Experimental Research on the Properties of Rock-Filled Concrete
Abstract
1. Introduction
2. Design for Mix Proportion of RFC and Construction Technology
2.1. Mix Proportion of SCC and Materials
2.2. Construction Technology of RFC
3. Experimental Tests for the Properties of Rock-Filled Concrete
3.1. Appearance of RFC Core Specimens
3.2. Porosity of Rock-Filled Concrete
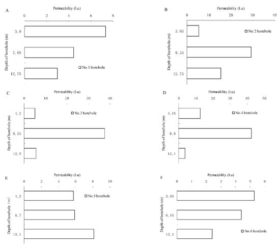
3.3. Water Pressure Test
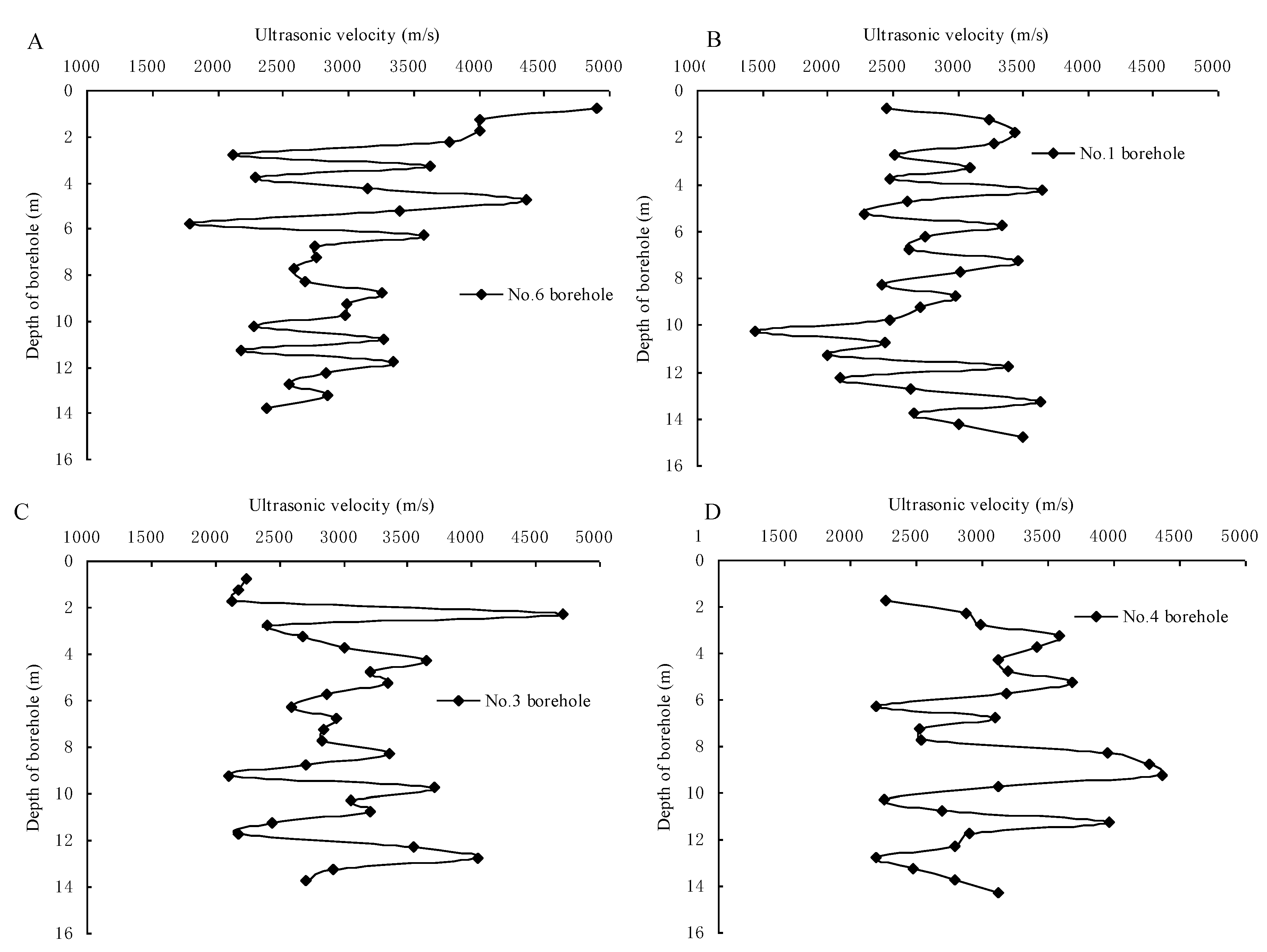
3.4. Ultrasonic Test
3.5. Compressive Test
4. Discussion
- (1)
- There exist some obvious defects in RFC with randomness and uncontrollability, which can form interconnected fractures, leading to dam permeability increases, and causing hidden problems that affect dam safety, so normal concrete should be adopted for use in the key parts of dam, such as the upstream face of dam; water draining surface of the outlet dam section, etc.
- (2)
- Some kinds of defects in RFC can be eliminated or reduced by improving the construction technology, but it is extremely hard to avoid all defects. The large sized voids existing in interfacial transition zone, should be eliminated to the greatest extent possible. This kind of defects, formed mainly because the air contained in the big and deep concaves depressions on the surface of rock blocks or sealed spaces formed in the process of rock block piling, cannot be ruled out when SCC fills the voids of rock blocks. By reducing the size of rock blocks and improving the liquidity of SCC, this kind of defects can be reduced, but other defects, such as some joints existing in many big rock blocks that are very difficult to fill with SCC, or small bubbles in SCC mixed during SCC filling, are rather difficult to eliminate. How to eliminate or reduce these defects have been the key subjects in RFC research fields in order to improve the performance of RFC.
- (3)
- Owing to the effects of big sized rock block and construction technology of RFC in the actual project, there exist sealed spaces formed in the process of rock block piling, which caused the quality of RFC to be non-uniform, with obvious and centralized defects, when compared with lab RFC. Consequently, the quality of RFC poured in an actual project is quite different from that seen in the lab. Therefore, test methods based on small specimen cannot entirely indicate the quality of RFC dams, and how to inspect the quality of massive RFC should become key subjects in RFC research fields.
5. Conclusions
- (1)
- Through the appearance of RFC core specimens, four kinds of defects exist within RFC, which are large sized voids existing in ITZ between SCC and rock block; bad cohesion in ITZ; joints within rock block; voids within SCC. The existence of those defects are essential factors that result in an obvious non-homogeneity of RFC and reduce its quality.
- (2)
- The quality of RFC dams shows an obvious non-homogeneity, whose porosity changes from 0.34% to 22.37% with great variation. The permeability mainly ranges from 2.41 Lu to 10.41 Lu, with local values exceeding 25.52 Lu. The ultrasonic velocity mainly fluctuates from 2200 m/s to 3800 m/s with a standard deviation of 650.5 m/s. The compressive strength mainly varies from 15.8 Mpa to 32 Mpa, and locally can be more than 50 Mpa. Thus the data shows a relatively great dispersion due to uneven distribution of some defects in RFC. Although obvious non-homogeneity existed, the quality of RFC can basically meet the requirements of dam design, exceeding the design strength C15. By careful analysis, the non-homogeneity of RFC is mainly influenced by uneven distribution of some defects, which are produced during pouring. Therefore, the quality of massive RFC is mainly controlled by the construction technology and only slightly influenced by the SCC and rock blocks.
Author Contributions
Funding
Acknowledgments
Conflicts of Interest
References
- An, X.H.; Huang, M.S.; Ouchi, M.; Jin, F. Technical Manual for Self-Compacting Concrete; China Water Power Press: Beijing, China, 2008. (In Chinese) [Google Scholar]
- Jin, F.; An, X.H.; Shi, J.J.; Zhang, C.H. Study on rock-fill concrete dam. J. Hydraul. Eng. 2005, 36, 1347–1352. (In Chinese) [Google Scholar]
- Jin, F.; Zhou, H.; An, X. Research on rock-filled concrete dam. Int. J. Civ. Eng. 2019, 17, 495–500. [Google Scholar] [CrossRef]
- Huang, M.S.; Zhou, H.; An, X.H.; Jin, F. A pilot study on integrated properties of Rock-Filled Concrete. J. Build. Mater. 2008, 11, 206–211. [Google Scholar]
- Shi, J.J.; Zhang, Z.H.; Jin, F.; Zhang, C. Experimental research on mechanical behavior of self-compacting rock-fill concrete. Chin. J. Rock Mech. Eng. 2007, 26, 3231–3236. (In Chinese) [Google Scholar]
- An, X.; Wu, Q.; Jin, F.; Huang, M.; Zhou, H.; Chen, C.; Liu, C. Rock-filled concrete, the new norm of SCC in hydraulic engineering in China. Cem. Concr. Compos. 2014, 54, 89–99. [Google Scholar] [CrossRef]
- Alyama, K.E.; Ince, R. A preliminary concrete mix design for SCC with marble powders. Constr. Build. Mater. 2009, 23, 1201–1210. [Google Scholar] [CrossRef]
- Dinakar, P.; Manu, S.N. Concrete mix design for high strength self-compacting concrete using metakaolin. Mater. Des. 2014, 60, 661–668. [Google Scholar] [CrossRef]
- Khaleel, O.R.; Razak, H.A. Mix design method for self compacting metakaolin concrete with different properties of coarse aggregate. Mater. Des. 2014, 53, 691–700. [Google Scholar] [CrossRef]
- Ozbay, E.; Oztas, A.; Baykasoglu, A.; Ozbebek, H. Investigating mix proportions of high strength self compacting concrete by using Taguchi method. Constr. Build. Mater. 2009, 23, 694–702. [Google Scholar] [CrossRef]
- Nepomuceno, M.C.S.; Pereira-de-Oliveira, L.A.; Lopes, S.M.R. Methodology for the mix design of self-compacting concrete using different mineral additions in binary blends of powders. Constr. Build. Mater. 2014, 64, 82–94. [Google Scholar] [CrossRef]
- Chen, H.; Zhu, Z.; Liu, L.; Sun, W.; Miao, C. Aggregate shape effect on the overestimation of ITZ thickness: Quantitative analysis of Platonic particles. Powder Technol. 2016, 289, 1–17. [Google Scholar] [CrossRef]
- Lee, K.M.; Park, J.H. A numerical model for elastic modulus of concrete considering interfacial transition zone. Cem. Concr. Res. 2008, 38, 396–402. [Google Scholar] [CrossRef]
- Leemann, A.; Münch, B.; Gasser, P.; Holzer, L. Influence of compaction on the interfacial transition zone and the permeability of concrete. Cem. Concr. Res. 2006, 36, 1425–1433. [Google Scholar] [CrossRef]
- Wang, Y.Y.; Jin, F.; Xie, Y.T. Experimental study on effects of casting procedures on compressive strength, water permeability, and interfacial transition zone porosity of rock-filled concrete. J. Mater. Civ. Eng. 2016, 28, 04016055. [Google Scholar] [CrossRef]
- Rangaraju, P.R.; Olek, J.; Diamond, S. An investigation into the influence of inter-aggregate spacing and the extent of the ITZ on properties of Portland cement concretes. Cem. Concr. Res. 2010, 40, 1601–1608. [Google Scholar] [CrossRef]
- Xie, Y.; Corr, D.J.; Chaouche, M.; Jin, F.; Shah, S.P. Experimental study of filling capacity of self-compacting concrete and its influence on the properties of rock-filled concrete. Cem. Concr. Res. 2014, 56, 121–128. [Google Scholar] [CrossRef]
- Elsharief, A.; Cohen, M.D.; Olek, J. Influence of aggregate size, water cement ratio and age on the microstructure of the interfacial transition zone. Cem. Concr. Res. 2003, 33, 1837–1849. [Google Scholar] [CrossRef]
- Silva, P.R.D.; Brito, J.D. Experimental study of the porosity and microstructure of self-compacting concrete (SCC) with binary and ternary mixes of fly ash and limestone filler. Constr. Build. Mater. 2015, 86, 101–112. [Google Scholar] [CrossRef]
- Gao, Y.; De Schutter, G.; Ye, G.; Tan, Z.; Wu, K. The ITZ microstructure, thickness and porosity in blended cementitious composite: Effects of curing age, water to binder ratio and aggregate content. Compos. Part B 2014, 60, 1–13. [Google Scholar] [CrossRef]
- The Ministry of Water Resources of the P.R.C. Code for Design of Occupational Safety and Health of Water Resources and Hydropower Projects; (GB 50706-2011); China Planning Press: Beijing, China, 2012. (In Chinese)
- The National Energy Administration of the P.R.C. Construction Specification for Hydraulic Roller Compacted Concrete; (DL/T 5112-2009); China Power Press: Beijing, China, 2009. (In Chinese)
- Ye, M.X. Measurement method of porosity in concrete. Hydro Sci. Eng. Res. 1997, 4, 379–385. (In Chinese) [Google Scholar]
- Qiu, J.; Khalloufi, S.; Martynenko, A.; Van Dalen, G.; Schutyser, M.; Almeida-Rivera, C. Porosity, bulk density, and volume reduction during drying: review of measurement methods and coefficient determinations. Dry. Technol. 2015, 33, 1681–1699. [Google Scholar] [CrossRef]
- Raut, P.; Liang, W.; Chen, Y.M.; Zhu, Y.; Jana, S.C. Syndiotactic polystyrene-based ionogel membranes for high temperature electrochemical applications. ACS Appl. Mater. Interfaces 2017, 9, 30933–30942. [Google Scholar] [CrossRef] [PubMed]
- The Ministry of Water Resources of the P.R.C. Code of Water Pressure Test in Borehole for Water Resources and Hydropower Engineering; (SL31-2003); China Water & Power Press: Beijing, China, 2003. (In Chinese)
- Peng, X.S. Application of a transceiver Sonic Logging in Water Conservancy Project. Heilongjiang Sci. Technol. Water Conserv. 2014, 42, 53–55. (In Chinese) [Google Scholar]
- China Association of Engineering Construction Standardization. Technical Specification for Inspection of Concrete Defects by Ultrasonic Method; (CECS 21:2001); China City Press: Beijing, China, 2001. (In Chinese) [Google Scholar]
- Huang, K.Z.; Mao, S.P. Stochastic Method and Application of Fuzzy Mathematics; Tongji University Press: Shanghai, China, 1987. (In Chinese) [Google Scholar]
- The Ministry of Water Resources of the P.R.C. Test Code for Hydraulic Concrete; (SL352-2006); China Water & Power Press: Beijing, China, 2006. (In Chinese)










| Types of Defects | Defect Characteristics | Defect Picture | Reason for Defects |
|---|---|---|---|
| Large sized void in ITZ between SCC and rock block | This type of defect is usually located in the ITZ, with small number and large size, which can form irregular shape, such as strip, triangle, some of which is as large as 10 cm length, 3.5 cm width, 4.0 cm depth. Honeycomb shaped void on the SCC surface is shown. | ![]() | There are some great concaves or wide fractures, existing on the surface of rock block, which make air contain into concaves or fractures, not to release totally, thus to form bubbles, while SCC casting process. Such bubbles contained within RFC can result in this defect. |
| Bad cohesion in ITZ | This type of defect, with small scale, is located in the ITZ, making strip shaped distribution. In some place of defect zone, cohesion of SCC with RB is well, but in other place is bad, with a few fractures or mud. | ![]() | This defect is caused by air film or mud on the surface of rock block, formed in SCC casting process. This defect can result in bad cohesion of SCC with rock block. |
| Joints within rock block | This type of defect is due to joints within rock block, influenced by attitude of joints, some of which, with erect or steep, can have great effect on quality of RFC. | ![]() | The reason of this defect is joints containing in natural RB. If RB is very large, the number and scale of joints is also great, which can lead to great defects. |
| Void within SCC | This type of defect exists in SCC, presenting sphere shape, with large number and small scale, some of which are relatively large, with 10 cm diameter, 5~10 mm depth. | ![]() | This defect results from bubble in SCC, entrainment into air when casting SCC. |
© 2019 by the authors. Licensee MDPI, Basel, Switzerland. This article is an open access article distributed under the terms and conditions of the Creative Commons Attribution (CC BY) license (http://creativecommons.org/licenses/by/4.0/).
Share and Cite
Wei, H.; Zhang, G.; Sun, F.; Wang, M.; Li, W.; Xu, J. Experimental Research on the Properties of Rock-Filled Concrete. Appl. Sci. 2019, 9, 3767. https://doi.org/10.3390/app9183767
Wei H, Zhang G, Sun F, Wang M, Li W, Xu J. Experimental Research on the Properties of Rock-Filled Concrete. Applied Sciences. 2019; 9(18):3767. https://doi.org/10.3390/app9183767
Chicago/Turabian StyleWei, Hai, Guohui Zhang, Fanfan Sun, Mingming Wang, Wenhai Li, and Juncai Xu. 2019. "Experimental Research on the Properties of Rock-Filled Concrete" Applied Sciences 9, no. 18: 3767. https://doi.org/10.3390/app9183767
APA StyleWei, H., Zhang, G., Sun, F., Wang, M., Li, W., & Xu, J. (2019). Experimental Research on the Properties of Rock-Filled Concrete. Applied Sciences, 9(18), 3767. https://doi.org/10.3390/app9183767





