Impact Performance of Helmholtz Self-Excited Oscillation Waterjets Used for Underground Mining
Abstract
Featured Application
Abstract
1. Introduction
2. Research Method
2.1. Nozzles and Specimen
2.2. Experimental Setup
2.3. Numerical Simulation Setup
3. Results and Discussion
3.1. Velocity Distribution
3.2. Erosion Pattern on Specimen Surface
3.3. Cavitation Erosion Intensity
3.3.1. Influence of Cavity Length
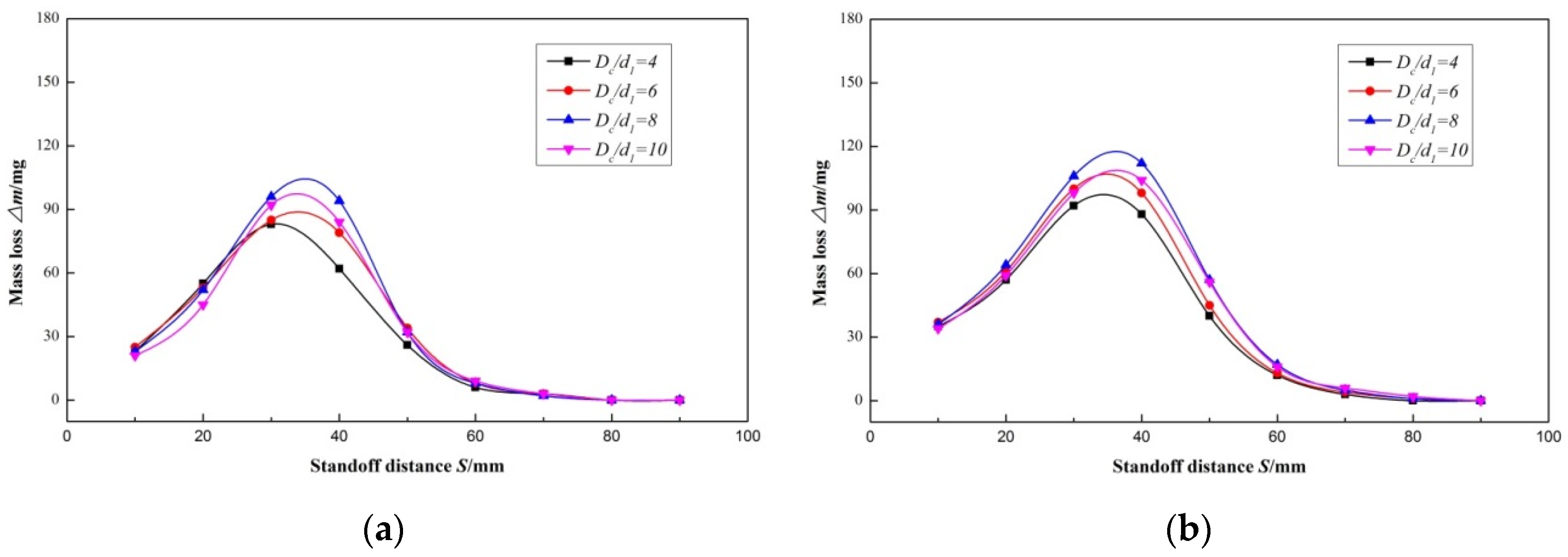
3.3.2. Influence of Cavity Diameter
3.3.3. Surface Roughness of the Erosion Specimen
4. Conclusions
- (1)
- The cavitation damage caused by the HSEOW nozzle on the specimen was mainly the jet cavitation cloud under submerged conditions. The energy was intense near the axis of jets where the cavitation was severe so that the pits were deeper than other places. The density of holes and the damage intensity weakened with the increase of radial distance.
- (2)
- Under the same operating conditions, the cavitation produced by the HSEOW nozzle had a greater impact capacity than that of a conical nozzle, which indicated that cavitation was the major factor of destructive mechanism.
- (3)
- As the cavity length increased, the corresponding optimal standoff distance decreased, while the effect of cavity diameter was not as obvious as that of cavity length. A dimensionless cavity length of 2 and a dimensionless cavity diameter of 8 led to the maximum mass loss while the structure was favorable to the formation of a pulse jet.
- (4)
- HSEOW nozzles have a great advantage of material removal. In this paper, the influence of cavitation was further studied, which illuminated the main failure mechanism of HSEOW; the change law of material removal at different cavity lengths and diameters was obtained. The results will provide theoretical and nozzle selection basis in underground mining.
Author Contributions
Funding
Acknowledgments
Conflicts of Interest
Abbreviations
| x | Axial direction |
| y | Radial direction |
| d1 | Upstream nozzle diameter |
| d2 | Downstream nozzle diameter |
| α | Impinge wall angle |
| Lc | Cavity length |
| Dc | Cavity diameter |
| ρ | Medium density |
| u | Medium velocity |
| p | Medium pressure |
| P0 | Inlet pressure |
| S | Standoff distance |
| u0 | Average velocity at nozzle inlet |
| uav | Average velocity at nozzle outlet |
| ux | X velocity |
| uy | Y velocity |
| Δt | Time interval |
| t | Transient time |
| t0 | Initial time |
| Mass transfer rate | |
| Rb | Bubble radius |
| Nb | Bubble number density |
| pb | Bubble surface pressure |
| αv | Vapor volume fraction |
| pv | Saturation vapor pressure |
| ρl | Liquid density |
| σ | Liquid surface tension coefficient |
| Δm | Mass loss |
References
- Dehkhoda, S.; Hood, M. An Experimental Study of Surface and Sub-Surface Damage in Pulsed Water-Jet Breakage of Rocks. Int. J. Rock Mech. Min. 2013, 63, 138–147. [Google Scholar] [CrossRef]
- McLean, R.H. Crossflow and Impact under Jet Bit. J. Pet. Technol. 1964, 16, 1299–1306. [Google Scholar] [CrossRef]
- Shen, Z.H.; Sun, Q. Study of Pressure Attenuation of a Submerged, Nonfree jet and a Method of Calculation for Bottomhole Hydraulic parameters. SPE Dril. Eng. 1988, 3, 69–76. [Google Scholar] [CrossRef]
- Taherdangkoo, R.; Taherdangkoo, M. Modified Stem Cells Algorithm-based Neural Network Applied to Bottomhole Circulating Pressure in Underbalanced Drilling. Int. J. Pet. Eng. 2015, 1, 178–188. [Google Scholar] [CrossRef]
- Wen, J.W.; Chen, C. Optimizing the Structure of the Straight Cone Nozzle and the Parameters of Borehole Hydraulic Mining for Huadian Oil Shale Based on Experimental Research. Energies 2017, 10, 2021. [Google Scholar] [CrossRef]
- Ge, Z.L.; Deng, K.; Lu, Y.Y.; Cheng, L.; Zuo, S.J.; Tian, X.D. A Novel Method for Borehole Blockage Removal and Experimental Study on a Hydraulic Self-Propelled Nozzle in Underground Coal Mines. Energies 2016, 9, 698. [Google Scholar] [CrossRef]
- Lu, Y.Y.; Zhou, Z.; Ge, Z.L.; Zhang, X.W.; Li, Q. Research on and Design of a Self-Propelled Nozzle for the Tree-Type Drilling Technique in Underground Coal Mines. Energies 2015, 8, 14260–14271. [Google Scholar] [CrossRef]
- Li, G.; Shen, Z.H.; Zhou, C.; Zhang, D.; Chen, H. Investigation and Application of Self-Resonating Cavitation Water Jet in Petroleum Engineering. Pet. Sci. Technol. 2005, 1, 1–15. [Google Scholar]
- Li, G.; Shi, H.; Liao, H.; Shen, Z.; Niu, J.; Huang, Z.; Luo, H. Hydraulic Pulsed Cavitating Jet-Assisted Drilling. Pet. Sci. Technol. 2009, 27, 197–207. [Google Scholar] [CrossRef]
- Morel, T. Experimental Study of a Jet-Driven Helmholtz Oscillator. J. Fluid Eng. Trans. ASME 1979, 101, 383–390. [Google Scholar] [CrossRef]
- Rockwell, D.; Naudascher, E. Review—Self-Sustaining Oscillations of Flow Past Cavities. J. Fluid Eng. Trans. ASME 1978, 100, 152–165. [Google Scholar] [CrossRef]
- Rockwell, D.; Naudascher, E. Self-Sustained Oscillations of Impinging Free Shear Layers. Annu. Rev. Fluid Mech. 1979, 11, 67–94. [Google Scholar] [CrossRef]
- Hu, D.; Li, X.H.; Tang, C.L.; Kang, Y. Analytical and Experimental Investigations of the Pulsed Air-water Jet. J. Fluid Struct. 2015, 54, 88–102. [Google Scholar] [CrossRef]
- Lu, Y.; Li, X.; Yang, L. Effects of Gas Content in Fluid on Oscillating Frequencies of Self-Excited Oscillation Water Jets. J. Fluid Eng. Trans. ASME 2004, 126, 1058–1061. [Google Scholar] [CrossRef]
- Li, D.; Kang, Y.; Wang, X.C.; Ding, X.L.; Fang, Z.L. Effects of Nozzle Inner Surface Roughness on the Cavitation Erosion Characteristics of High Speed Submerged Jets. Exp. Therm. Fluid Sci. 2016, 74, 444–452. [Google Scholar] [CrossRef]
- Li, D.; Kang, Y.; Ding, X.L.; Wang, X.C.; Fang, Z.L. Effects of Area Discontinuity at Nozzle Inlet on the Characteristics of High Speed Self-Excited Oscillation Pulsed Waterjets. Exp. Therm. Fluid Sci. 2016, 79, 254–265. [Google Scholar] [CrossRef]
- Li, D.; Kang, Y.; Ding, X.L.; Wang, X.C.; Liu, W.C. Effects of Feeding Pipe Diameter on the Performance of a Jet-Driven Helmholtz Oscillator Generating Pulsed Waterjets. J. Mech. Sci. Technol. 2017, 31, 1–10. [Google Scholar] [CrossRef]
- Wang, X.L.; Kang, Y.; Zhang, M.D.; Yuan, M.; Li, D. The Effects of the Downstream Contraction Ratio of Organ-Pipe Nozzle on the Pressure Oscillations of Self-Resonating Waterjets. Energies 2018, 11, 3137. [Google Scholar] [CrossRef]
- Liu, W.C.; Kang, Y.; Zhang, M.X.; Wang, X.C.; Li, D. Self-Sustained Oscillation and Cavitation Characteristics of a Jet in a Helmholtz Resonator. Int. J. Heat Fluid Flow 2017, 68, 158–172. [Google Scholar] [CrossRef]
- Liu, W.C.; Kang, Y.; Zhang, M.X.; Wang, X.C.; Li, D.; Xie, L. Experimental and Theoretical Analysis on Chamber Pressure of a Self-Resonating Cavitation Waterjet. Ocean Eng. 2018, 151, 33–45. [Google Scholar] [CrossRef]
- Huang, M.; Kang, Y.; Wang, X.C.; Hu, Y.; Liu, Y.W.; Chen, H. Experimental Investigation on the Rock Erosion Characteristics of a Self-Excited Oscillation Pulsed Supercritical CO2 Jet. Appl. Therm. Eng. 2018, 139, 445–455. [Google Scholar] [CrossRef]
- Stevens, J.; Webb, B.W. Measurements of flow structure in the stagnation zone of impinging free-surface liquid jets. Int. J. Heat Mass Transf. 1993, 36, 4283–4286. [Google Scholar] [CrossRef]
- Johnson, V.; Chahine, G.; Lindenmuth, W.; Conn, A.; Frederick, G.; Giacchino, G. Cavitating and Structured Jets for Mechanical Bits to Increase Drilling Rate—Part I: Theory and Concepts. J. Energy Resour. Technol. 1984, 106, 282–288. [Google Scholar] [CrossRef]
- Jungowski, W.M.; Grabitz, G. Self-Sustained Oscillation of a Jet Impinging upon a Helmholtz Resonator. J. Fluid Mech. 2006, 179, 77–103. [Google Scholar] [CrossRef]
- Li, L.K.B.; Juniper, M.P. Phase Trapping and Slipping in a Forced Hydrodynamically Self-Excited Jet. J. Fluid Mech. 2013, 735, R5. [Google Scholar] [CrossRef]
- Chahine, G.; Johnson, V. Mechanics and Applications of Self-Resonating Cavitating Jets. Proc. Int. Symp. Jets Cav. ASME 1985, 15, 21–33. [Google Scholar]
- Soyama, H.; Yamauchi, Y.; Adachi, Y.; Sato, K.; Shindo, T.; Oba, R. High-Speed Observations of the Cavitation Cloud around a High-Speed Submerged Water-Jet. T-JSME B 2008, 22, 1919–1924. [Google Scholar]
- Yang, M.; Xiao, S.; Kang, C.; Wang, Y. Effect of Geometrical Parameters on Submerged Cavitation Jet Discharged from Profiled Central-Body Nozzle. Chin. J. Mech. Eng. 2013, 26, 476–482. [Google Scholar] [CrossRef]
- Caupin, F.; Herbert, E. Cavitation in Water: A Review. Comptes Rendus Phys. 2006, 7, 1000–1017. [Google Scholar] [CrossRef]
- Li, Z. Criteria for Jet Cavitation and Cavitation Jet Drilling. Int. J. Rock Mech. Min. Sci. 2014, 71, 204–207. [Google Scholar] [CrossRef]
- Hall, J.W.; Ewing, D. On the Dynamics of the Large-Scale Structures in Round Impinging Jets. J. Fluid Mech. 2006, 555, 439–458. [Google Scholar] [CrossRef]
- Liu, W.C.; Kang, Y.; Zhang, M.X.; Zhou, Y.X.; Wang, X.C.; Li, D. Frequency Modulation and Erosion Performance of a Self-Resonating Jet. Appl. Sci. 2017, 7, 932. [Google Scholar]
- Huang, M.; Kang, Y.; Wang, X.C.; Hu, Y.; Li, D.; Cai, C.; Chen, F. Effects of Nozzle Configuration on Rock Erosion under a Supercritical Carbon Dioxide Jet at Various Pressures and Temperatures. Appl. Sci. 2017, 7, 606. [Google Scholar] [CrossRef]
- Hallberg, M.P.; Strykowski, P.J. Open-Loop Control of Fully Nonlinear Self-Excited Oscillations. Phys. Fluids 2008, 20, 041703. [Google Scholar] [CrossRef]


















| d1/mm | d2/d1 | Lc/d1 | Dc/d1 | α/° |
|---|---|---|---|---|
| 2.6 | 1.2 | 1, 2, 3, 4 | 4, 6, 8, 10 | 120 |
| Material | Chinese Industry Standard | Al | Si | Cu | Mg | Zn | Mn | Ti | V | Fe |
|---|---|---|---|---|---|---|---|---|---|---|
| Aluminum | 1060A | 99.6 | 0.25 | 0.05 | 0.03 | 0.05 | 0.03 | 0.03 | 0.05 | 0.35 |
| Material | Chinese Industry Standard | Density ρ (×103 kg/m3) | Elasticity Modulus E (GPa) | Tensile Strength σb (MPa) | Yield Strength σ0.2 (MPa) | Vickers Hardness Hv (GPa) |
|---|---|---|---|---|---|---|
| Aluminum | 1060A | 2.70 | 70 | 105 | 50 | 24 |
| Mesh | Nodes | uav/u0 |
|---|---|---|
| Case 1 (Coarse) | 62,000 | 0.9417 |
| Case 2 (Medium) | 91,000 | 0.9372 |
| Case 3 (Fine) | 127,000 | 0.9371 |
© 2019 by the authors. Licensee MDPI, Basel, Switzerland. This article is an open access article distributed under the terms and conditions of the Creative Commons Attribution (CC BY) license (http://creativecommons.org/licenses/by/4.0/).
Share and Cite
Fang, Z.; Gao, X.; Tao, X.; Li, D.; Zhang, M.; Xiong, T.; Jiang, P. Impact Performance of Helmholtz Self-Excited Oscillation Waterjets Used for Underground Mining. Appl. Sci. 2019, 9, 3235. https://doi.org/10.3390/app9163235
Fang Z, Gao X, Tao X, Li D, Zhang M, Xiong T, Jiang P. Impact Performance of Helmholtz Self-Excited Oscillation Waterjets Used for Underground Mining. Applied Sciences. 2019; 9(16):3235. https://doi.org/10.3390/app9163235
Chicago/Turabian StyleFang, Zhenlong, Xiang Gao, Xia Tao, Deng Li, Mengda Zhang, Ting Xiong, and Pan Jiang. 2019. "Impact Performance of Helmholtz Self-Excited Oscillation Waterjets Used for Underground Mining" Applied Sciences 9, no. 16: 3235. https://doi.org/10.3390/app9163235
APA StyleFang, Z., Gao, X., Tao, X., Li, D., Zhang, M., Xiong, T., & Jiang, P. (2019). Impact Performance of Helmholtz Self-Excited Oscillation Waterjets Used for Underground Mining. Applied Sciences, 9(16), 3235. https://doi.org/10.3390/app9163235

