Next Article in Journal
A Time Integration Method Based on Galerkin Weak Form for Nonlinear Structural Dynamics
Previous Article in Journal
Implementation of an Attribute-Based Encryption Scheme Based on SM9
 
 
Font Type:
Arial Georgia Verdana
Font Size:
Aa Aa Aa
Line Spacing:
Column Width:
Background:
Article

Impact of Particulate Size During Deep Loading on DPF Management

Engineering Department, ‘ROMA TRE’ University, via della vasca navle, 79, 00146 Rome, Italy
*
Author to whom correspondence should be addressed.
Appl. Sci. 2019, 9(15), 3075; https://doi.org/10.3390/app9153075
Submission received: 7 June 2019 / Revised: 17 July 2019 / Accepted: 25 July 2019 / Published: 30 July 2019
(This article belongs to the Section Mechanical Engineering)

Abstract

:
Wall-flow particulate filters are a required emission control device to abate diesel emission in order to comply with current regulations. DPFs (diesel particulate filters) are characterized by high filtration efficiency—but in order to avoid deterioration of power and performance, they are required to cause low values of backpressure. The periodical oxidation of collected particle allows for the reestablishment of the ideal flow conditions. Studies highlighted that the regeneration event has an important impact on engine emission, since it is responsible for the emission of a large number of smaller particles. From these considerations, the importance of optimizing the DPF management for what concerns both filtration and regeneration mechanisms arises. The present paper focuses on the loading process of the filter. A filtration model was implemented, based on the ‘unit-collector’ and fluid-dynamic approaches, known as valid modelling techniques. The model was used to predict trapped mass and filter backpressure evolution with time during loading processes, in which soot particle sizes varied, with the aim to analyze how particulate size affects the filter pressure drop rise. A wall-flow filter was investigated, and the behavior of clean material was evaluated by a parametric analysis in which particle diameter varies in the filed 20–1000 nm, that is the typical range of soot sizes in diesel engine exhaust. The results demonstrate that soot size has a great influence on the initial deep bed loading process. Moreover, it defines the value from which the linear pressure drop shape during cake filtration starts, not only when the initial loaded is completed, but also each time the regeneration event is concluded. This outcome provides an important guideline to define the most appropriate strategy for the initial DPF loading in order to establish the regeneration event based on the estimation of trapped mass accounting for the filter backpressure and on the time interval between two successive regeneration.

1. Introduction

In the past few decades, the tightening of environmental legislation has led to search new solutions and strategies to reduce particulate matter (PM) in diesel engine exhaust. Today, diesel particulate filters (DPFs) are used in diesel engine standard configuration, since it is able to ensure the homologation standards.
Wall-flow DPFs are monolithic honeycomb structures with a bundle of axial parallel channels. Channels are alternatively plugged at each end. The gas flow entering the channels is forced to pass through the porous walls where soot particles are deposited and accumulated until regeneration takes place.
DPF experimental study is often expensive and time-consuming. Literature highlights that experimental activity is mainly focused on specific topics, such as how the engine technology and operation affects the particle emission and DPF behavior during loading and regeneration [1,2,3]; the morphological and structural characteristics of PM, the chemical composition, the effect of fuel-borne additives on PM formation and DPF regeneration [4].
In order to reduce the cost of exhaust after-treatment development modelling approach is quite relevant in a preliminary choice and design concept.
DPF behavior strongly depends on the coupling between physical-chemical phenomena characterized by widely disparate spatial and temporal scales, thus requiring a multi-scale modelling approach which includes everything that occurs in the device.
Three lengths scale coexist at the same time. Filter scale issue takes into account the velocity field upstream from the monolith and channel radial loading distribution. Channel scale includes redistribution flow phenomena, due to changing geometry during filtration and particulate layer growth. Meanwhile, observing porous media, local filtration mechanism and particle transportation to the grains at microscopic length scale need to be taken into account.
Several studies have been conducted, and various models have been proposed based on the lumped parameter, mono-dimensional (1D), two-dimensional (2D), and three-dimensional (3D) approaches.
Most of 1D DPF models for filtration and regeneration process steam from Bisset’s model [5], in which a single channel is analyzed without accounting for the presence of soot layer for low loaded filters. Based on Bisset work, many models have been proposed. Koltsakis et al. [6] developed a lumped parameter model for a catalytic regeneration. In Reference [7], the same authors extended the model to predict the axial propagation of the regeneration front of filter axis and the temporal evolution of soot layer thickness profiles. Konstandopoulos et al. [8] investigated the pressure drop and filtration characteristics of DPF through a spherical collector bed approach. Reference [9] presents an analytical model for transient filtration loading and regeneration of wall-flow DPF. The model is able to account for the filter aging, due to ash accumulation. Reference [10] is devoted to present a comprehensive model in which the information from various spatial scale approaches are integrated. Opris et al. [11] have developed a two-dimensional model to take into account also the transversal flow distribution. Guo et al. [12] presented a 1D model in which the typical U layer shape was deduced. The model was extended to a multi-dimensional approach that provides a numerical solution for all the velocity components inside the channel [13].
Literature highlights the importance of modelling the filtration process to understand layer growth and its interaction with flow stream and furthermore, to gain a priori estimation of the device performance in terms of pressure losses, collected mass and filtration efficiency and to evaluate the interaction between the engine operation and the device.
Moreover, the literature points out that research activity on this topic allowed to develop and realize models able to account for the complex phenomena occurring in the filter.
As most recent papers demonstrate, these models are widely used to address specific aspects and application area of loading and regeneration processes. In Reference [14], the properties of soot cake microstructure are analyzed, and their impact on the pressure drop is investigated. Meng et al. [15] investigate the influence of DPF micropore structure on deep bed filtration and deeper insight into the packing property of cake filtration stage. Reference [16] is devoted to analyzing the impact of matter distribution on pressure drop, and, hence, on fuel consumption penalty. Wang et al. [17] evaluate the impact of ash on DPF performance. Reference [18] is devoted to present a model in which the flow distribution at the cross-section of the filter is accounted for. Lao et al. [19] describe the variation of soot particle size during the regeneration process and present the size-dependent effects that are responsible for particle emissions during regeneration [20]. Serrano et al. [21] present a study on the effect of DPF downsizing and cellular geometry variation on filtration efficiency. Kong et al. [22] evaluate the influence of the catalyst on the flow and soot deposition on the filter. In Reference [23] an overview of the various models used in DPF simulation; the authors state that despite 2and 3D models are widely used, the most popular model is still the 1D single channel model that can be easily scaled up to multi-channel model in the filter scale. Reference [24] describes a model for the accurate estimation of the actual soot loading in the DPF at any time based on the balance of engine soot emission and soot oxidation. Reference [25] deals with a control-oriented model for wall flow DPF, that is used for the real-time management of the regeneration process, depending on back-pressure and thermal state.
Research activities demonstrate the close relationship between filtration and regeneration mechanisms and between the filter behavior and the engine operation and suggest the importance of an optimal DPF/engine management aimed at obtaining high filtration efficiency, low values of backpressure avoiding deterioration of engine power and performance.
The motivations underlying this study are related to the relevance of particle size role on DPF loading. Soot size has a great influence on the pressure drop temporal evolution during deep bed stage. It defines the value from which the linear pressure drop shape during cake filtration starts, once the depth filtration is completed and each time the regeneration event is concluded. Since during regeneration process, particulate emissions are elevated as regards normal operation, and constitutes a challenge in complying with emissions regulations, it is important to optimize the management strategy of DPF and carefully plan the regeneration event based on the estimation of trapped mass accounting for the filter back-pressure.
From these considerations, the employment of a model able to predict the way in which the filter is loaded has a relevant role in order to select the most appropriate strategy to manage DPF. This work presents the results of a numerical investigation in which the transient behavior of a filter is analyzed aimed at highlighting the role of soot particle size on DPF loading process. The final objective is the definition of a proper loading strategy to be used in on-board applications to optimize the whole loading-regeneration working cycle of DPFs.
A model was implemented based on the widely adopted unit-collector approach to calculate local properties of the porous media during deep bed filtration and particles penetration under different condition of engine load and filtration time. Following the hierarchal nature of the issue, the unit collector model applied at microscopic length scale was coupled with a lumped parameter-1D model [8,18,26] in order to evaluate of the filter pressure, drop in a single-channel approach. Trapped mass gradient inside the wall and deposit growth evolution were computed by evaluating porous media permeability and soot layer weight during steady state engine operating conditions. A parametric analysis on varying particle diameter was carried out. The role of interaction between engine operative conditions in terms of particle size distribution and filter geometry was highlighted.; the results contribute to add a useful element to be used in the filter management to plan the optimal strategy of filter loading.

2. Numerical Models

Filter multiscale nature involves a study based on different orders of magnitude. The implemented model is based on the combination between a filtration model which is characterized by a microscopic length scale of the porous media to analyze local filtration mechanisms, and a fluid dynamic approach of the channel length scale, in which the axial growth distribution of soot layer, due to fluid dynamics phenomena is modelled.
In this study, a single channel approach [8,18] was considered, radial flow distribution was neglected, considering the sole channel behavior representative of the entire monolith (Figure 1). Channel flow is zero-dimensional: Only the axial direction is accounted for the velocity field. Additionally, the velocity gradient through the soot layer, due to its trapezoidal shape imposed by channel design, is taken into account.
The calculation is performed according to the subsequent steps, shown in Figure 2.

2.1. Filtration Model

The model has been developed based on the works of Kostandopoulos et al. [8,10]. The granular porous material microstructure is modelled by spherical unit-collector of size b, each hosting a collector of size d c . Cell diameter b is linked to the porosity of medium, according to:
1 ε 0 = d c 0 3 b 3 .
The collector diameter for the clean filter d c 0 is taken from a capillary model similitude, considering the pore diameter ( d p o r e ) equal to mean pore diameter deduced by pore size distribution:
d c 0 = 3 2 ( 1 ε 0 ) d p o r e ε 0 .
A single unit collector can collect particles by interception and diffusion mechanisms. Transport efficiency of Brownian diffusion mechanism is given by:
η D = 3.5   g ( ε ) P e 2 3 ,
where the dimensionless Peclet number Pe is given by local interstitial velocity Ui, unit collector dimension d c and particle diffusion coefficient Dp, by
P e = U i d c D p ,
U i = u w ε .
g(ε) is the geometric function for the Kuwabara viscous flow through the spherical unit cell array:
g ( ε ) = [ ε 2 ε 9 5 ( 1 ε ) 1 3 1 5 ( 1 ε ) 2 ] 1 3 .
η R is the efficiency due to interception transport [12], given by:
η R = 1.5   N R   2   g ( ε ) ( 1 + N R ) s ,
where s is an dimensionless coefficient depending on porosity values, and N R is the interception parameter dependent on particle diameter and unit cell dimension,
s = 3 2 ε 3 ε ,
N R = d p d c .
Assuming the two mechanisms to be independent of each other, the combined efficiency of single grain can be expressed as:
η D R = η I + η D η I η D .
By considering the bulk thick porous wall in clean filter condition, its global efficiency can be written as:
E = 1 P 0 ,
where P 0 is the particle penetration inside the wall when it is not contaminated, that represents the worst percolation condition during filter lifetime:
P 0 = E X P [ 3 η D R ( 1 ε 0 ) w s 2 ε 0 d c 0 ] .
The particulate mass trapped inside the porous medium follows a gradient that evolves during filtration time and is described by the scheme of Figure 3, in which the porous wall is divided into slabs.
The choice of slab thickness depends on the specific application. In this study, it has been assumed that slabs are of the same thickness, equal to cell diameter b, so that the slabs number is given by
N s l a b = w s b .
The mass flow rate per unit collector belonging to the i-slab is ( m p , i ˙ ) computed as the ratio between the mass flow rate that enters the slab and the cells number:
m p , i ˙ = m i n , 1 ˙ N c e l l ,
with
N c e l l = s l a b   v o l u m e c e l l   v o l u m e .
The trapped mass progressively modifies the unit cell dimension and leads to a porosity reduction along with the porous media. For each slab in which porous media was divided, the cell loading level is evaluated to determine porosity gradient inside the wall as the filtration time varies.
The bulk core dimension of the single cell is given for i-the slab by:
d c ( i , t ) = 2 [ 3 4 π m c , i ( t ) ρ s o o t , w + ( d c 0 2 ) 3 ] 1 3 .
The cell porosity is evaluated according to:
ε ( i , t ) = 1 ( d c ( i , t ) d c 0 ) 3 ( 1 ε 0 ) .
Trapped mass leads to filtration efficiency increases (void volume reduction). By considering the whole slab thickness, w s l a b , the captation efficiency of i-slab can be evaluated according to:
E ( i , t ) = 1 E X P [ 3 η D R ( i , t ) ( 1 ε ( i , t ) ) w s l a b 2 ε ( i , t ) d c ( i , t ) ] .
It allows the computation of the cumulated mass that is collected in the slab:
m c o l l , i = t = 0 T m c , i ( t ) N c e l l .
It has to be considered that not all the inlet soot mass is collected by deep filtration mechanism; an increasing portion of it is directly stored outside the wall surface and built up the soot layer. A repartition coefficient for inlet mass flow (0 ≤ φ ≤ 1) defines the particle probability of being captured by surface transport and adhesion mechanism. It depends on loading degree of the boundary layer between porous media and bulk flow, modelled by the first slab of porous wall, and represents the wall capacity to accept new incoming particles in relation to its saturation level.
φ = d c ( i , t ) 2 d c 0 2 ( Ψ b ) 2 d c 0 2 .
An experimental coefficient, called percolation coefficient ψ, identifies the value of porosity in the first slab beyond which particle adhesion phenomena and layer growth are significantly overweight and surface filtration takes hold.
Starting by clean filter condition, characterized by the lowest filtration efficiency values and particles percolation conditions, pores get progressively clogged by collected soot determining an efficiency increment and a reduction of free inlet pore surface. The incoming particles close to pores inlet section deviate from the main flow stream, due to mutual agglomeration and bridging effect around pores edge, imposed by local surface shape on the microscopic length scale of the boundary layer. From these regions, the first soot layer grows up, causing cake filtration inception. During cake filtration, particulate matter directly deposits on the surface, forming an external layer that acts as a porous media and constantly renews its filtering surface.

2.2. Fluid Dynamic Model

Basing on the channel study provided by References [10,18], and assuming the exhaust gas as an incompressible fluid, the volumetric flow rate, Q, passing through the monolith is evaluated by summing the single channel flow rates q i passing through the inlet channels:
Q = i = 0 N c h a n n e l , i n q i = N c h a n n e l , i n q ,
q = U × A i n
where A i n is the inlet section surface of the single channel:
A i n = α 2 .
The monolith is characterized by a channel density σ, defined as the total channels number per unit surface
σ = 1 ( α + w s ) 2 .
In this way, the number of inlet channels is given by:
N c h a n n e l , i n = π   D t r a p 2 4 σ 2 .
The channel inlet velocity is related to the total flow rate Q and the geometric quantities according to:
Q = ( U A i n ) ( π   D t r a p 2 4 ) σ 2 ,
U = 8 Q π   D 2 σ α 2 .
Applying Darcy’s law across the porous wall for a single channel and taking into account the loss terms, due to passing flow inside the square channel in laminar condition, the total pressure drop for the clean filter is expressed as:
Δ P t o t   0 = Δ P w a l l + Δ P i n + Δ P o u t = μ Q 2 V t r a p   ( α + w s ) 2 [ w s k 0 α + 4 F L 2 3 α 2 + 4 F L 2 3 α 2 ] .
F = F ( R e ) is a loss factor for laminar flow inside the channel, k 0 is the porous medium permeability, L is the length of the monolith and V t r a p is its volume.
In order to take into account the progressive reduction of filtering surface, due to soot layer growth, the Darcy’s law is integrated across the deposit height (t)
Δ P s o o t ( t ) = μ k s o o t 0 w ( t ) u ( x ) d x = μ k s o o t 0 w ( t ) q A p o r o u s d x = μ q 4 L k s o o t 0 w ( t ) 1 ( α 2 w ( t ) + 2 x ) d x = μ Q   ( α + w s ) 2 L π D 2 k s o o t l n α α 2 w ( t ) .
For highly loaded filter, the reduction of the channel inlet section is taken into account. The channel dimension α*(t) can be written in the function of layer height w(t),
α * ( t ) = α 2 w ( t ) .
and channel inlet velocity increases causing a variation of the channel loss term ΔPin(t) compared to clean channel:
U ( t ) = 8 Q π D 2 σ ( α 2 w ( t ) ) 2 ,
Δ P i n ( t ) = μ Q 2 V t r a p   ( α + w s ) 2 ( 4 F L 2 3 ( α 2 w ( t ) 2 ) .
Total pressure drop for loaded channel is equal to the sum of four loss terms:
Δ P t o t   ( t ) = Δ P w a l l + Δ P s o o t + Δ P i n + Δ P o u t
= μ Q 2 V t r a p   ( α + w s ) 2   [ w s k ( t ) α + 1 2 k s o o t   l n   ( α α 2 w ( t ) ) + 4 F L 2 3 α 2   ( 1 ( α 2 w ( t ) ) 4 + 1 α 4 ) ] ,
where k s o o t is the permeability of particulate deposit, w(t) is its height, deduced by filtration model once cumulative surface trapped mass is known:
w ( t ) = α α 2 m s o o t ( t ) N c h a n n e l , i n   L ρ s o o t 2 .
Porous medium permeability is given by unit collector model for each slab by:
k i ( t ) k 0 = ( d c ( i , t ) d c 0 ) 2 f ( ε ( i , t ) ) f ( ε 0 ) ,
where f ( ε ) is a geometric function given as follows for the Kuwabara unit cell
f ( ε ) = 2 9 2 9 5   ( 1 ε ) 1 3 ε 1 5   ( 1 ε ) 2 ( 1 ε ) .
Simultaneous resolution of both filtration model and fluid dynamics model enables to evaluate overall filter performance on varying filtration time. For this purpose, the evaluation of approach velocity u w is needed. Appling Darcy’s law over an effective porous wall taking into account both porous media and soot layer local properties the approach velocity on varying filtration time is evaluated
u w ( t ) = k E Q ( t ) ( Δ P w a l l ( t ) + Δ P s o o t ( t ) ) μ ( w s + w ( t ) ) ,
and k E Q is the effective permeability of the porous system. It is computed as the weighted average of slabs permeability and soot permeability where the weight is the slabs thickness and layer height as follows:
k E Q = 1 α E Q ,
α E Q = α p o r o u s × W S + α s o o t × W W S + W ,
k i = 1 α i ,
α p o r o u s = 1 = 1 N s l a b w s l a b   i   α i w s ,
k s o o t = 1 α s o o t .
The incoming mass rate can be considered as the sum of:
m i n = m c a k e + m i n , 1 ,
m c a k e = φ m i n ,
m i n , 1 = ( 1 φ ) m i n ,
where m i n , 1 is the inlet mass in the wall and m c a k e is trapped mass in the external layer.
For each i-th slab, the incoming mass m i n , i depends on trapped mass in previous slab s , corresponding at a defined loading level of unit cells,
m i n , i = m i n , i 1 ( 1 E i 1 ( m i n , i 1 ) ) = m o u t , i 1 .
For each calculation time, the trapped mass inside porous medium m p o r o u s is equal to the sum of single trapped mass in every slab
m p o r o u s = i N s l a b m c o l l , i ,
m c o l l , i = E i   m i n , i .
The total trapped mass in a single channel is given by the sum of the contributions in the porous medium and in the layer. It defines the filter total efficiency:
E f i l t e r = m i n   φ + m i n ( 1 φ )   E p o r o u s m i n = φ + ( 1 φ )   E p o r o u s ,
E p o r o u s = m p o r o u s ( 1 φ ) m i n .

3. Results and Discussion

The first part of this section is devoted to present results obtained by using a filter whose specific properties are taken from literature. The presented trends aim at providing a validation of the model and at highlighting the phases characterizing the filter loading and the role of soot dimension on the loading process. The second part of this section model is devoted to present the results of an application of the model in order to point out how the particle size affects the deep filtration stage and the pressure value at the end of this phase, on which the subsequent filter working conditions depend.
The device selected to validate the model is a 100 cpsi cordierite filter (EX-47), whose geometrical and material characteristic is given in Table 1, according to the specification found in Reference [8].
The filter is exposed to exhaust flow (0.236 N m 3 /s at 260 °C) of a 1989 Detroit Diesel operating on steady state speed-load of 407 Nm at 1600 rpm; particulate mass flow rate for this condition is equal to 18 g/h [8].
The particulate microstructural characteristics (Table 2) were assumed according to the experimental data provided by Konstandopoulos et al. [8].
The filter simulation was performed, taking into account a specific size of the particle (diameter equal to 100 nm), as it is the more representative of the soot emission of modern common rail diesel engines.
Figure 4 shows the obtained DPF pressure drop versus the collected mass. The trace shows the typical subsequent phases of filtration process: Depth, transition, and cake stages. Depth filtration arises at the first working stages of the device. Deep filtration stage can achieve proper filtration performance, but it entails a reduction of internal pores collection surface and an exponential drop of permeability. An extensive quantitative evaluation of this stage is essential to understand the influence on the general performances of the filter. Depth filtration is characterized by a no linear increase of pressure drop, due to the modification of porosity permeability of porous material. Once the maximum packing density is reached, cake filtration occurs, that is characterized by a linear increase of pressure drop with time, caused by the growth up of soot layer on the channel wall that determines a changing flux condition, due to the inlet section narrowing and to the filtration surfaces reduction. During this stage, it is assumed that no more soot mass enters inside the porous wall.
In the plot, the obtained data are overlapped to the measured points acquired during experimental tests [27]. The very good agreement between data demonstrates the accuracy of the model in simulating very well both the deep filtration stage and the subsequent surface filtration stage, as well as the transition phase that occurs between them.
Figure 5 compares modelling results and experimental data [27] concerning the temporal variation of the mass collected in the filter channels. The plot highlights the good fit between simulated data and measurements, thus showing the ability of the model to follow the evolution over time of the mass trapped in the DPF.
Figure 6 shows how the collected soot mass can be subdivided into the part that is trapped in the porous medium (deep filtration) and the part that is accumulated in the cake (cake filtration).
The plot highlights that during the initial phase of filtration, most of the incoming soot particles are collected in deep filtration stage. At 1700 s, the trapped mass in porous media is equal to that one collected in the cake layer. After that time, soot layer keeps growing until it reaches the height of 88 μm.
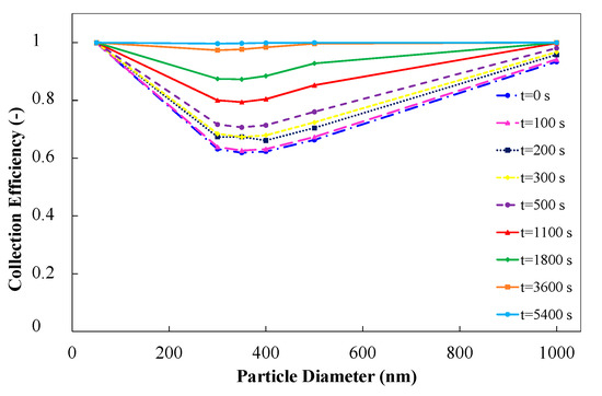
The efficiency of clean material was evaluated by imposing a particle diameter variation in the field 20–1000 nm, which is the typical range of soot sizes of diesel engine exhaust. Figure 7 shows the dependence between the particle dimension and filter performance and highlights the coupling between soot size and filter characteristics.
The trend in the upper part of the figure highlights that the worst filtering condition is reached for the 350 nm diameter particle for which the initial collection efficiency of the device is about 0.61.
The curve was obtained by assuming that Brownian diffusion and interception are independent each other. In the bottom part of the plot, two curves are shown, one represents the efficiency obtained by accounting only for the diffusion effect; the other was obtained by considering only the interception mechanism. Their effect on soot size is opposite: As particle diameter increases, diffusion coefficient and then Brownian diffusion efficiency decreases. In the meantime, interception efficiency increases.
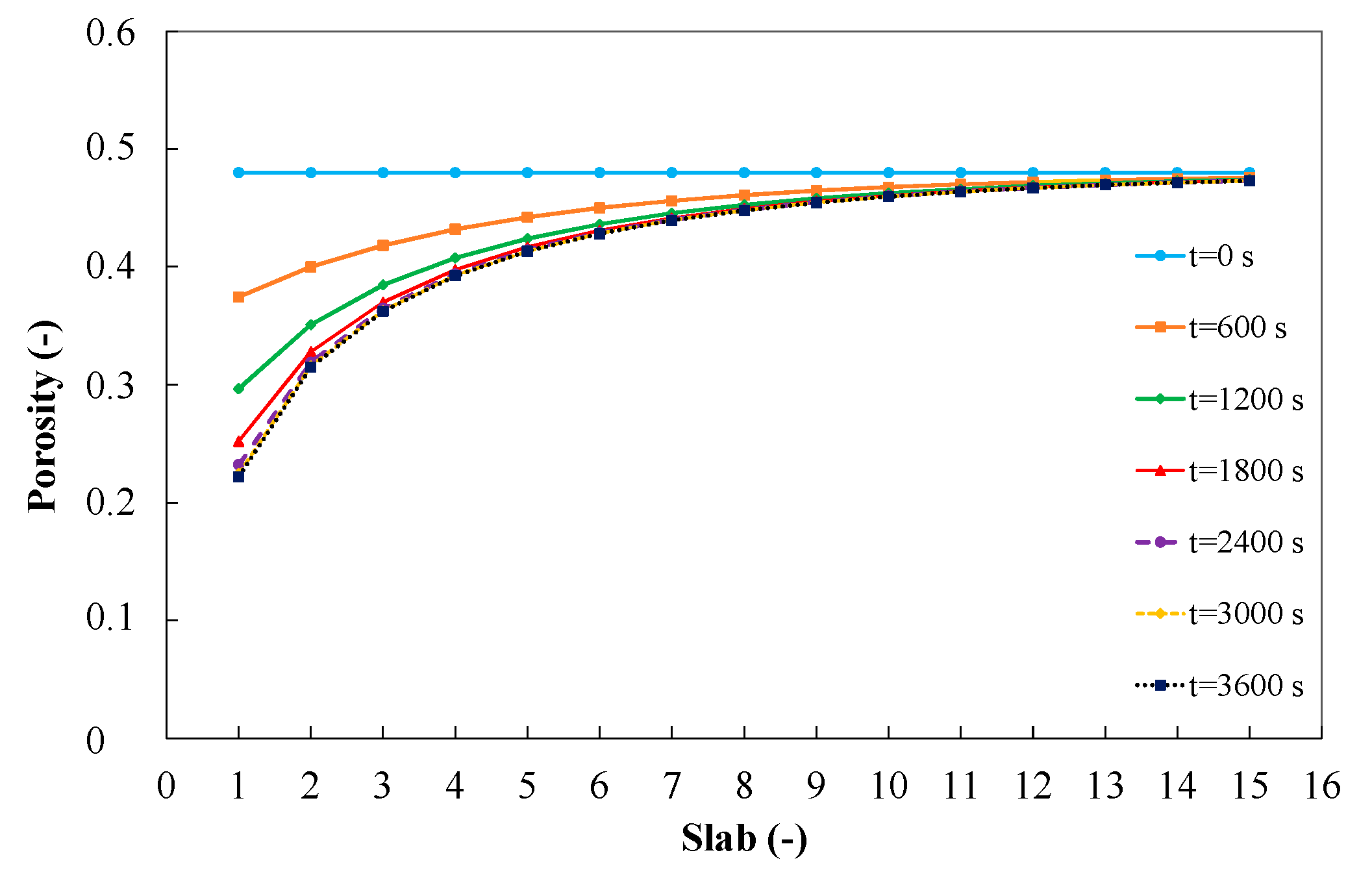
The evolution of material properties was simulated accounting for the variation of porosity and permeability of the porous media with time in correspondence of the progress in accumulation process; in the model, the porous medium was divided into slabs. The mass in every slab volume is computed by the local efficiency.
Figure 8 shows the evolution with time of the mass accumulated into each slab (15 slabs were considered). The traces, parametrized with time (its variation is between 0 s and 3600 s, with steps of 600 s), highlight the difference in the behavior of each slab as function of the distance from the interface between the porous media and the channel (the first slab is placed close to the surface, 15th slab is close to the outlet channel). It is possible to observe that soot mass mainly accumulates in the slabs located close to the interface. The correspondent variation of properties of these slabs inhibits the further mass deposition in the slabs placed close to the outlet channel.
Figure 9 and Figure 10 show the evolution of porosity and permeability with time, respectively. The plot of Figure 9 highlights that after 2400 s all curves almost overlap in a single trace.
At the initial instant of simulation, all material is characterized by a porosity value of 48%; the first 600 s are characterized by a sharp decrease of porosity in the first slabs. After 1800 s, porosity decrease with time is less evident, and it slowly reaches the saturation limit of 22%, which corresponds to the complete filling of the volume available in the unit cell of the first slab.
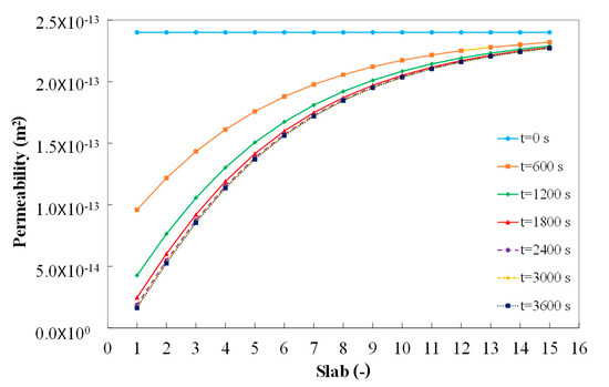
Permeability curves reproduce the porosity behavior in each slab and show how soot mainly accumulate in the slabs close to the inlet channel; slabs close to the outlet channel keep their properties almost unchanged with time.
The influence of particle size on pressure drop evolution was studied aimed at investigating if a proper process of loading could be a possible way to reduce DPF back pressure, thus allowing to increase the time interval between two subsequent regeneration events.
Filter behavior was analyzed by considering six diameters of particles 50 nm, 300 nm, 350 nm, 400 nm, 500 nm, and 1 μm.
The filtering efficiency was evaluated by means of the unit collector model for each size, and Figure 11 shows the obtained values. The curve exhibits two zones of high efficiency values (nano/ultrafine particles and large agglomerates) and a region of low efficiency (fine particles), in correspondence of the diameter with maximum penetration.
Figure 12 highlights the influence of soot particle diameter on pressure drop evolution with time.
Particle dimension of 50 nm and 1000 nm let the filter porous medium rapidly reach the maximum packing density. Deep and transient stages are completed in a short time (0.5 h), and particles are then collected in cake filtration mode.
Particle diameters of 300, 350, 400 and 500 nm (characterized by lower values of efficiencies), instead, cause a slow loading of the porous medium. The saturation level of the slabs close to the inlet channel is very low for a long temporal interval, thus allowing particles to reach the deeper slab. Higher penetration of particles is allowed, thus resulting in higher values of pressure drop until the transient stage is attained. When cake filtration starts (in the range of 1.25 h and 1.5 h, depending on the soot dimension), it is characterized by a pressure drop behavior whose gradient is the same of those caused by the soot layer growth of 50 and 1000 nm particles.
Figure 13 shows the evolution with time of the efficiency for the different particles sizes. Nano particles present value of efficiency of 99.9% for clean filter, and after approximately 30 min, saturation condition is reached.
The same behavior is observed for large agglomerates, whose initial efficiency for the clean filter is 93.4%. Fine particles show a value around 60% for the efficiency value at the beginning of loading process, and a longer amount of time is needed to complete the deep filtration stage.
In order to highlight the effect of such behavior on filter loading, the pressure drop trend versus the trapped mass (obtained for 50 nm, curve a, and 350 nm, curve b, as particles diameters) is shown in Figure 14.
The transition from deep bed to cake filtration is exhibited at approximately 6 kPa for the 50 nm particles, and 9 kPa for 350 nm particles. If the regeneration process is established to start at a threshold value of 11 kPa (light blue line on the plot), it means that in case of curve b, 46 g of soot was accumulated, while 79 g of soot was trapped for curve a.
Looking at the values of time corresponding to such cumulated mass amount, it can be observed that 46 g are collected in approximately 2.6 h, while 79 g of soot is trapped in about 4.2 h.
These results contribute to add information on the loading/regeneration process, highlighting how the way in which the initial filter loading is performed affects the DPF behavior. This has consequence not only when the subsequent cake filtration stage takes place, but also after the regeneration phase, when the filter is loaded again. If the engine operates in such a way to generate smaller particles in the exhaust gas flow during the initial stage of filter use, a lower pressure drop characterizes the cake filtration phase start. This means that regeneration event may be planned after a longer period, if in the definition of regeneration is mainly affected by the pressure drop or, if the collected mass is the key parameter to set the regeneration event, it means that the engine backpressure is lower, thus enhancing the engine performance. The result can be profitably used to select the proper strategy to plan regeneration process, in order to find the best compromise between the filter back pressure and the emission of particles during the initial phase of filter loading.

4. Conclusions

The paper presents a numerical model that was used to investigate the influence of particle matter size on DPF loading.
The obtained results highlight that soot size has a great impact on the pressure drop temporal evolution during deep bed stage. Therefore, it defines the value from which the linear pressure drop shape during cake filtration starts. Particle matter size, thus, retains a relevant impact on the definition of the regeneration event, that is based on the estimation of trapped mass accounting for the filter back-pressure.
The final objective of this work was to use the implemented algorithm for on-board monitoring and control, in order to provide knowledge of DPF loading stage for the integrated management of powertrain and emission device aimed at obtaining high filtration efficiency, low values of backpressure avoiding deterioration of engine performance.
For this aim of this study, our activity is now being oriented towards the implementation of the model to account for the soot layer profile inside the channel and the modeling of the regeneration process.

Author Contributions

Conceptualization O.C. and G.C.; Methodology O.C. and N.S.; Software N.S.; Validation N.S.; Data curation O.C.; Writing-Original Draft Preparation O.C.; Writing-Review & Editing O.C.

Funding

This research received no external funding.

Conflicts of Interest

The authors declare that there is no conflict of interest with third parties or institutions and the outcome of the present work is the result of personal research.

Nomenclature

Ainfiltration area of the channel
Aporousfiltration area of the single channel
bunit-cell dimension
d c collector size
d c o collector size for clean filter
d p particle diameter
d p o r e pore diameter
D p particle diffusion coefficient
Dtrapmonolith diameter
Eslab captation efficiency
E f i l t e r filter efficiency
E p o r o u s porous medium efficiency
f ( ε ) Kuwabara function for permeability computation
F loss factor
g ( ε ) Kuwabara function for efficiency computation
k0clean wall permeability
keqeffective permeability of the system
kislab permeability
ksootparticulate layer permeability
L monolith length
m c a k e particulate mass in the cake
m c , i particulate mass trapped in the unit cell
m c o l l , i particulate mass trapped in the i-slab
m i n channel inlet particulate mass
m i n , i inlet particulate mass in the i-slab
m p i mass flow rate in the i-slab
N c e l l cells number
N s l a b slab number
P 0 particle penetration inside the wall
P e Peclet number
q i i-channel volumetric flow rate
Qexhaust volumetric flow rate
sdimensionless coefficient
u w filter wall/approach velocity
Uchannel inlet velocity
U i interstitial velocity in the porous media
wdeposit height
w s filter wall thickness
w s l a b slab thickness
V t r a p monolith volume
Greek letters
αfilter cell size
∆Ppressure drop
εfilter porosity
ε0clean filter porosity
η D efficiency due to diffusion mechanism
η D R efficiency due to diffusion and interception
η R efficiency due to interception mechanism
μexhaust dynamic viscosity
ρ s o o t particulate density in cake layer
ρ s o o t , w soot density in the wall
σchannel density
φrepartition coefficient
ψpercolation coefficient

References

  1. Smith, J.D.; Ruehl, C.; Burnitzki, M.; Sobieralski, W.; Ianni, R.; Quiros, D.; Hu, S.; Chernich, D.; Collins, J.; Huai, T.; et al. Real-time particulate emissions rates from active and passive heavy-duty diesel particulate filter regeneration. Sci. Total Environ. 2019, 680, 32–139. [Google Scholar] [CrossRef] [PubMed]
  2. Fiebig, M.; Wiartalla, A.; Holderbaum, B.; Kiesow, S. Particulate emissions from diesel engines: Correlation between engine technology and emissions. J. Occup. Med. Toxicol. 2014, 9. [Google Scholar] [CrossRef] [PubMed]
  3. Fang, J.; Meng, Z.; Li, J.; Du, Y.; Qin, Y.; Jiang, Y.; Bai, W. The effect of operating parameters on regeneration characteristics and particulate emission characteristics of diesel particulate filters. Appl. Ther. Eng. 2019, 148, 860–867. [Google Scholar] [CrossRef]
  4. Liati, A.; Eggenschwiler, P.D. Characterization of Particulate Matter Deposited in Diesel Particulate Filters: Visual and Analytical Approach in Macro, Micro and Nano-Scales. Combust. Flame 2010, 157, 1658–1670. [Google Scholar] [CrossRef]
  5. Bisset, E.; Shadman, F. Thermal Regenerartion of Diesel particulate Monolithic Filters. Am. Inst. Chem. Eng. J. 1985. [Google Scholar] [CrossRef]
  6. Koltsakis, G.C.; Stamatelos, A.M. Modeling Catalytic Regeneration of Wall-Flow Particulate Filters. Ind. Eng. Chem. Res. 1996. [Google Scholar] [CrossRef]
  7. Koltsakis, G.C.; Stamatelos, A.M. Modes of Catalytic Regeneration in Diesel Particulate Filters. Ind. Eng. Chem. Res. 1997. [Google Scholar] [CrossRef]
  8. Konstandopoulos, A.G.; Kostoglou, M.; Skaperdas, E.; Papaioannou, E.; Zarvalis, D.; Kladopoulou, E. Fundamental Studies of Diesel Particulate Filters: Transient Loading, Regeneration and Aging. SAE Tech. Paper 2000. [Google Scholar] [CrossRef]
  9. Konstandopoulos, A.G.; Kostoglou, M.; Vlachos, N.; Vlachos, N.; Kladopoulou, E. Progress in Diesel Particulate Filter Simulation. SAE Tech. Paper 2005. [Google Scholar] [CrossRef]
  10. Konstandopoulos, A.G.; Johnson, J.H. Wall-Flow Diesel Particulate Filter-Their Pressure Drop and Collection Efficiency. SAE Trans. J. Eng. 1989. [Google Scholar] [CrossRef]
  11. Opris, C.N.; Johnson, J.H. A 2-D Computational Model Describing the Flow and Filtration Characteristics of a Ceramic Diesel Particulate Trap. SAE Tech. Paper 1998. [Google Scholar] [CrossRef]
  12. Guo, Z.; Zhang, Z. Multi-Dimensional Modeling and Simulation of Wall-Flow Diesel Particulate Filter During Loading and Regeneration. SAE Tech. Paper 2006. [Google Scholar] [CrossRef]
  13. Guo, Z.; Zhang, Z. Hybrid Modeling and Simulation of Multidimensional Processes for Diesel Particulate Filter During Loading and Regeneration. Numer. Heat Transf. Part A Appl. 2005. [Google Scholar] [CrossRef]
  14. Koltsakis, G.; Haralampousm, O.; Depcik, C. Catalyzed Diesel Particulate Filter Modeling. Rev. Chem. Eng. 2013, 29, 1–61. [Google Scholar] [CrossRef]
  15. Meng, Z.; Fang, J.; Pu, Y.; Yan, Y.; Wu, Y.; Wang, Y.; Song, Q. Experimental Study on the Influence of DPF Micropore Structure and Particle Property on Its Filtration Process. J. Combust. 2016. [Google Scholar] [CrossRef]
  16. Bermúdez, V.; Serrano, J.R.; Piqueras, P.; Sanchis, E.J. On the Impact of Particulate Matter Distribution on Pressure Drop of Wall-Flow Particulate Filters. Appl. Sci. 2017, 7, 234. [Google Scholar] [CrossRef]
  17. Wang, Y.; Kamp, C. The Effects of Mid-Channel Ash Plug on DPF Pressure Drop. SAE Tech. Paper 2016. [Google Scholar] [CrossRef]
  18. Chiatti, G.; Chiavola, O.; Falcucci, G. DPF Soot Loading and Regeneration: A Lumped Parameter Approach. SAE Tech. Paper 2008. [Google Scholar] [CrossRef]
  19. Lao, C.T.; Akroyd, J.; Eaves, N. Modelling of secondary particulate emissions during the regeneration of Diesel Particulate Filters. Energy Proc. 2017, 142, 3560–3565. [Google Scholar] [CrossRef]
  20. Lao, C.T.; Akroyd, J.; Eaves, N.; Smith, A.; Morgan, N.; Bhavec, A.; Kraft, M. Modelling particle mass and particle number emissions during the active regeneration of diesel particulate filters. Proc. Combust. Inst. 2019, 37, 4831–4838. [Google Scholar] [CrossRef]
  21. Serrano, J.R.; Bermúdez, V.; Piqueras, P.; Angiolini, E. On the impact of DPF downsizing and cellular geometry on filtration efficiency in pre- and post-turbine placement. J. Aerosol Sci. 2017, 113, 20–35. [Google Scholar] [CrossRef]
  22. Kong, H.; Yamamoto, K. Simulation on soot deposition in in-wall and on-wall catalyzed diesel particulate filters. Catal. Today 2019, 332, 89–93. [Google Scholar] [CrossRef]
  23. Yang, S.; Deng, C.; Gao, Y.; He, Y. Diesel particulate filter design simulation: A review. Adv. Mech. Eng. 2016, 8, 1–14. [Google Scholar] [CrossRef]
  24. Bai, S.; Tang, J.; Wang, G. Soot loading estimation model and passive regeneration characteristics of DPF system for heavy-duty engine. Appl. Ther. Eng. 2016, 100, 1292–1298. [Google Scholar] [CrossRef]
  25. D’Aniello, F.; Rossomando, B.; Arsie, I. Development and Experimental Validation of a Control Oriented Model of a Catalytic DPF. SAE Tech. Paper 2019. [Google Scholar] [CrossRef]
  26. Chiatti, G.; Chiavola, O.; Falcucci, G. Soot Morphology Effects on DPF Performance. SAE Tech. Paper 2019. [Google Scholar] [CrossRef]
  27. Murtagh, M.; Sherwood, D.L.; Socha, L.S. Development of diesel particulate filter composition and its effect on thermal durability and filtration performance. SAE Tech. Paper 1994. [Google Scholar] [CrossRef]
Figure 1. Scheme of diesel particulate filters (DPF) channels axial section and modelling approach.
Figure 1. Scheme of diesel particulate filters (DPF) channels axial section and modelling approach.
Applsci 09 03075 g001
Figure 2. Calculation scheme.
Figure 2. Calculation scheme.
Applsci 09 03075 g002
Figure 3. Scheme of the filter wall discretized into slabs.
Figure 3. Scheme of the filter wall discretized into slabs.
Applsci 09 03075 g003
Figure 4. Pressure drop trend versus collected mass.
Figure 4. Pressure drop trend versus collected mass.
Applsci 09 03075 g004
Figure 5. Collected mass versus time.
Figure 5. Collected mass versus time.
Applsci 09 03075 g005
Figure 6. Variation of collected with time during filtration stages.
Figure 6. Variation of collected with time during filtration stages.
Applsci 09 03075 g006
Figure 7. Variation of filter efficiency with particle size.
Figure 7. Variation of filter efficiency with particle size.
Applsci 09 03075 g007
Figure 8. Collected soot mass in each slab versus time.
Figure 8. Collected soot mass in each slab versus time.
Applsci 09 03075 g008
Figure 9. Evolution with the time of porosity in each slab of the porous medium.
Figure 9. Evolution with the time of porosity in each slab of the porous medium.
Applsci 09 03075 g009
Figure 10. Evolution with the time of permeability in each slab of the porous medium.
Figure 10. Evolution with the time of permeability in each slab of the porous medium.
Applsci 09 03075 g010
Figure 11. Filter efficiency as function of soot particle diameter.
Figure 11. Filter efficiency as function of soot particle diameter.
Applsci 09 03075 g011
Figure 12. Pressure drop evolution with time during loading stage as function of particle diameter.
Figure 12. Pressure drop evolution with time during loading stage as function of particle diameter.
Applsci 09 03075 g012
Figure 13. Effect of particle diameter on the variation of filter efficiency with time.
Figure 13. Effect of particle diameter on the variation of filter efficiency with time.
Applsci 09 03075 g013
Figure 14. Pressure drop versus trapped mass for particles.
Figure 14. Pressure drop versus trapped mass for particles.
Applsci 09 03075 g014
Table 1. Cordierite filter characteristics.
Table 1. Cordierite filter characteristics.
FilterEX-47
D t r a p 0.266 m
L0.3048 m
σ 100 cpsi
w s 0.0004318 m
d p o r e 13.4   μ m
ε 0 0.48
Table 2. Particulate properties.
Table 2. Particulate properties.
ρ s o o t , w 14.1   Kg m 3
ρ s o o t 91   Kg m 3
ψ 0.9203
k s o o t 1.8 × 10−14 m2
k 0 2.4 × 10−13 m2

Share and Cite

MDPI and ACS Style

Chiavola, O.; Chiatti, G.; Sirhan, N. Impact of Particulate Size During Deep Loading on DPF Management. Appl. Sci. 2019, 9, 3075. https://doi.org/10.3390/app9153075

AMA Style

Chiavola O, Chiatti G, Sirhan N. Impact of Particulate Size During Deep Loading on DPF Management. Applied Sciences. 2019; 9(15):3075. https://doi.org/10.3390/app9153075

Chicago/Turabian Style

Chiavola, Ornella, Giancarlo Chiatti, and Nidal Sirhan. 2019. "Impact of Particulate Size During Deep Loading on DPF Management" Applied Sciences 9, no. 15: 3075. https://doi.org/10.3390/app9153075

APA Style

Chiavola, O., Chiatti, G., & Sirhan, N. (2019). Impact of Particulate Size During Deep Loading on DPF Management. Applied Sciences, 9(15), 3075. https://doi.org/10.3390/app9153075

Note that from the first issue of 2016, this journal uses article numbers instead of page numbers. See further details here.

Article Metrics

Back to TopTop