [CrossRef]
- Xu, T.; Xu, T.; Bayvel, P.; Darwazeh, I. Non-orthogonal signal transmission over nonlinear optical channels. IEEE Photonics J. 2019, 11, 7203313. [Google Scholar] [CrossRef]
- Darwazeh, I.; Xu, T.; Gui, T.; Bao, Y.; Li, Z. Optical SEFDM system; bandwidth saving using non-orthogonal sub-carriers. IEEE Photonics Technol. Lett. 2014, 26, 352–355. [Google Scholar] [CrossRef]
- Zhao, J.; Ellis, A.D. A novel optical fast OFDM with reduced channel spacing equal to half of the symbol rate per carrier. In Proceedings of the Optical Fiber Communications Conference (OFC), San Diego, CA, USA, 21–25 March 2010. [Google Scholar]
- Xu, T.; Xu, T.; Darwazeh, I. Deep learning for interference cancellation in non-orthogonal signal based optical communication systems. In Proceedings of the Progress in Electromagnetics Research Symposium (PIERS), Toyama, Japan, 1–4 August 2018. [Google Scholar]



















© 2019 by the authors. Licensee MDPI, Basel, Switzerland. This article is an open access article distributed under the terms and conditions of the Creative Commons Attribution (CC BY) license (http://creativecommons.org/licenses/by/4.0/).
Share and Cite
Zhao, J.; Liu, Y.; Xu, T. Advanced DSP for Coherent Optical Fiber Communication. Appl. Sci. 2019, 9, 4192. https://doi.org/10.3390/app9194192
Zhao J, Liu Y, Xu T. Advanced DSP for Coherent Optical Fiber Communication. Applied Sciences. 2019; 9(19):4192. https://doi.org/10.3390/app9194192
Chicago/Turabian StyleZhao, Jian, Yaping Liu, and Tianhua Xu. 2019. "Advanced DSP for Coherent Optical Fiber Communication" Applied Sciences 9, no. 19: 4192. https://doi.org/10.3390/app9194192
APA StyleZhao, J., Liu, Y., & Xu, T. (2019). Advanced DSP for Coherent Optical Fiber Communication. Applied Sciences, 9(19), 4192. https://doi.org/10.3390/app9194192

