Next Article in Journal
Dual-View Integral Imaging 3D Display Based on Multiplexed Lens-Array Holographic Optical Element
Next Article in Special Issue
Determination of the Optimal State of Dough Fermentation in Bread Production by Using Optical Sensors and Deep Learning
Previous Article in Journal
A Parametric Numerical Study of the Airflow and Thermal Performance in a Real Data Center for Improving Sustainability
Previous Article in Special Issue
Automatic Zebrafish Egg Phenotype Recognition from Bright-Field Microscopic Images Using Deep Convolutional Neural Network
 
 
Font Type:
Arial Georgia Verdana
Font Size:
Aa Aa Aa
Line Spacing:
Column Width:
Background:
Article

A Correction Method for Heat Wave Distortion in Digital Image Correlation Measurements Based on Background-Oriented Schlieren

State Key Laboratory of Precision Measurement Technology and Instrument, Tianjin University, Tianjin 300072, China
*
Author to whom correspondence should be addressed.
Appl. Sci. 2019, 9(18), 3851; https://doi.org/10.3390/app9183851
Submission received: 19 August 2019 / Revised: 5 September 2019 / Accepted: 11 September 2019 / Published: 13 September 2019
(This article belongs to the Special Issue Intelligent Processing on Image and Optical Information)

Abstract

Digital image correlation (DIC) is a kind of displacement and strain measurement technique. It can realize non-contact and full-field measurement and is widely used in the testing and research of mechanical properties of materials at high temperatures. However, many factors affect measurement accuracy. As the high temperature environment is complex, the impact of heat waves on DIC is the most significant factor. In order to correct the disturbance in DIC measurement caused by heat waves, this paper proposes a method based on the background-oriented schlieren (BOS) technique. The spot pattern on the surface of a specimen in digital image correlation can be used as the background in the background-oriented schlieren technique. The BOS technique can measure the distortion information of the images caused by heat flow field. The specimen images taken through the heat waves can be corrected using the distortion information. Besides, the characteristics of distortions due to heat waves are also studied in this paper. The experiment results verify that the proposed method can effectively eliminate heat wave disturbances in DIC measurements.

1. Introduction

The mechanical properties of materials are significant in the utilization of materials. Aerospace, engine, petrochemical, and other areas are developing rapidly. In these fields, materials must work stably at high temperatures [1,2,3]. Therefore, it is vital to study the mechanical properties of materials at high temperatures. At present, a variety of measurement methods for material deformation in a high-temperature environment have been developed, among which the digital image correlation (DIC) method [4,5,6] has attracted more and more research interest. The digital image correlation method is a non-contact optical measurement technique which measures the displacement and strain caused by deformation of the material. Due to its advantages of simple operation, wide application range, and full-field measurement [7,8,9,10], digital image correlation has become one of the most active optical measurement methods and is widely used in scientific research and engineering practice.
However, the digital image correlation measurement is based on the images of the specimen. The quality of the images dramatically affects the measurement accuracy of the DIC measurement. In high-temperature environments, heat waves caused by heat sources can distort the images. How to eliminate the influence of thermal disturbance on measurement accuracy is a problem that needs to be solved when using the DIC method to measure objects at high temperatures. Many experts and scholars have studied this problem and made many efforts to eliminate the influence of heat waves on DIC measurement results by improving experimental devices and algorithms.
One type of effort mainly focuses on hardware improvement. Novak et al. [11] added an “air knife” in their experimental devices. The “air knife” is positioned to blow across the sample surface, and its role is to minimize the thermal turbulence and thoroughly mix air in the lens of sight of the imaging systems, thereby reducing apparent distortions caused by heat waves. Jenner et al. [12] designed a unique system for high-temperature measurement, including a camera, loading mechanism, heating furnace, etc. to measure the strain of high-strength steel at high temperatures. L. Chen et al. [13] used an air controller to mix the air between the furnace window and lens. Bao et al. [14] used a color speckle and color camera to separate the displacement due to heat flow disturbance, which improved the measurement accuracy of DIC. This method can realize real-time correction but requires making a specific spot pattern on the specimen surface. Pan et al. [15] conducted experiments in a vacuum wind tunnel and adopted violet illumination and filters to eliminate thermal radiation and thermal disturbances. No significant disturbance of the heat waves was observed in the vacuum. The influence of heat waves can be reduced by improving the experimental system, but the corresponding system will become more complex, and the costs will increase. Besides, it is difficult to eliminate the influence of heat waves by only improving the system hardware [16]. Other solutions have to be found to solve the problem.
Another type of effort aiming at the improvement of algorithms has been carried out. There have been different ideas on algorithms to remove the effect of heat waves. The first idea is to simulate the heat wave environment through numerical simulation. Zhang et al. [17] used numerical simulation models to correct the effects of heat waves. They proposed using numerical simulation to obtain a heat flow field model, combining the ray-tracing principle to analyze the image distortion caused by the heat flow field and correcting the high-temperature deformation measurement results. The results proved that this method is feasible if the experimental parameters are accurately controlled so that the simulation model is consistent with the actual situation. However, actual environments iare complex and variable, and it is difficult to predict the distortion caused by heat waves accurately. Another algorithm idea is to regard the effect of heat waves on the image as a kind of noise and process the image using a denoise algorithm to achieve better DIC measurement results. Song et al. [16] proposed a high-temperature strain measurement method by combining the digital image correlation method and the Improved Random Sample Consensus (IRANSAC) smoothing algorithm. The IRANSAC algorithm reduces the noise from the airflow disturbance. This method smooths the noisy displacement field and reduces the noise level. Due to the heat waves on images being close to Gaussian noise, Y. Hu et al. [18] used a classical algorithm, the inverse filtering method, to remove the Gaussian noise and to process the images disturbed by the heat waves. The results proved that the method is useful to some degree. In some cases, the denoise algorithm can remove the noise caused by heat waves. However, with DIC as a measurement method, using the denoise algorithm may cause new errors, which affect the measurement results of DIC. A third idea is to research the characteristics of the disturbance caused by heat waves on imaging and according to the characteristics, correct the images. Hao et al. [19] extended the principal component analysis (PCA) method to extract the disturbance characteristics and then corrected the calculation results of DIC. Since the distortion caused by heat waves is random, Su et al. [20] proposed the grayscale-average technique, which corrects the distortion by using multiple measurements to average. The results proved that the signal to noise ratio of the processed images was significantly improved. However, in this method, it was assumed that a point on the image, under the influence of the heat waves, is oscillating around the real value. However, after research, it was found that a point on the image, through the heat waves, oscillates around an offset value. After the average processing, most of the distortion was corrected, but there was still a little distortion. Moreover, this small distortion was not negligible in DIC, either.
In this paper, a method based on the background-oriented schlieren (BOS) technique is proposed to correct the heat wave distortion based on the study of characteristics of distortions due to heat waves. The background-oriented schlieren technique [21] can realize the measurement of refractive index field information that causes the light refraction. By recording the image of the background spot pattern in the presence or absence of heat wave distortion, the distortion displacement field caused by the heat waves can be obtained. According to the obtained distortion displacement field, the DIC measurement results are the corrected. The remainder of this paper is organized as follows: In Section 2, the characteristics of distortions due to heat waves are analyzed, and the flow of the proposed method is introduced in detail. The experiment system is shown in Section 3. Section 4 is the experiment results and discussion. The error level of DIC measurement with or without the influence of the heat waves is analyzed, and experiments show the characteristics of heat waves on imaging distortions. Also, experiments confirmed the effectiveness of the proposed method. The conclusion is in Section 5.

2. Theoretical Background

2.1. The Principle of the Influence of Heat Waves on DIC Measurement

The measurement of the DIC method is based on the images of the measured object taken by the camera. If heat waves exist between the camera and the measured object, the heat waves may distort the images taken by the camera, affecting the measurement accuracy of DIC. The way the heat waves cause image distortion can be divided into two aspects. One aspect is the temperature difference between the area affected by the heat waves and the other areas. This temperature difference causes a heterogeneous refractive index field, which causes the light to refract. The other aspect is the hot air flow caused by heat waves.
First of all, the refraction of light caused by the temperature difference is analyzed, regardless of the fluidity of the hot air.
Figure 1 is a schematic diagram of a simplified test system with a region of heterogeneous refractive index between the object to be measured and the imaging system. The heterogeneous refractive index region is caused by heat waves.
The path of light through a heterogeneous refractive index field is governed by Fermat’s principle. According to Fermat’s principle, light travels along the shortest path of the optical distance. In general, the path a ray of light follows is governed by the set of differential equations [22,23]:
d 2 x d z 2 = [ 1 + ( d x d z ) 2 + ( d y d z ) 2 ] [ 1 n n x d x d z 1 n n z ]
d 2 y d z 2 = [ 1 + ( d x d z ) 2 + ( d y d z ) 2 ] [ 1 n n y d y d z 1 n n z ]
where n is the refractive index of air and the z-axis is aligned with the optical axis of the imaging system. In order to simplify the analysis process, only the paraxial ray is discussed, and the angle between the ray and the z-axis is a small angle. Thus, d x d z 1 and d y d z 1 . Furthermore, it is assumed that the refractive index changes in the same magnitude in all three spatial directions. With these simplifying assumptions, the light ray enters the heterogeneous refractive index field at the same location it would have passed through if the refractive index field had been homogeneous, that is, θ 2 a = θ 1 . However, when the light ray leaves the heterogeneous refractive index field, it will propagate at a new angle θ 2 b .
The refractive index of air can be expressed as n ( x , y , z ) = n 0 + n ( x , y , z ) [24], n 0 is the refractive index at homogenous room temperature. n ( x , y , z ) represents the variation of the refractive index from the base value. Because of n n 0 , there is 1 n 1 n 0 . Under the above assumptions, the propagation equation of light can be simplified as
d 2 x d z 2 = 1 n 0 n x
d 2 y d z 2 = 1 n 0 n y
The analysis is now focused on a light ray in the x–z plane as shown in Figure 1. Because of d x d z = tan ( θ ) , according to the Equation (2a), there is
tan ( θ 2 b ) = tan ( θ 1 ) 1 n 0 W 2 W 2 ( n x ) d z
Due to the existence of the heat waves, the light is refracted. In Figure 1, the light emitted from the point A on the object plane appears at the point B in the perspective of the image plane. According to the geometric relationship, the distortion x 0 can be expressed as
x 0 = [ tan ( θ 1 ) ( L + W ) ] [ tan ( θ 2 b ) ( L + W ) ] = ( L + W ) 1 n 0 W 2 W 2 ( n x ) d z
According to Equation (4), if such an assumption is made, the air region affected by heat waves is stable and does not flow, and only the temperature is different from the other region, then n and W are constant. The distortion x 0 is also a constant.
However, hot air flows and continuously changes at random. If the heat waves caused by the heat source is stable and a point on the object plane is observed on the image plane after passing through the region affected by the heat waves, there will occur a main distortion x 0 . However, due to the fluidity of the heat waves, as shown in Figure 1, this point will randomly oscillate around x 0 , and based on the main distortion x 0 , a random distortion Δ x occurs. This phenomenon will be verified in the experiment. The correction method proposed in this paper is to use the BOS technique to correct the main distortion and use the time-averaging method to correct the random distortion. In this way, the DIC measurement results with the influence of heat waves removed can be obtained.

2.2. Principle of Background-Oriented Schlieren

The background-oriented schlieren (BOS) technique was proposed by Meier [25]. The BOS technique combines particle image velocimetry (PIV) technology for flow field velocity measurements with traditional schlieren technology. It can measure the refractive index field using the offset of particles in the background pattern [26]. Since its introduction, the BOS technique has attracted the attention of many scholars and is still continuously developed [21]. At present, the BOS technique is mainly used in the field of density measurements of a fluid field, fluid field visualization, temperature measurements, aero-optical wavefront measurements, and optical transfer function measurements [25,27,28]. The spot pattern in the digital image correlation method can be used as the background pattern in the BOS technique. The BOS technique can be divided into two steps. The first step is to extract the distortion displacement field information by using the high precision PIV algorithm. The second step is to use the distortion displacement field information to construct the remapping function to complete the correction of the image. The technical principle of the BOS technique is shown in Figure 2. First, the image of the background pattern without flow field interference is taken as the reference image. Then, in the presence of flow field interference, the background pattern is imaged again as the measurement image. Next, the displacement of the corresponding particles in the two images is extracted by the PIV algorithm to obtain the refraction information of the light. Then the remapping function is constructed by using the obtained disturbance information to complete the correction of the image with distortion. The extraction of the displacement of the particles on the background pattern is the key to the background-oriented schlieren technique.

2.3. Correlation Algorithm Flow

When using DIC to measure the displacement and strain of the object, it is necessary to spray spots on the surface of the object. The sprayed spots can be used as the background pattern in the BOS technique. The two methods can be combined. The flow chart of the proposed correction method is shown in Figure 3.
At first, after spraying the spots, when there is no heat source, the object to be measured is photographed to get the reference image. Next, several images of the spot pattern through the heat waves are taken as the background images with disturbance information. The PIV calculation between the background images and the reference image is performed to get disturbance displacement maps. These disturbance displacement maps are averaged over time to get the displacement distribution diagram of the main distortion.
Second, the measured object is loaded and then images of the object through heat waves are taken. These images using the displacement distribution diagram of the main distortion are remapped to eliminate the main distortion in the images.
Third, the images whose main distortion have been removed are averaged to eliminate random distortion. After that, the image with the heat wave disturbance removed is obtained. Then, performing the DIC measurement using this image will give the displacement and strain fields of the specimen, which have corrected the heat wave disturbance.

3. Experimental System

In-plane displacement measurement experiments of a disc were carried out to verify that the proposed method can improve the accuracy of DIC measurements.
The schematic diagram of the experimental system is shown in Figure 4. The system consists of a camera, a lens, a hot plate, and a metal disc with black spots on the surface.
There is one camera to do the 2D DIC measurements. The camera is perpendicular to the surface of the measured object. The camera model is POINT GREY 60S6M (FLIR System, Inc., Portland, OR, USA). The resolution of the camera is 13 fps at 2736 × 2192 pixels. The lens used is a Schneider lens with a focal length of 29.3 mm and a F-number of 2. The measured object is a metal disc, as shown in Figure 5, and the surface is sprayed with the black spots that can be used for DIC measurement. The spots pattern can also be used for the BOS technique. There is a micrometer screw bar on the backside of the disc. The screw bar can rotate the disc to load the in-plane displacement to the disc. The resolution of the rotation is 0.05 degrees. The purpose of the experiment was to measure the in-plane displacement loaded to the disc accurately. During the experiment, the fluorescent light on the ceiling was the only source of illumination, and the laboratory was closed with no additional airflow interference. A hot plate was placed between the measured object and the camera, closer to the measured object. The top of the hot plate (heated portion) had dimensions of 200 × 100 mm in plane, and the height of the hot plate was 25 mm. The temperature of the hot plate can be accurately controlled by the control box up to 350 °C. Heat waves are formed in the air region above the hot plate, and the specimen is imaged through the heat waves. The acquired images were processed using MATLAB (The MathWorks, Inc., Natick, MA, USA). DIC measurement was performed with the open-source 2D DIC software Ncorr [29]. The experimental device diagram is shown in Figure 6.

4. Experiments and Results

4.1. Baseline Noise of the Experimental Setup

The baseline noise of the experimental setup in the test conditions of the laboratory without the introduction of a heat source was measured first. The laboratory was in a closed environment with no airflow disturbance. The room temperature was approximately 25 °C, and the hot plate was not activated. When the laboratory environment was stable, the images of the specimen were recorded at 1 Hz over 5 min, and a total of 300 images were obtained. The middle 100 images were selected. The first image of the 100 images was taken as the reference image, and the remaining 99 images were correlated to the reference image to complete the DIC measurement. The displacement and strain fields of the 99 images were obtained. The Region of Interest (ROI) in DIC measurement was set to 452 × 452 pixels, as shown in Figure 7. The pixel equivalent was 0.109 mm/pixel. The subset radius was 14 pixels and the subset spacing was 1 pixel. An example of the calculation result is shown in Figure 8.
In order to quantify the errors of the displacement field and strain field, two standard deviations, the spatial standard deviation and the temporal standard deviation, were calculated according to Reference [30]. The spatial standard deviation is calculated by calculating the standard deviation of each displacement field and strain field data to quantify the spatial variation of the displacement and strain. Then, the spatial standard deviation is averaged over 99 images. The temporal standard deviation is calculated by calculating the standard deviation of the 99 displacement fields or the strain field corresponding subsets to quantify the temporal variation. Then, in the ROI region, the standard deviations of all the subsets are spatially averaged. Table 1 shows the calculated spatial standard deviation and temporal standard deviation. According to References [31,32,33,34], for a DIC system with extremely well-controlled experimental noise sources, the error does not exceed 0.001 pixels, and the DIC system in a general laboratory environment does not exceed 0.01 pixels. From Table 1, it can be seen that the displacement standard deviations, both spatial and temporal, did not exceed 0.005 pixels, which is generally accepted by the DIC community as being a reasonable noise floor for typical experiments.

4.2. Characteristics of Distortions due to Heat Waves

Next, an experiment was conducted to investigate how heat waves affect DIC measurements. First, an image of the specimen was taken without the influence of a heat source as a reference image. The hot plate was turned on and the temperature set to 300 °C by the controller. After the temperature of the hot plate was stabilized at 300 °C, 200 images of the specimen were recorded at 1 Hz. The 200 images taken through heat waves and the reference image were used for DIC measurement. The result of the DIC measurement of the image taken at 100 s is shown in Figure 9.
Comparing Figure 8 and Figure 9, the effect of heat waves on the DIC measurement results is evident. The spatial and temporal standard deviations of the displacement fields and strain fields under the influence of heat waves are shown in Table 2. It can be seen from Table 2 that the spatial standard deviation and temporal standard deviation are significantly increased due to the effect of heat waves. The spatial standard deviation was increased by nearly ten times, and the standard deviation of the displacement fields was more than 0.05 pixels, which is unacceptable.
Figure 10 shows the variation of the displacement of the ROI central subset over time. It can be seen that the swing of the curves of the displacement in both directions of U and V are not surrounding zero, but there is an offset, the Mu and Mv, as shown in Figure 10. The offsets are the main distortion mentioned above, and the swing around the main distortion is random distortion.
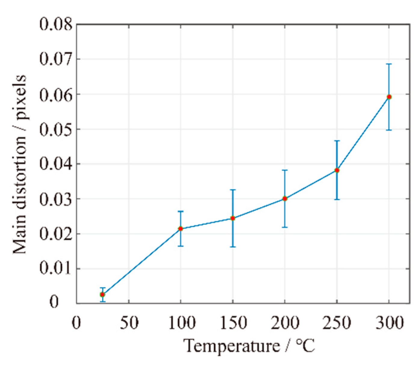
Next, the situation in which the temperature of the heat source changes drastically was analyzed. The heat source temperature was adjusted to 100, 150, 200, 250, 300 degrees Celsius, respectively. At each temperature, 200 unloaded sample images were taken; the calculated main distortion is shown in Figure 11. As the temperature increases, the main distortion tends to increase, but at different temperatures, this offset is different. Therefore, in the case where the temperature of the heat source changes drastically, the method of correcting the main distortion based on the BOS technique is no longer applicable. But the time-average method can also be used to improve the accuracy of the measurement.

4.3. Influence of Heat Waves on DIC Measurement Results

Then, the screw bar behind the specimen was rotated and the in-plane displacement to the disc was loaded. DIC was used to measure the in-plane displacement of the disc. The measurement results with and without the heat waves were compared. First, in the absence of the heat source, the micrometer screw bar behind the specimen was rotated to make a slight rotation of the disc. The angle of the rotation was 0.2 degrees. The image before the rotation is the reference image, and the rotated specimen image is correlated with the reference image. The measured displacement field is shown in Figure 12.
The components of the displacement field in the U and V directions are shown in Figure 13. The displacement fields are expressed in pixel values to facilitate the precision analysis.
Next, the image taken without the heat source and rotation was used as the reference image. The specimen was kept still, the heat source turned on, and the temperature of the hot plate adjusted to 300 °C. After the environment was stable, the micrometer screw bar was rotated to rotate the disc, and the angle of the rotation was still 0.2 degrees. Then, 100 images at a frequency of 1 Hz were taken, the result of the DIC measurement of the images taken at the 50th second is shown in Figure 14. The components of the displacement field in the U and V directions are shown in Figure 15. It can be seen that under the influence of heat waves, the measurement results of the DIC were severely distorted.
The 100 displacement fields were time-averaged to remove random disturbances, and the result is shown in Figure 16. It can be seen that the result improved, but it is still not ideal due to the main disturbance not having been removed.

4.4. Verification of the Correction Algorithm

In order to verify the proposed method, the following experiment was performed. First, in the case where the hot plate was not turned on, and the specimen was not loaded in displacement, an image was taken as the reference image of the DIC and BOS technique. Next, the hot plate was turned on, the temperature of the hot plate adjusted to 300 °C, and 200 images taken after the environment was stable. Using the particle image velocimetry (PIV) algorithm in the BOS technique, the distortion vector field of each image was obtained by calculating the amount of distortion of every particle in the 200 images compared with the corresponding particle in the reference image. By time-averaging 200 distortion vector fields, the vector field of the main distortion was obtained, as shown in Figure 17.
The micrometer screw was gently turned to rotate the disc by 0.2 degrees. The in-plane displacement to the disc was loaded, and then 100 images of the specimen were taken through the heat waves. The main distortion displacement field was utilized to remap the 100 images to remove the main distortion on them. Then, using the time-average method, 100 images with the main distortion removed were averaged to remove the random distortion. The image with the heat wave disturbance removed was finally obtained, as shown in Figure 18. The corrected image was correlated to the reference image to complete the DIC measurement. The measurement result is shown in Figure 19, and the components of the displacement field in the U and V directions are shown in Figure 20. It can be seen that the influence of the heat waves on the DIC measurement result was corrected, as compared with Figure 14 and Figure 15.
In order to further prove that the proposed method can improve the measurement accuracy of DIC, a plot of displacement in U direction vs. Y (X = 226) and a plot of displacement in V direction vs. X (Y = 226) are shown in Figure 21.
The root means square error (RMSE) is used to evaluate the displacement measurement results before and after the correction. The RMSE reflects the degree to which the measured value deviates from the real value, and can reflect the accuracy of the measurement. The smaller the root mean square error, the higher the measurement accuracy. The calculation formula of the RMSE is shown in Equation (5) [35].
R M S E = i = 1 n ( X i X t u r e , i ) 2 n
where X i is the measured value, the X t u r e , i is the real value and the n is the number of measurements. The RMSE of the measurement of the displacement component in the U direction before correction was 0.0732 pixels, while it was 0.0126 pixels after correction. The RMSE of the measurement of the displacement component in V direction before correction was 0.0711 pixels, while it was 0.0102 pixels after correction.

5. Conclusions

This paper proposes a correction method based on the background-oriented schlieren technique. The method can correct the distortion caused by heat waves to digital image correlation measurements. Through theoretical analysis and experiments, the characteristics of the distortion due to heat waves on the images were researched. The effectiveness of the proposed method was verified by experiments. Through the research of this paper, the following conclusions are drawn:
  • The distortion on the images caused by heat waves can be divided into the main distortion and a random distortion. In the experiments performed in this paper, the main distortion reached 0.05 pixels, and the most significant swing amplitude of the random distortion reached 0.2 pixels. The effect of this distortion on the measurement results of digital image correlation is not negligible.
  • Spot patterns used in digital image correlation measurements can also be used in the background-oriented schlieren technique. The background schlieren method can be used to obtain the vector displacement fields of the main distortion caused by heat waves.
  • The main distortion vector obtained by the background-oriented schlieren technique remap the deformed images to eliminate the main distortion. Then, the time-average method should be used to eliminate the random distortion. The experimental results showed that the proposed correction method can effectively remove the disturbance of heat waves and obtain high precision DIC measurement results.
Although the proposed method can effectively improve the measurement accuracy of DIC, it also has a certain limitation. This method is especially suitable for cases where the temperature of the heat source is stable. When the temperature changes drastically, the correction is less than ideal.

Author Contributions

Conceptualization, C.M.; Data curation, Z.Z.; Formal analysis, X.R.; Funding acquisition, H.Z.; Investigation, C.M.; Methodology, C.M.; Project administration, Z.Z.; Resources, Z.Z.; Software, X.R.; Supervision, Z.Z.; Validation, H.Z.; Visualization, C.M.; Writing—original draft, C.M.; Writing—review & editing, H.Z. and X.R.; All authors reviewed the manuscript.

Funding

This research was funded by the National Key R&D Program of China (No. 2016YFF0101802) and Natural Science Foundation of Tianjin (No. 17JCYBJC19300).

Conflicts of Interest

The authors declare no conflict of interest.

References

  1. Zettergren, M.D.; Semeter, J.L.; Dahlgren, H. Dynamics of density cavities generated by frictional heating: Formation, distortion, and instability. Geophys. Res. Lett. 2015, 42, 10120–10125. [Google Scholar] [CrossRef]
  2. Santos, A.C. High temperature modal analysis of a non-uniformly heated rectangular plate: Experiments and simulations. J. Sound. Vib. 2019, 443, 397–410. [Google Scholar] [CrossRef]
  3. Devesse, W.; De Baere, D.; Guillaume, P. High Resolution Temperature Measurement of Liquid Stainless Steel Using Hyperspectral Imaging. Sensors 2017, 1, 91. [Google Scholar] [CrossRef] [PubMed]
  4. Pan, B. Digital image correlation for surface deformation measurement: History developments, recent advances and future goals. Meas. Sci. Technol. 2018, 29, 082001. [Google Scholar] [CrossRef]
  5. Yoneyama, S. Basic principle of digital image correlation for in-plane displacement and strain measurement. Adv. Compos. Mater. 2016, 25, 105–123. [Google Scholar] [CrossRef]
  6. Hu, Y.J.; Jiang, C.; Liu, W.; Yu, Q.Q.; Zhou, Y.L. Degradation of the In-plane Shear Modulus of Structural BFRP Laminates Due to High Temperature. Sensors 2018, 10, 3361. [Google Scholar] [CrossRef]
  7. Moazzami, M.; Ayatollahi, M.R.; Chamani, H.R. Determination of higher order stress terms in cracked Brazilian disc specimen under mode I loading using digital image correlation technique. Opt. Lasers. Eng. 2018, 107, 344–352. [Google Scholar] [CrossRef]
  8. Rahmatabadi, D.; Shahmirzaloo, A.; Hashemi, R. Using digital image correlation for characterizing the elastic and plastic parameters of ultrafine-grained Al 1050 strips fabricated via accumulative roll bonding process. Mater. Res. Express 2019, 6, 086542. [Google Scholar] [CrossRef]
  9. Sutton, M.A.; Hild, F. Recent advances and perspectives in digital image correlation. Exp. Mech. 2015, 55, 1–8. [Google Scholar] [CrossRef]
  10. Smrkic, M.F.; Koscak, J.; Damjanovic, D. Application of 2D digital image correlation for displacement and crack width measurement on RC elements. Građevinar 2018, 70, 771–781. [Google Scholar]
  11. Novak, M.D.; Zok, F.W. High-temperature materials testing with full-field strain measurement: Experimental design and practice. Rev. Sci. Instrum. 2011, 82, 115101. [Google Scholar] [CrossRef] [PubMed]
  12. Jenner, F.; Walter, F.W. Application of high-speed video extensometry for high-temperature tensile characterization of boron heat-treated steels. J. Strain. Anal. Eng. Des. 2014, 49, 378–387. [Google Scholar] [CrossRef]
  13. Chen, L.; Wang, Y.H.; Dan, X.Z. Experimental research of digital image correlation system in high temperature test. In Proceedings of the 7th International Symposium on Precision Mechanical Measurements, Xiamen, China, 7–12 August 2015. [Google Scholar]
  14. Bao, S.; Wang, Y.H.; Liu, L. An error elimination method for high-temperature digital image correlation using color speckle and camera. Opt. Lasers. Eng. 2019, 116, 47–54. [Google Scholar] [CrossRef]
  15. Dong, Y.; Pan, B. In-situ 3D shape and recession measurements of ablative materials in an arc-heated wind tunnel by stereo-digital image correlation. Opt. Lasers. Eng. 2019, 116, 75–81. [Google Scholar] [CrossRef]
  16. Song, J.; Yang, J.; Liu, F. High temperature strain measurement method by combining digital image correlation of laser speckle and improved RANSAC smoothing algorithm. Opt. Lasers. Eng. 2018, 111, 8–18. [Google Scholar] [CrossRef]
  17. Zhang, M.; Miao, H.; Xiong, C. On the correction method for distortion caused by heat flow in high temperature deformation measurement. J. Exp. Mech. 2017, 32, 718–724. [Google Scholar]
  18. Hu, Y.; Bao, S.; Dan, X. Improvement of high-temperature deformation measurement accuracy based on image restoration method. Meas. Sci. Technol. 2018, 29, 094002. [Google Scholar] [CrossRef]
  19. Hao, W.F.; Zhu, J.G.; Zhu, Q. Displacement field denoising for high-temperature digital image correlation using principal component analysis. Mech. Adv. Mater. Struc. 2016, 24, 830–839. [Google Scholar] [CrossRef]
  20. Su, Y.Q.; Yao, X.F.; Wang, S. Improvement on measurement accuracy of high-temperature DIC by grayscale-average technique. Opt. Lasers. Eng. 2015, 75, 10–16. [Google Scholar] [CrossRef]
  21. Raffel, M. Background-oriented schlieren (BOS) techniques. Exp. Fluids. 2015, 56, 60. [Google Scholar] [CrossRef]
  22. Born, M.; Wolf, E.; Bhatia, A.B. Principles of Optics: Electromagnetic Theory of Propagation, Interference and Diffraction of Light, 7rd ed.; Cambridge University Press: Cambridge, UK, 2016; pp. 99–117. [Google Scholar]
  23. Iizuka, K. Engineering Optics, 3rd ed.; Springer: Berlin, Germany, 2008; pp. 235–290. [Google Scholar]
  24. Ciddor, P.E. Refractive index of air: New equations for the visible and near infrared. Appl. Optics. 1996, 35, 1566–1573. [Google Scholar] [CrossRef] [PubMed]
  25. Meier, G.E.A. Computerized background-oriented schlieren. Exp. Fluids. 2002, 33, 181–187. [Google Scholar] [CrossRef]
  26. Verso, L.; Liberzon, A. Background oriented schlieren in a density stratified fluid. Rev. Sci. Instrum. 2015, 86, 103705. [Google Scholar] [CrossRef] [PubMed]
  27. Mizukaki, T.; Wakabayashi, K.; Matsumura, T. Background-oriented schlieren with natural background for quantitative visualization of open-air explosions. Shock Waves 2014, 24, 69–78. [Google Scholar] [CrossRef]
  28. Tanda, G.; Foss, A.M.; Misale, M. Heat transfer measurements in water using a schlieren technique. Int. J. Heat. Mass. Tran. 2014, 71, 451–458. [Google Scholar] [CrossRef]
  29. Blaber, J.; Adair, B.; Antoniou, A. Ncorr: Open-source 2D digital image correlation software. Exp. Mech. 2015, 55, 1105–1122. [Google Scholar] [CrossRef]
  30. Jones, E.M.C.; Reu, P.L.; Antoniou, A. Distortion of digital image correlation (DIC) displacements and strains from heat waves. Exp. Mech. 2018, 58, 1133–1156. [Google Scholar] [CrossRef]
  31. Sutton, M.A.; Orteu, J.J. Image Correlation for Shape, Motion and Deformation Measurement: Basic Concepts, Theory and Applications; Springer: New York, NY, USA, 2009. [Google Scholar]
  32. Schreier, H.W.; Braasch, J.R.; Sutton, M.A. Systematic errors in digital image correlation caused by intensity interpolation. Opt. Eng. 2000, 39, 2915–2921. [Google Scholar] [CrossRef]
  33. Baldi, A.; Bertolino, F. Experimental analysis of the errors due to polynomial interpolation in digital image correlation. Strain 2015, 51, 248–263. [Google Scholar] [CrossRef]
  34. Reu, P.L. Introduction to digital image correlation: Best practices and applications. Exp. Tech. 2012, 36, 3–4. [Google Scholar] [CrossRef]
  35. Chai, T.; Draxler, R.R. Root mean square error (RMSE) or mean absolute error (MAE)?—Arguments against avoiding RMSE in the literature. Geosci. Model. Dev. 2014, 7, 1247–1250. [Google Scholar] [CrossRef]
Figure 1. Schematic diagram of simplified experimental setup.
Figure 1. Schematic diagram of simplified experimental setup.
Applsci 09 03851 g001
Figure 2. Schematic diagram of optical distortion correlation method based on the BOS technique.
Figure 2. Schematic diagram of optical distortion correlation method based on the BOS technique.
Applsci 09 03851 g002
Figure 3. Flow chart of the correction method.
Figure 3. Flow chart of the correction method.
Applsci 09 03851 g003
Figure 4. Schematic diagram of the experimental system.
Figure 4. Schematic diagram of the experimental system.
Applsci 09 03851 g004
Figure 5. Measured object.
Figure 5. Measured object.
Applsci 09 03851 g005
Figure 6. Experimental device diagram: (a) The camera is facing vertically to the measured object; (b) Temperature control box; (c) Hot plate in front of the measured object.
Figure 6. Experimental device diagram: (a) The camera is facing vertically to the measured object; (b) Temperature control box; (c) Hot plate in front of the measured object.
Applsci 09 03851 g006
Figure 7. Region of Interest (ROI) in DIC measurement.
Figure 7. Region of Interest (ROI) in DIC measurement.
Applsci 09 03851 g007
Figure 8. Representative contour plots of the displacements and strains computed in the DIC measurement without the introduction of a heat source: (a) Displacement in U direction; (b) displacement in V direction; (c) strain εxx; (d) strain εxy; (e) strain εyy.
Figure 8. Representative contour plots of the displacements and strains computed in the DIC measurement without the introduction of a heat source: (a) Displacement in U direction; (b) displacement in V direction; (c) strain εxx; (d) strain εxy; (e) strain εyy.
Applsci 09 03851 g008
Figure 9. Representative contour plots of the displacements and strains computed in DIC measurement affected by heat waves: (a) Displacement in U direction; (b) displacement in V direction; (c) strain εxx; (d) strain εxy; (e) strain εyy.
Figure 9. Representative contour plots of the displacements and strains computed in DIC measurement affected by heat waves: (a) Displacement in U direction; (b) displacement in V direction; (c) strain εxx; (d) strain εxy; (e) strain εyy.
Applsci 09 03851 g009
Figure 10. Displacement of the center subset as a function of time: (a) U direction; (b) V direction.
Figure 10. Displacement of the center subset as a function of time: (a) U direction; (b) V direction.
Applsci 09 03851 g010
Figure 11. The average main distortion at each temperature.
Figure 11. The average main distortion at each temperature.
Applsci 09 03851 g011
Figure 12. Displacement field measured without the influence of heat waves.
Figure 12. Displacement field measured without the influence of heat waves.
Applsci 09 03851 g012
Figure 13. Displacement fields obtained from the DIC measurement without the influence of heat waves: (a) Component in U direction; (b) component in V direction.
Figure 13. Displacement fields obtained from the DIC measurement without the influence of heat waves: (a) Component in U direction; (b) component in V direction.
Applsci 09 03851 g013
Figure 14. Displacement field measured with the influence of heat waves.
Figure 14. Displacement field measured with the influence of heat waves.
Applsci 09 03851 g014
Figure 15. Displacement fields obtained from DIC measurement with the influence of heat waves: (a) Component in U direction; (b) component in V direction.
Figure 15. Displacement fields obtained from DIC measurement with the influence of heat waves: (a) Component in U direction; (b) component in V direction.
Applsci 09 03851 g015
Figure 16. Displacement field after time average: (a) Component in U direction; (b) Component in V direction.
Figure 16. Displacement field after time average: (a) Component in U direction; (b) Component in V direction.
Applsci 09 03851 g016
Figure 17. Main distortion measured by the BOS technique: (a) Displacement vector distribution (the box represents local amplification results); (b) resultant displacement vector distribution.
Figure 17. Main distortion measured by the BOS technique: (a) Displacement vector distribution (the box represents local amplification results); (b) resultant displacement vector distribution.
Applsci 09 03851 g017
Figure 18. Corrected image obtained by the proposed method (The blue box is the region where the DIC calculation is performed).
Figure 18. Corrected image obtained by the proposed method (The blue box is the region where the DIC calculation is performed).
Applsci 09 03851 g018
Figure 19. Displacement field after correction.
Figure 19. Displacement field after correction.
Applsci 09 03851 g019
Figure 20. Displacement fields obtained from DIC measurement using the corrected image: (a) Component in U direction; (b) component in V direction.
Figure 20. Displacement fields obtained from DIC measurement using the corrected image: (a) Component in U direction; (b) component in V direction.
Applsci 09 03851 g020
Figure 21. Plots of displacement in U vs. Y and in V vs. X: (a) Displacement component in U direction vs. Y (X = 226); (b) displacement component in V direction vs. X (Y = 226).
Figure 21. Plots of displacement in U vs. Y and in V vs. X: (a) Displacement component in U direction vs. Y (X = 226); (b) displacement component in V direction vs. X (Y = 226).
Applsci 09 03851 g021
Table 1. Baseline noise floor for the experimental setup, without the purposeful introduction of a heat source, quantified by spatial and temporal standard deviations (STD) of the data.
Table 1. Baseline noise floor for the experimental setup, without the purposeful introduction of a heat source, quantified by spatial and temporal standard deviations (STD) of the data.
ComponentSpatial STDTemporal STD
U (pixels)0.00370.0023
V (pixels)0.00400.0024
εxx (%)0.00770.0040
εxy (%)0.00470.0027
εyy (%)0.00760.0039
Table 2. Mean error of displacements and strains caused by imaging through heat waves, quantified by spatial and temporal standard deviations (STD) of the data.
Table 2. Mean error of displacements and strains caused by imaging through heat waves, quantified by spatial and temporal standard deviations (STD) of the data.
ComponentSpatial STDTemporal STD
U (pixels)0.05160.0108
V (pixels)0.03650.0069
εxx (%)0.11000.0336
εxy (%)0.04900.0139
εyy (%)0.05900.0149

Share and Cite

MDPI and ACS Style

Ma, C.; Zeng, Z.; Zhang, H.; Rui, X. A Correction Method for Heat Wave Distortion in Digital Image Correlation Measurements Based on Background-Oriented Schlieren. Appl. Sci. 2019, 9, 3851. https://doi.org/10.3390/app9183851

AMA Style

Ma C, Zeng Z, Zhang H, Rui X. A Correction Method for Heat Wave Distortion in Digital Image Correlation Measurements Based on Background-Oriented Schlieren. Applied Sciences. 2019; 9(18):3851. https://doi.org/10.3390/app9183851

Chicago/Turabian Style

Ma, Chang, Zhoumo Zeng, Hui Zhang, and Xiaobo Rui. 2019. "A Correction Method for Heat Wave Distortion in Digital Image Correlation Measurements Based on Background-Oriented Schlieren" Applied Sciences 9, no. 18: 3851. https://doi.org/10.3390/app9183851

APA Style

Ma, C., Zeng, Z., Zhang, H., & Rui, X. (2019). A Correction Method for Heat Wave Distortion in Digital Image Correlation Measurements Based on Background-Oriented Schlieren. Applied Sciences, 9(18), 3851. https://doi.org/10.3390/app9183851

Note that from the first issue of 2016, this journal uses article numbers instead of page numbers. See further details here.

Article Metrics

Back to TopTop