Computation of Melting Dissipative Magnetohydrodynamic Nanofluid Bioconvection with Second-order Slip and Variable Thermophysical Properties
Abstract
1. Introduction
2. Problem Formulation
- : Prandtl number,
- : Brownian motion parameter,
- : thermophoresis parameter,
- : Schmidt number,
- : bioconvection Péclet number,
- : bioconvection Schmidt number,
- : magnetic body force parameter,
- : melting (phase change) parameter,
- : Eckert number,
- : first-order hydrodynamic slip parameter,
- : second-order hydrodynamic slip parameter.
3. Numerical Computations with MATLAB BVP4C Code
4. Further Validation with Variational Iteration Method (VIM)
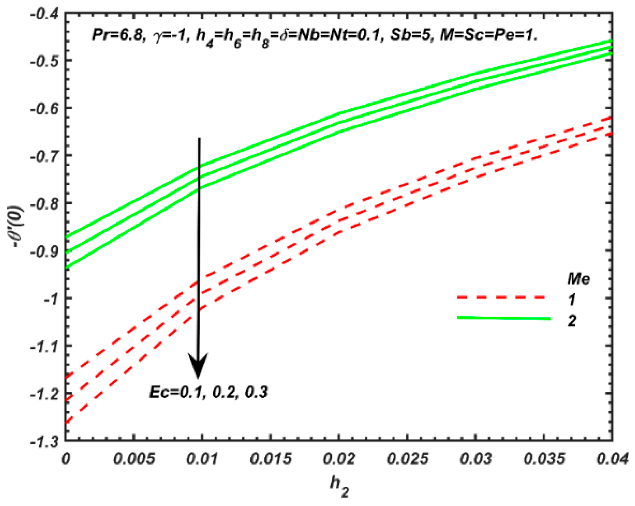
5. Results and Discussion
6. Conclusions
- Increasing magnetic body force parameter reduces velocity, nanoparticle concentration and motile microorganism species number density, whereas hydrodynamic boundary layer thickness is increased as are temperatures.
- Increasing Brownian motion and thermophoresis effect lead to an enhancement in temperatures. Increasing melting effect accelerates the flow (via momentum diffusion assistance) whereas it decreases temperatures. Increasing first-order slip and temperature-dependent thermal conductivity parameters significantly cool the boundary layer regime.
- Nanoparticle volume fraction and motile microorganism density number are both elevated with increasing mass diffusivity parameter whereas they are depressed with greater Schmidt number.
- Motile microorganism density number is boosted with increasing microorganism diffusivity parameter, whereas the converse response is induced with increasing bioconvection Schmidt number.
- Increasing temperature-dependent viscous parameter and Eckert number increases temperatures but reduce nanoparticle volume fraction.
- Local Sherwood number is depressed with Brownian motion parameter and Schmidt number, whereas it is enhanced with thermophoresis parameter.
- Increasing nanomaterial viscosity, viscous dissipation and melting heat transfer reduce local Nusselt number at the sheet surface.
Author Contributions
Funding
Conflicts of Interest
Nomenclature
| dimensional positive constant | |
| dimensional positive constant | |
| chemotaxis constant | |
| positive constant | |
| magnetic field and strength | |
| specific heat at constant pressure | |
| specific heat of the solid particle at constant pressure | |
| specific heat of the base fluid at constant pressure | |
| wall nanoparticle volume fraction | |
| ambient nanoparticle volume fraction | |
| skin friction coefficient | |
| variable Brownian diffusion coefficient | |
| constant Brownian diffusion coefficient | |
| variable diffusivity of microorganisms | |
| constant diffusivity of microorganisms | |
| dimensionless velocity | |
| dimensional positive constant | |
| temperature dependent viscous parameter | |
| dimensional positive constant | |
| temperature dependent thermal conductive parameter | |
| positive constant | |
| mass diffusivity parameter | |
| microorganism diffusivity parameter | |
| variable thermal conductivity of nanofluid | |
| constant thermal conductivity of nanofluid | |
| melting (phase change) parameter | |
| density of motile microorganism | |
| Brownian motion parameter | |
| local density number of motile microorganisms | |
| thermophoresis parameter | |
| local Nusselt number | |
| bioconvection Péclet number | |
| Pr | Prandtl number |
| surface mass flux | |
| surface motile microorganism flux | |
| Surface heat flux | |
| Sb | bioconvection Schmidt number |
| Schmidt number | |
| local Sherwood number | |
| Stefan numbers | |
| nanofluid temperature | |
| solid surface temperature | |
| solid surface temperature | |
| velocity slip | |
| velocity along stretching surface | |
| velocity component along the direction | |
| non-dimensional velocity component along the direction | |
| velocity components along the direction | |
| non-dimensional velocity component along the direction | |
| maximum cell swimming speed | |
| coordinate along the surface | |
| non-dimensional coordinate along the surface | |
| coordinate along the surface | |
| non-dimensional coordinate along the surface | |
| Greek Letters | |
| thermal diffusivity | |
| second-order slip parameter | |
| first-order slip parameter | |
| similarity independent variable | |
| dimensionless temperature | |
| latent heat of diffusion | |
| variable temperature dependent viscosity | |
| constant temperature dependent viscosity | |
| density of the base fluid | |
| ratio of effective heat capacity of the nanoparticle material to the fluid heat capacity | |
| wall skin friction in | |
| constant kinematic viscosity of nanofluid | |
| rescaled nanoparticle volume fraction | |
| rescaled number of motile microorganisms | |
| Subscripts/Superscripts | |
| condition at the wall | |
| free stream condition | |
| differentiation with respect to | |
References
- Pocorni, J.; Powell, J.; Deichsel, E.; Frostevarg, J.; Kaplan, A.F. Fibre laser cutting stainless steel: Fluid dynamics and cut front morphology. Opt. Laser Technol. 2017, 87, 87–93. [Google Scholar] [CrossRef]
- Chen, H.; Sundararaj, U.; Nandakumar, K. Modeling of polymer melting, drop deformation, and breakup under shear flow. Polym. Eng. Sci. 2004, 44, 1258–1266. [Google Scholar] [CrossRef]
- Bergman, T.; Webb, B. Simulation of pure metal melting with buoyancy and surface tension forces in the liquid phase. Int. J. Heat Mass Transf. 1990, 33, 139–149. [Google Scholar] [CrossRef]
- Song, J.; Min, B.; Kim, J.; Kim, H.; Hong, S.; Chung, S. An electromagnetic and thermal analysis of a cold crucible melting. Int. Commun. Heat Mass Transf. 2005, 32, 1325–1336. [Google Scholar] [CrossRef]
- Mcneil, T.J.; Cole, R.; Subramanian, R.S. Surface-Tension-Driven Flow in a Glass Melt. J. Am. Ceram. Soc. 1985, 68, 254–259. [Google Scholar] [CrossRef]
- Gau, C.; Viskanta, R. Melting and solidification of a pure metal on a vertical wall. J. Heat Transf. 1986, 108, 174–181. [Google Scholar] [CrossRef]
- Tien, C.; Yen, Y.-C. The effect of melting on forced convection heat transfer. J. Appl. Meteorol. 1965, 4, 523–527. [Google Scholar] [CrossRef]
- Epstein, M.; Cho, D. Melting heat transfer in steady laminar flow over a flat plate. J. Heat Transf. 1976, 98, 531–533. [Google Scholar] [CrossRef]
- Mahmoud, M.; Waheed, S. Melting heat transfer effects on stagnation point flow of micropolar fluid saturated in porous medium with internal heat generation (absorption). Appl. Math. Mech. 2014, 35, 979–992. [Google Scholar] [CrossRef]
- Karimipour, A. New correlation for Nusselt number of nanofluid with Ag/Al2O3/Cu nanoparticles in a microchannel considering slip velocity and temperature jump by using lattice Boltzmann method. Int. J. Therm. Sci. 2015, 91, 146–156. [Google Scholar] [CrossRef]
- Kazmierczak, M.; Poulikakos, D.; Sadowski, D. Melting of a vertical plate in porous medium controlled by forced convection of a dissimilar fluid. Int. Commun. Heat Mass Transf. 1987, 14, 507–517. [Google Scholar] [CrossRef]
- Wang, C. Melting from a horizontal rotating disk. J. Appl. Mech. 1989, 56, 47–50. [Google Scholar] [CrossRef]
- Andersson, H.; Holmedal, B.; Dandapat, B.; Gupta, A. Magnetohydrodynamic melting flow from a horizontal rotating disk. Math. Models Methods Appl. Sci. 1993, 3, 373–393. [Google Scholar] [CrossRef]
- Yao, F.-J.; Luo, K.; Yi, H.-L.; Xie, M. Analysis of melting with natural convection and volumetric radiation using lattice Boltzmann method. Int. J. Heat Mass Transf. 2017, 112, 413–426. [Google Scholar] [CrossRef]
- Das, S.K.; Choi, S.U.; Yu, W.; Pradeep, T. Nanofluids: Science and Technology; John Wiley & Sons: Hoboken, NJ, USA, 2007. [Google Scholar]
- Tripathi, D.; Bég, O.A. A study on peristaltic flow of nanofluids: Application in drug delivery systems. Int. J. Heat Mass Transf. 2014, 70, 61–70. [Google Scholar] [CrossRef]
- Zhu, J.; Fu, Q.; Xue, Y.; Cui, Z. Comparison of different models of melting transformation of nanoparticles. J. Mater. Sci. 2016, 51, 4462–4469. [Google Scholar] [CrossRef]
- Kumaresan, V.; Velraj, R.; Nanda, M.; Maini, A. Phase change material-based nanofluids for heat transfer enhancement in latent heat thermal energy storage system. Int. J. Green Nanotechnol. 2012, 4, 541–546. [Google Scholar] [CrossRef]
- Barlak, S.; Sara, O.N.; Karaipekli, A.; Yapıcı, S. Thermal conductivity and viscosity of nanofluids having nanoencapsulated phase change material. Nanoscale Microscale Thermophys. Eng. 2016, 20, 85–96. [Google Scholar] [CrossRef]
- Han, Z.; Yang, B.; Liu, Y.Y. Phase-Change Nanofluids with Enhanced Thermophysical Properties. In Proceedings of the ASME 2009 Second International Conference on Micro/Nanoscale Heat and Mass Transfer, Shanghai, China, 18–21 December 2009; pp. 441–447. [Google Scholar]
- Guisbiers, G.; Buchaillot, L. Modeling the melting enthalpy of nanomaterials. J. Phys. Chem. C 2009, 113, 3566–3568. [Google Scholar] [CrossRef]
- Kumar, C.K.; Bandari, S. Melting heat transfer in boundary layer stagnation-point flow of a nanofluid towards a stretching–shrinking sheet. Can. J. Phys. 2014, 92, 1703–1708. [Google Scholar] [CrossRef]
- Kumari Ch, M.; Gorla, R.S.R. Effect of Melting on Mixed Convective Boundary Layer Flow Over a Vertical Plate Embedded in a Porous Medium Saturated with a Nanofluid. J. Nanofluids 2015, 4, 82–90. [Google Scholar] [CrossRef]
- Chieruzzi, M.; Cerritelli, G.F.; Miliozzi, A.; Kenny, J.M. Effect of nanoparticles on heat capacity of nanofluids based on molten salts as PCM for thermal energy storage. Nanoscale Res. Lett. 2013, 8, 448. [Google Scholar] [CrossRef] [PubMed]
- Sheikholeslami, M.; Rokni, H.B. Effect of melting heat transfer on nanofluid flow in existence of magnetic field considering Buongiorno Model. Chin. J. Phys. 2017, 55, 1115–1126. [Google Scholar] [CrossRef]
- Mastiani, M.; Sebti, S.S.; Mirzaei, H.; Kashani, S.; Sohrabi, A. Numerical study of melting in an annular enclosure filled with nanoenhanced phase change material. Therm. Sci. 2015, 19, 1067–1076. [Google Scholar]
- Shima, P.; Philip, J.; Raj, B. Magnetically controllable nanofluid with tunable thermal conductivity and viscosity. Appl. Phys. Lett. 2009, 95, 133112. [Google Scholar] [CrossRef]
- Rajesh, V.; Beg, O.A.; Mallesh, M. Transient nanofluid flow and heat transfer from a moving vertical cylinder in the presence of thermal radiation: Numerical study. Proc. Inst. Mech. Eng. Part N J. Nanomater. Nanoeng. Nanosyst. 2016, 230, 3–16. [Google Scholar] [CrossRef]
- Beg, O.A.; Khan, W.A.; Uddin, M.J. Multiple slip effects on unsteady magnetohydrodynamic nanofluid transport with heat generation/absorption effects in temperature dependent porous media. J. Porous Media 2015, 18, 907–922. [Google Scholar] [CrossRef]
- Uddin, M.; Bég, O.A.; Aziz, A.; Ismail, A. Group analysis of free convection flow of a magnetic nanofluid with chemical reaction. Math. Probl. Eng. 2015, 2015, 621503. [Google Scholar] [CrossRef]
- Akbar, N.S.; Tripathi, D.; Bég, O.A. Modeling nanoparticle geometry effects on peristaltic pumping of medical magnetohydrodynamic nanofluids with heat transfer. J. Mech. Med. Biol. 2016, 16, 1650088. [Google Scholar] [CrossRef]
- Thumma, T.; Bég, O.A.; Kadir, A. Numerical study of heat source/sink effects on dissipative magnetic nanofluid flow from a non-linear inclined stretching/shrinking sheet. J. Mol. Liq. 2017, 232, 159–173. [Google Scholar] [CrossRef]
- Bég, O.A.; Sohail, A.; Kadir, A.; Bég, T.A. B-spline collocation simulation of non-linear transient magnetic nanobio-tribological squeeze-film flow. J. Mech. Med. Biol. 2018, 18, 1850007. [Google Scholar] [CrossRef]
- Daniel, Y.S.; Aziz, Z.A.; Ismail, Z.; Salah, F. Entropy analysis in electrical magnetohydrodynamic (MHD) flow of nanofluid with effects of thermal radiation, viscous dissipation, and chemical reaction. Theor. Appl. Mech. Lett. 2017, 7, 235–242. [Google Scholar] [CrossRef]
- Gireesha, B.; Mahanthesh, B.; Shivakumara, I.; Eshwarappa, K. Melting heat transfer in boundary layer stagnation-point flow of nanofluid toward a stretching sheet with induced magnetic field. Eng. Sci. Technol. Int. J. 2016, 19, 313–321. [Google Scholar] [CrossRef]
- Hayat, T.; Muhammad, T.; Alsaedi, A.; Alhuthali, M. Magnetohydrodynamic three-dimensional flow of viscoelastic nanofluid in the presence of nonlinear thermal radiation. J. Magn. Magn. Mater. 2015, 385, 222–229. [Google Scholar] [CrossRef]
- Hayat, T.; Khan, M.I.; Waqas, M.; Alsaedi, A.; Farooq, M. Numerical simulation for melting heat transfer and radiation effects in stagnation point flow of carbon–water nanofluid. Comput. Methods Appl. Mech. Eng. 2017, 315, 1011–1024. [Google Scholar] [CrossRef]
- Platt, J.R. “Bioconvection Patterns” in Cultures of Free-Swimming Organisms. Science 1961, 133, 1766–1767. [Google Scholar] [CrossRef] [PubMed]
- Keller, E.F.; Segel, L.A. Traveling bands of chemotactic bacteria: A theoretical analysis. J. Theor. Biol. 1971, 30, 235–248. [Google Scholar] [CrossRef]
- Pedley, T.; Kessler, J. Hydrodynamic phenomena in suspensions of swimming microorganisms. Annu. Rev. Fluid Mech. 1992, 24, 313–358. [Google Scholar] [CrossRef]
- Janicek, A.; Fan, Y.; Liu, H. Design of microbial fuel cells for practical application: A review and analysis of scale-up studies. Biofuels 2014, 5, 79–92. [Google Scholar] [CrossRef]
- Uddin, M.; Khan, W.; Qureshi, S.; Bég, O.A. Bioconvection nanofluid slip flow past a wavy surface with applications in nano-biofuel cells. Chin. J. Phys. 2017, 55, 2048–2063. [Google Scholar] [CrossRef]
- Shafiq, A.; Hammouch, Z.; Sindhu, T. Bioconvective MHD flow of tangent hyperbolic nanofluid with newtonian heating. Int. J. Mech. Sci. 2017, 133, 759–766. [Google Scholar] [CrossRef]
- Beg, O. Nonlinear multiphysical laminar nanofluid bioconvection flows: Models and computation. In Computational Approaches in Biomedical Nano-Engineering; Sohail, A., Li, Z., Eds.; Wiley: Weinheim, Germany, 2018; pp. 113–145. [Google Scholar]
- Alsaedi, A.; Khan, M.I.; Farooq, M.; Gull, N.; Hayat, T. Magnetohydrodynamic (MHD) stratified bioconvective flow of nanofluid due to gyrotactic microorganisms. Adv. Powder Technol. 2017, 28, 288–298. [Google Scholar] [CrossRef]
- Zohra, F.; Uddin, M.; Ismail, A.; Bég, O.A.; Kadir, A. Anisotropic slip magneto-bioconvection flow from a rotating cone to a nanofluid with Stefan blowing effects. Chin. J. Phys. 2018, 56, 432–448. [Google Scholar] [CrossRef]
- Rana, P.; Shukla, N.; Bég, O.A.; Kadir, A.; Singh, B. Unsteady electromagnetic radiative nanofluid stagnation-point flow from a stretching sheet with chemically reactive nanoparticles, Stefan blowing effect and entropy generation. Proc. Inst. Mech. Eng. Part N J. Nanomater. Nanoeng. Nanosyst. 2018, 232, 69–82. [Google Scholar] [CrossRef]
- Mabood, F.; Mastroberardino, A. Melting heat transfer on MHD convective flow of a nanofluid over a stretching sheet with viscous dissipation and second order slip. J. Taiwan Inst. Chem. Eng. 2015, 57, 62–68. [Google Scholar] [CrossRef]
- Beg, O.A.; Motsa, S.S.; Islam, M.N.; Lockwood, M. Pseudo-spectral and variational iteration simulation of exothermically-reacting Rivlin-Ericksen viscoelastic flow and heat transfer in a rocket propulsion duct. Comput. Therm. Sci. Int. J. 2014, 6, 91–102. [Google Scholar] [CrossRef]
- Elsayed, A.F.; Bég, O.A. New computational approaches for biophysical heat transfer in tissue under ultrasonic waves: The variational iteration and Chebyschev spectral simulations. J. Mech. Med. Biol. 2014, 14, 1450043. [Google Scholar] [CrossRef]
- Animasaun, I.L. Melting heat and mass transfer in stagnation point micropolar fluid flow of temperature dependent fluid viscosity and thermal conductivity at constant vortex viscosity. J. Egypt. Math. Soc. 2017, 25, 79–85. [Google Scholar] [CrossRef]
- Amirsom, N.; Uddin, M.; Ismail, A. Three dimensional stagnation point flow of bionanofluid with variable transport properties. Alex. Eng. J. 2016, 55, 1983–1993. [Google Scholar] [CrossRef]
- Hayat, T.; Hussain, Q.; Javed, T. The modified decomposition method and Padé approximants for the MHD flow over a non-linear stretching sheet. Nonlinear Anal. Real World Appl. 2009, 10, 966–973. [Google Scholar] [CrossRef]
- Andersson, H.I. Slip flow past a stretching surface. Acta Mech. 2002, 158, 121–125. [Google Scholar] [CrossRef]
- Hamad, M.A.A.; Uddin, M.J.; Ismail, A.I.M. Investigation of combined heat and mass transfer by Lie group analysis with variable diffusivity taking into account hydrodynamic slip and thermal convective boundary conditions. Int. J. Heat Mass Transf. 2012, 55, 1355–1362. [Google Scholar] [CrossRef]
- He, J.-H. Variational iteration method–a kind of non-linear analytical technique: Some examples. Int. J. Non-Linear Mech. 1999, 34, 699–708. [Google Scholar] [CrossRef]
- El-Wakil, S.; Abulwafa, E. Variational-iterative method for conductive-radiative heat transfer in spherical inhomogeneous medium. J. Thermophys. Heat Transf. 2000, 14, 612–615. [Google Scholar] [CrossRef]
- Kim, J.-Y.; Jang, K.; Yang, S.-J.; Baek, J.-H.; Park, J.-R.; Yeom, D.-I.; Kim, J.-S.; Kim, H.-S.; Jun, J.-H.; Chung, S.-C. Simulation study of the thermal and the thermoelastic effects induced by pulsed laser absorption in human skin. J. Korean Phys. Soc. 2016, 68, 979–988. [Google Scholar] [CrossRef]
- Zueco, J.; Bég, O.A.; Takhar, H.; Prasad, V. Thermophoretic hydromagnetic dissipative heat and mass transfer with lateral mass flux, heat source, Ohmic heating and thermal conductivity effects: Network simulation numerical study. Appl. Therm. Eng. 2009, 29, 2808–2815. [Google Scholar] [CrossRef]
- Khan, J.A.; Mustafa, M.; Hayat, T.; Alsaedi, A. Three-dimensional flow of nanofluid over a non-linearly stretching sheet: An application to solar energy. Int. J. Heat Mass Transf. 2015, 86, 158–164. [Google Scholar] [CrossRef]
- Tripathi, D.; Sharma, A.; Bég, O.A. Electrothermal transport of nanofluids via peristaltic pumping in a finite micro-channel: Effects of Joule heating and Helmholtz-Smoluchowski velocity. Int. J. Heat Mass Transf. 2017, 111, 138–149. [Google Scholar] [CrossRef]
- Tripathi, D.; Yadav, A.; Bég, O.A.; Kumar, R. Study of microvascular non-Newtonian blood flow modulated by electroosmosis. Microvasc. Res. 2018, 117, 28–36. [Google Scholar] [CrossRef]
- Sheikholeslami, M. Chapter 11—Electrohydrodynamic Nanofluid Natural Convection Using CVFEM. In Application of Control Volume Based Finite Element Method (CVFEM) for Nanofluid Flow and Heat Transfer; Sheikholeslami, M., Ed.; Elsevier: Amsterdam, The Netherlands, 2019; pp. 373–398. [Google Scholar]









| Hayat et al. [53] (Modified Adomian Decomposition) | Mabood and Mastroberardino [48] (RKF45) | Present Results (BVP4C) | Present Results (VIM) | |
|---|---|---|---|---|
| 0 | 1.00000 | 1.000008 | 1.0013962 | 1.0000002 |
| 1 | −1.41421 | −1.4142135 | −1.4142375 | −1.41422211 |
| 5 | −2.44948 | −2.4494897 | −2.4494897 | −2.4494901 |
| 10 | −3.31662 | −3.3166247 | −3.3166248 | −3.3166229 |
| 50 | −7.14142 | −7.1414284 | −7.1414284 | −7.1414279 |
| 100 | −10.04987 | −10.049875 | −10.049876 | −10.049868 |
| 500 | −22.38302 | −22.383029 | −22.383029 | −22.383031 |
| 1000 | −31.63858 | −31.638584 | −31.638584 | −31.638578 |
| Andersson [54] | Hamad et al. [55] | Present Results (BVP4C) | |
|---|---|---|---|
| 0 | 1.0000 | 1.00000000 | 1.00000000 |
| 0.1 | 0.8721 | 0.87208247 | 0.87204247 |
| 0.2 | 0.7764 | 0.77637707 | 0.77593307 |
| 0.5 | 0.5912 | 0.59119548 | 0.59119589 |
| 1.0 | 0.4302 | 0.43015970 | 0.43016000 |
| 2.0 | 0.2840 | 0.28397959 | 0.28398932 |
| 5.0 | 0.1448 | 0.14484019 | 0.14464015 |
| 10.0 | 0.0812 | 0.08124198 | 0.08124091 |
| 20.0 | 0.0438 | 0.04378834 | 0.04378790 |
| 50.0 | 0.0186 | 0.01859623 | 0.01857868 |
| 100.0 | 0.0095 | 0.00954997 | 0.00954677 |
© 2019 by the authors. Licensee MDPI, Basel, Switzerland. This article is an open access article distributed under the terms and conditions of the Creative Commons Attribution (CC BY) license (http://creativecommons.org/licenses/by/4.0/).
Share and Cite
Amirsom, N.A.; Uddin, M.J.; Md Basir, M.F.; Kadir, A.; Bég, O.A.; Md. Ismail, A.I. Computation of Melting Dissipative Magnetohydrodynamic Nanofluid Bioconvection with Second-order Slip and Variable Thermophysical Properties. Appl. Sci. 2019, 9, 2493. https://doi.org/10.3390/app9122493
Amirsom NA, Uddin MJ, Md Basir MF, Kadir A, Bég OA, Md. Ismail AI. Computation of Melting Dissipative Magnetohydrodynamic Nanofluid Bioconvection with Second-order Slip and Variable Thermophysical Properties. Applied Sciences. 2019; 9(12):2493. https://doi.org/10.3390/app9122493
Chicago/Turabian StyleAmirsom, Nur Ardiana, Md. Jashim Uddin, Md Faisal Md Basir, Ali Kadir, O. Anwar Bég, and Ahmad Izani Md. Ismail. 2019. "Computation of Melting Dissipative Magnetohydrodynamic Nanofluid Bioconvection with Second-order Slip and Variable Thermophysical Properties" Applied Sciences 9, no. 12: 2493. https://doi.org/10.3390/app9122493
APA StyleAmirsom, N. A., Uddin, M. J., Md Basir, M. F., Kadir, A., Bég, O. A., & Md. Ismail, A. I. (2019). Computation of Melting Dissipative Magnetohydrodynamic Nanofluid Bioconvection with Second-order Slip and Variable Thermophysical Properties. Applied Sciences, 9(12), 2493. https://doi.org/10.3390/app9122493

