Active Fault-Tolerant Control of a Quadcopter against Time-Varying Actuator Faults and Saturations Using Sliding Mode Backstepping Approach
Abstract
Featured Application
Abstract
1. Introduction
- The fault diagnosis based on technique [36] is introduced to estimate the time-varying faults.
 - The AFTC based adaptive sliding mode backstepping [15] was improved here to ensure that the tracking performance converges to zero in spite of time-varying, actuator faults and disturbances.
 - A modified AFTC is proposed to handle the input saturation.
 - Stability analysis in presented to verify the robustness of the proposed controller.
 
2. Quadcopter Modeling
3. Active Fault-Tolerant Control System Design
3.1. Fault Diagnosis Scheme
3.2. Adaptive Sliding Mode Fault-Tolerant Controller Design
3.2.1. Adaptive Sliding Mode Controller Design without Input Saturations
3.2.2. Adaptive Sliding Mode Controller Design with Input Saturations
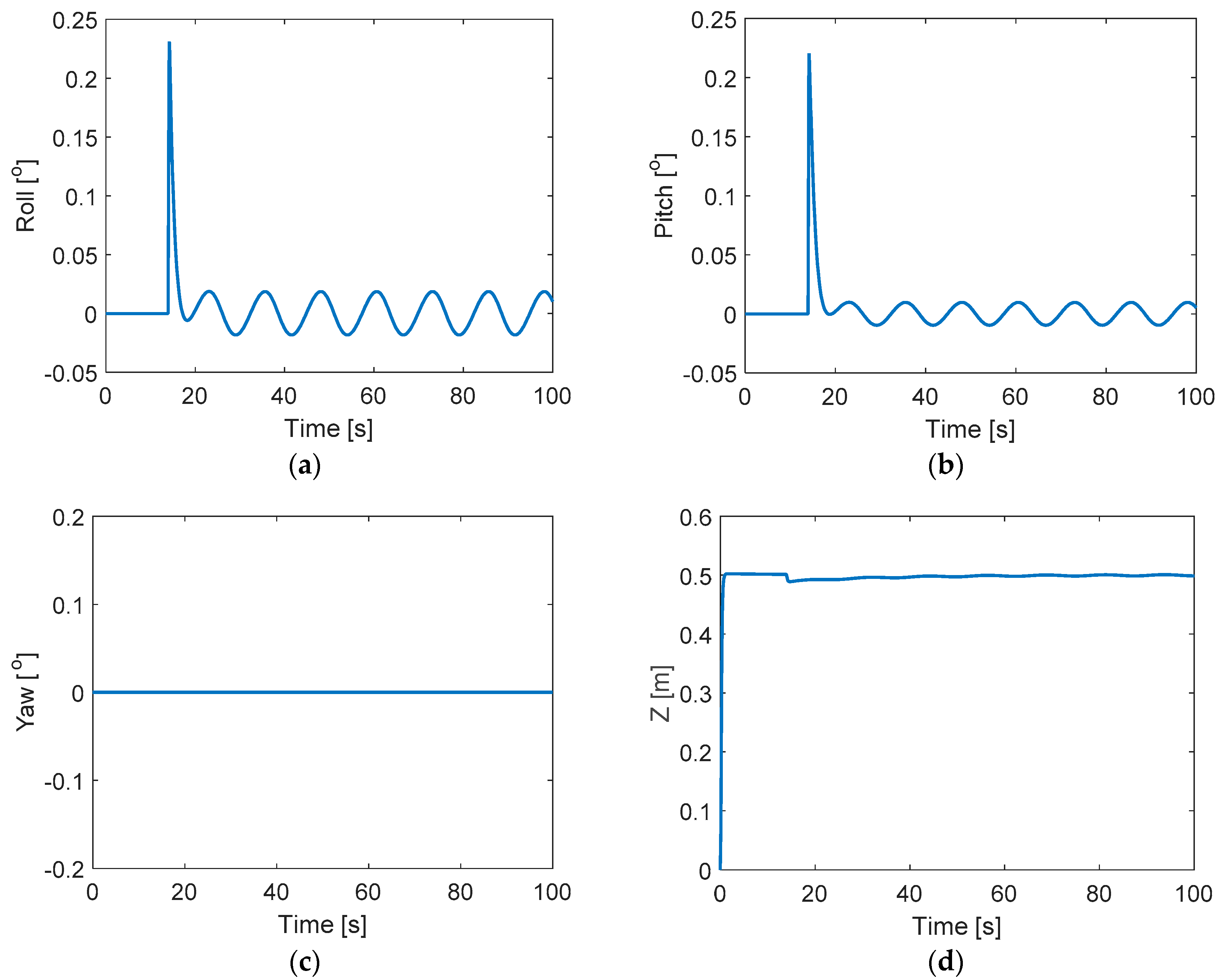
4. Simulation Results
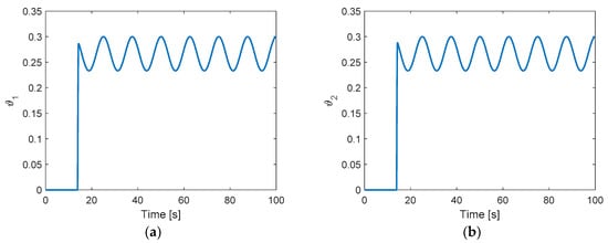
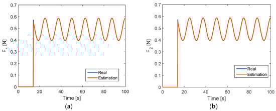
4.1. Fault Diagnosis Results
- ;
 - ;
 - ;
 - ;
 - ;
 - .
 
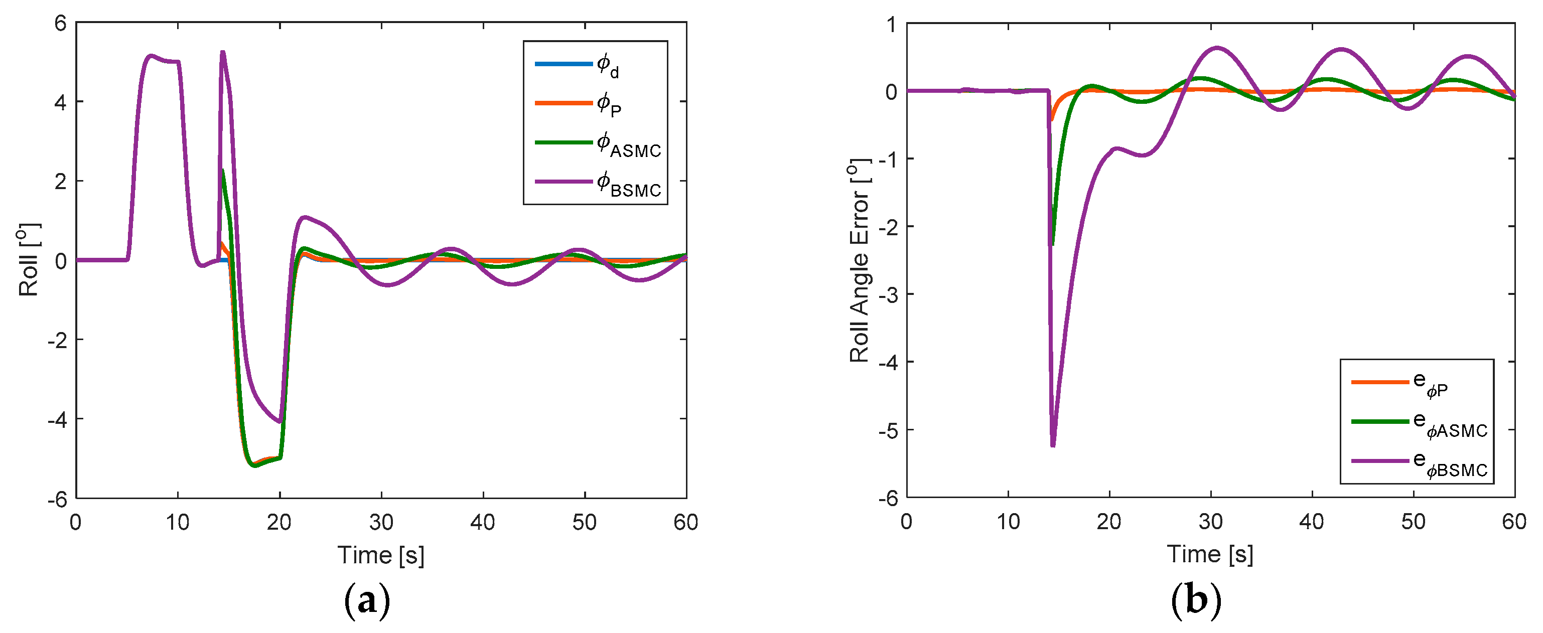
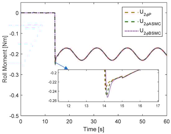
4.2. Active Fault-Tolerant Control Results
5. Conclusions
Author Contributions
Funding
Acknowledgments
Conflicts of Interest
References
- Yang, S.; Ying, J.; Lu, Y.; Li, Z. Precise quadrotor autonomous landing with SRUKF vision perception. In Proceedings of the IEEE International Conference on Robotics and Automation (ICRA), Seattle, WA, USA, 26–30 May 2015. [Google Scholar]
 - Shakernia, O.; Ma, Y.; Koo, T.J.; Sastry, S. Landing an unmanned air vehicle: Vision based motion estimation and nonlinear control. Asian J. Control 1999, 1, 128–145. [Google Scholar]
 - Zhao, W.; Go, T.H. Quadcopter formation flight control combining MPC and robust feedback linearization. J. Frankl. Inst. 2014, 351, 1335–1355. [Google Scholar]
 - Mahmood, A.; Kim, Y. Decentralized formation flight control of quadcopters using robust feedback linearization. J. Frankl. Inst. 2017, 354, 852–871. [Google Scholar]
 - Nguyen, N.P.; Hong, S.K. Sliding mode Thau observer for actuator fault diagnosis of quadcopter UAVs. Appl. Sci. 2018, 8, 1893. [Google Scholar]
 - Nguyen, N.P.; Hong, S.K. Fault-tolerant control of quadcopter UAVs using robust adaptive sliding mode approach. Energies 2019, 12, 95. [Google Scholar]
 - Ren, W.; Beard, R.W. Trajectory tracking for unmanned air vehicles with velocity and heading rate constraints. IEEE Trans. Control Syst. Technol. 2004, 12, 706–716. [Google Scholar]
 - Bonna, R.; Camino, J.F. Trajectory Tracking Control of a Quadcopter Using Feedback Linearization. In Proceedings of the XVII International Symposium on Dynamic Problems of Mechanics, Natal-Rio Grande Do Norte, Brazil, 22–27 February 2015. [Google Scholar]
 - Tayebi, A.; McGilvray, S. Attitude stabilization of VTOL quadrotor aircraft. IEEE Trans. Control Syst. Technol. 2006, 14, 562–571. [Google Scholar]
 - Madani, T.; Benallegue, A. Backstepping control for a quadrotor helicopter. In Proceedings of the IEEE/RSJ International Conference on Intelligent Robots and Systems, Beijing, China, 9–15 October 2006. [Google Scholar]
 - Raffo, G.V.; Ortega, M.G.; Rubio, F.R. Backstepping/nonlinear control for path tracking of a quadrotor unmanned aerial vehicle. In Proceedings of the American Control Conference, Seattle, WA, USA, 11–13 June 2008. [Google Scholar]
 - Santos, M.; Lopez, V.; Morata, F. Intelligent fuzzy controller of a quadrotor. In Proceedings of the IEEE International Conference on Intelligent Systems and Knowledge Engineering (ISKE), Hangzhou, China, 15–16 November 2010. [Google Scholar]
 - Mardan, M.; Esfandiari, M.; Sepehri, N. Attitude and position controller design and implementation for a quadrotor. Int. J. Adv. Robot. Syst. 2017, 14, 1–11. [Google Scholar] [CrossRef]
 - Xu, R.; Ozguner, U. Sliding mode control of a quadrotor helicopter. In Proceedings of the IEEE Conference on Decision and Control, San Diego, CA, USA, 13–15 December 2006. [Google Scholar]
 - Basri, M.A.M.; Husain, A.R.; Danapalasingam, K.A. Robust chattering free backstepping sliding mode control strategy for autonomous quadrotor helicopter. Int. J. Mech. Mechatron. Eng. 2014, 14, 37–44. [Google Scholar]
 - Yoon, G.Y.; Yamamoto, A.; Lim, H.O. Mechanism and neural network based on PID control of quadcopter. In Proceedings of the 16th International Conference on Control, Automation and Systems, Gyeongju, Korea, 16–19 October 2016. [Google Scholar]
 - Nguyen, T.N.; Lee, S.; Nguyen-Xuan, H.; Lee, J. A novel analysis-prediction approach for geometrically nonlinear problems using group method of data handling. Comput. Methods Appl. Mech. Eng. 2019, 354, 506–526. [Google Scholar]
 - Sharifi, F.; Mirzaei, M.; Gordon, B.W.; Zhang, Y.M. Fault tolerant control of a quadrotor UAV using sliding mode control. In Proceedings of the Conference on Control and Fault Tolerant Systems, Nice, France, 6–7 October 2010; pp. 239–244. [Google Scholar]
 - Xu, D.; Whidborne, J.F.; Cooke, A. Fault tolerant control of a quadrotor using L1 adaptive control. Int. J. Intell. Unmanned Syst. 2016, 4, 1–20. [Google Scholar]
 - Ghandour, J.; Aberkane, S.; Ponsart, J.C. Feedback linearization approach for standard and fault tolerant control: Application to a quadrotor UAV testbed. J. Phys. Conf. Ser. 2014, 570, 082003. [Google Scholar]
 - Chen, F.; Lei, W.; Tao, G.; Jiang, B. Actuator fault estimation and reconfiguration control for the quadrotor helicopter. Int. J. Adv. Robot. Syst. 2016, 13, 1–12. [Google Scholar]
 - Merheb, A.; Noura, H.; Bateman, F. Design of passive fault-tolerant controllers of a quadrotor based on sliding mode theory. Int. J. Appl. Math. Comput. Sci. 2015, 25, 561–576. [Google Scholar]
 - Li, T.; Zhang, Y.; Gordon, B.W. Nonlinear fault-tolerant control of a quadrotor UAV based on sliding mode control technique. In Proceedings of the 8th IFAC Symsosium on Fault Detection, Supervision and Safety of Technical Processes, Mexico City, Mexico, 29–31 August 2012. [Google Scholar]
 - Wang, B.; Zhang, Y.M. Adaptive sliding mode fault-tolerant control for an unmanned aerial vehicle. Unmanned Syst. 2017, 5, 209–221. [Google Scholar] [CrossRef]
 - Fei, J.; Ding, H. Adaptive sliding mode control of dynamic system using RBF neural network. Nonlinear Dyn. 2012, 70, 1563–1573. [Google Scholar]
 - Nicol, C.; Macnab, C.J.B.; Ramirez-Serrano, A. Robust neural network control of a quadrotor helicopter. In Proceedings of the Canadian Conference on Electrical and Computer Engineering, Niagara Falls, ON, Canada, 4–7 May 2008. [Google Scholar]
 - Dierks, T.; Jagannathan, S. Output feedback control of a quadrotor UAV using neural networks. IEEE Trans. Neural Netw. 2010, 21, 50–66. [Google Scholar] [CrossRef] [PubMed]
 - Barghandan, S.; Badamchizadeh, M.A.M.; Jahed-Motlagh, R. Improved adaptive fuzzy sliding mode controller for robust fault tolerant of a quadrotor. Int. J. Control Autom. Syst. 2017, 15, 427–441. [Google Scholar]
 - Modirrousta, A.; Khodabandeh, M. A novel nonlinear hybrid controller design for an uncertain quadrotor with disturbances. Aerosp. Sci. Technol. 2015, 45, 294–308. [Google Scholar] [CrossRef]
 - Nguyen, T.B.; Nguyen, M.H.; Nguyen, A.T.; Dao, P.N.; Nguyen, T.L. Robust H-infinity backstepping control design of a wheeled inverted pendulum system. In Proceedings of the International Conference on System Science and Engineering, Ho Chi Minh City, Vietnam, 21–23 July 2017. [Google Scholar]
 - Kacimi, A.; Mokhtari, A.; Kouadri, B. Sliding mode control based on adaptive backstepping approach for a quadrotor unmanned aerial vehicle. Prz. Elektrotek. 2012, 88, 188–193. [Google Scholar]
 - Cen, Z.; Noura, H.; Younes, Y.A. Systematic fault tolerant control based on adaptive Thau observer estimation for quadrotor UAVs. Int. J. Appl. Math. Comput. Sci. 2015, 25, 159–174. [Google Scholar] [CrossRef]
 - Li, T.; Zhang, Y.; Gordon, B.W. Passive and active nonlinear fault-tolerant control of a quadrotor unmanned aerial vehicle based on the sliding mode control technique. Proc. Inst. Mech. Eng. Part I J. Syst. Control Eng. 2013, 227, 12–23. [Google Scholar] [CrossRef]
 - Alwi, H.; Edwards, C. Fault tolerant control using sliding modes with on-line control allocation. Automatica 2008, 44, 1859–1866. [Google Scholar]
 - Merheb, A.R.; Noura, H.; Bateman, F. Active fault tolerant control of quadrotor UAV using sliding mode control. In Proceedings of the International Conference on Unmanned Aircraft Systems, Orlando, FL, USA, 27–30 May 2014. [Google Scholar]
 - Fortuna, L.; Frasca, M. Optimal and Robust Control—Advanced Topics with Matlab; CRC Press: Boca Raton, FL, USA, 2012. [Google Scholar]
 - Amoozgar, M.H.; Chamseddine, A.; Zhang, Y. Experimental test of a two-stage Kalman filter for actuator fault detection and diagnosis of an unmanned quadrotor helicopter. J. Intell. Robot. Syst. 2013, 70, 107–117. [Google Scholar]
 - Xuan-Mung, N.; Hong, S.-K. Improved Altitude Control Algorithm for Quadcopter Unmanned Aerial Vehicles. Appl. Sci. 2019, 9, 2122. [Google Scholar]
 - Nguyen, A.T.; Xuan-Mung, N.; Hong, S.-K. Quadcopter Adaptive Trajectory Tracking Control: A New Approach via Backstepping Technique. Appl. Sci. 2019, 9, 3873. [Google Scholar] [CrossRef]
 - Xuan-Mung, N.; Hong, S.K. Robust adaptive formation control of quadcopters based on a leader–follower approach. Int. J. Adv. Robot. Syst. 2019, 16, 1–11. [Google Scholar]
 - Nguyen, N.P.; Hong, S.K. Fault Diagnosis and Fault-Tolerant Control Scheme for Quadcopter UAVs with a Total Loss of Actuator. Energies 2019, 12, 1139. [Google Scholar] [CrossRef]
 - Nguyen, N.P.; Hong, S.K. Robust Fault Diagnosis for a Quadrotor with Actuator Fault. I. J. Engineer. Technol. 2018, 7, 74–77. [Google Scholar]
 - Nguyen, N.P.; Hong, S.K. Position control of a hummingbird quadcopter augmented by gain scheduling. Int. J. Eng. Res. Technol. 2018, 11, 1485–1498. [Google Scholar]
 - Nadda, S.; Swarup, A. On adaptive sliding mode control for improved quadrotor tracking. J. Vib. Control 2017, 24, 3219–3230. [Google Scholar] [CrossRef]
 










| Parameter | Description | Value | 
|---|---|---|
| Arm length | m | |
| Thrust coefficient | N/m2 | |
| Drag coefficient | ||
| Mass | kg | |
| Moments of inertia | kg·m2 | |
| Rotor inertia | kg·m2 | |
| Aerodynamic term | 0.01 | 
© 2019 by the authors. Licensee MDPI, Basel, Switzerland. This article is an open access article distributed under the terms and conditions of the Creative Commons Attribution (CC BY) license (http://creativecommons.org/licenses/by/4.0/).
Share and Cite
Nguyen, N.P.; Hong, S.K. Active Fault-Tolerant Control of a Quadcopter against Time-Varying Actuator Faults and Saturations Using Sliding Mode Backstepping Approach. Appl. Sci. 2019, 9, 4010. https://doi.org/10.3390/app9194010
Nguyen NP, Hong SK. Active Fault-Tolerant Control of a Quadcopter against Time-Varying Actuator Faults and Saturations Using Sliding Mode Backstepping Approach. Applied Sciences. 2019; 9(19):4010. https://doi.org/10.3390/app9194010
Chicago/Turabian StyleNguyen, Ngoc Phi, and Sung Kyung Hong. 2019. "Active Fault-Tolerant Control of a Quadcopter against Time-Varying Actuator Faults and Saturations Using Sliding Mode Backstepping Approach" Applied Sciences 9, no. 19: 4010. https://doi.org/10.3390/app9194010
APA StyleNguyen, N. P., & Hong, S. K. (2019). Active Fault-Tolerant Control of a Quadcopter against Time-Varying Actuator Faults and Saturations Using Sliding Mode Backstepping Approach. Applied Sciences, 9(19), 4010. https://doi.org/10.3390/app9194010
        