Simultaneous Supercritical Fluid Extraction of Heather (Calluna vulgaris L.) and Marigold (Calendula officinalis L.) and Anti-Inflammatory Activity of the Extracts
Abstract
:1. Introduction
2. Materials and Methods
2.1. Samples and Chemicals
2.2. Supercritical Fluid Extractions
2.3. Chemical Analysis
2.4. Anti-Inflammatory Activity Assays
2.4.1. Cell Culture and Treatment
2.4.2. Cytotoxicity Assays
2.4.3. Quantification of Cytokines by ELISA
2.4.4. Statistical Analysis
3. Results and Discussion
3.1. Effect of the Process Parameters on Overall Extraction Yield
3.2. Effect of the Process Parameters on Triterpenic Acids Content
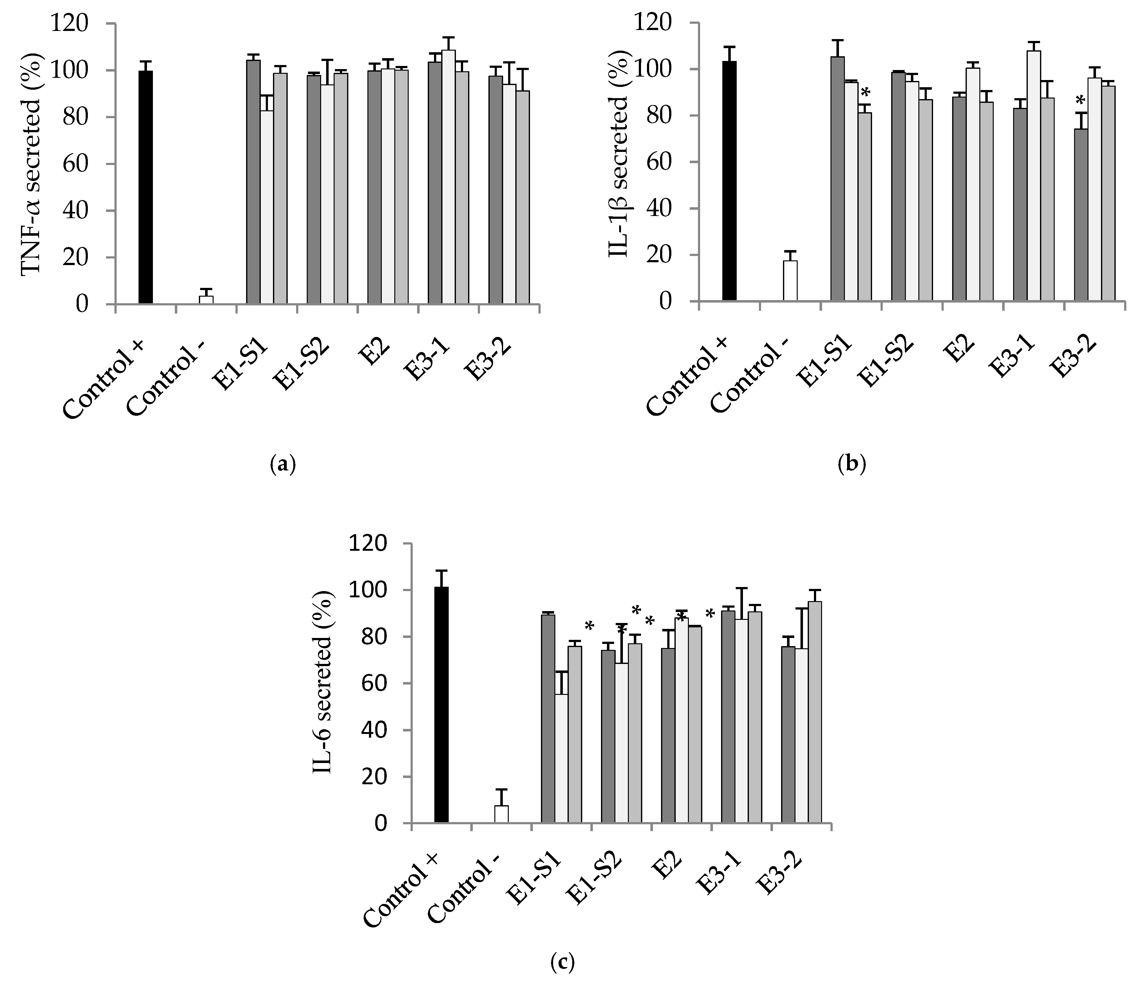
3.3. Anti-Inflammatory Activity of the Extracts
4. Conclusions
Author Contributions
Funding
Acknowledgments
Conflicts of Interest
References
- Ukiya, M.; Akihisa, T.; Yasukawa, K.; Tokuda, H.; Suzuki, T.; Kimura, Y. Anti-inflammatory, anti-tumor-promoting, and cytotoxic activities of constituents of marigold (Calendula officinalis) flowers. J. Nat. Prod. 2006, 69, 1692–1696. [Google Scholar] [CrossRef]
- Agnihotri, S.; Wakode, S.; Agnihotri, A. An overview on anti-inflammatory properties and chemo-profiles of plants used in traditional medicine. Ind. J. Nat. Prod. Resour. 2010, 1, 150–167. [Google Scholar]
- Efstratiou, E.; Hussain, A.I.; Nigam, P.S.; Moore, J.E.; Ayub, M.A.; Rao, J.R. Antimicrobial activity of Calendula officinalis petal extracts against fungi, as well as Gram-negative and Gram-positive clinical pathogens. Complement. Ther. Clin. Pract. 2012, 18, 173–176. [Google Scholar] [CrossRef] [PubMed]
- Ercetin, T.; Senol, F.S.; Orhan, I.E.; Toker, G. Comparative assessment of antioxidant and cholinesterase inhibitory properties of the marigold extracts from Calendula arvensis L. and Calendula officinalis L. Ind. Crops Prod. 2012, 36, 203–208. [Google Scholar] [CrossRef]
- Matic, I.; Juranic, Z.; Savikin, K.; Zdunic, G.; Nadvinski, N.; Godevac, D. Chamomile and marigold tea: Chemical characterization and evaluation of anticancer activity. Phytother. Res. 2013, 27, 852–858. [Google Scholar] [CrossRef]
- Kalemba-Drozdz, M.; Cierniak, A. Antioxidant and genoprotective properties of extracts from edible flowers. J. Food Nutr. Res. 2019, 58, 42–50. [Google Scholar]
- Athaiban, M.A. Effect of Calendula officinalis extract against streptozotocin induced diabetes in male rats. Int. J. Pharm. Phytopharmacol. Res. 2018, 8, 22–28. [Google Scholar]
- Hotamisligil, G.S. Inflammation and metabolic disorders. Nature 2006, 444, 860–867. [Google Scholar] [CrossRef]
- Orhan, I.; Küpeli, E.; Terzioğlu, S.; Yesilad, E. Bioassay-guided isolation of kaempferol-3-O-β-d-galactoside with anti-inflammatory and antinociceptive activity from the aerial part of Calluna vulgaris L. J. Ethnopharmacol. 2007, 114, 32–37. [Google Scholar] [CrossRef]
- Parente, L.M.L.; Júnior, R.S.L.; Tresvenzol, L.M.F.; Vinaud, M.C.; de Paula, J.R.; Paulo, N.M. Wound healing and anti-inflammatory effect in animal models of Calendula officinalis L. growing in Brazil. Evid. Based Complement. Alternat. Med. 2012. [Google Scholar] [CrossRef]
- Preethi, K.C.; Kuttan, G.; Kuttan, R. Anti-inflammatory activity of flower extract of Calendula officinalis Linn. and its possible mechanism of action. Ind. J. Exp. Biol. 2009, 47, 113–120. [Google Scholar]
- Pereira, C.G.; Meireles, M.A.A. Supercritical fluid extraction of bioactive compounds: Fundamentals, applications and economic perspectives. Food Bioprocess. Technol. 2010, 3, 340–372. [Google Scholar] [CrossRef]
- García-Risco, M.R.; Vázquez, E.; Sheldon, J.; Steinmann, E.; Riebesehl, N.; Fornari, T.; Reglero, G. Supercritical fluid extraction of heather (Calluna vulgaris) and evaluation of anti-hepatitis C virus activity of the extracts. Virus Res. 2015, 198, 9–14. [Google Scholar] [CrossRef] [PubMed]
- Hunt, A.J. The extraction of high value chemicals from heather (Calluna vulgaris). Ph.D. Thesis, University of York, York, UK, 2006. [Google Scholar]
- Zhao, J. The extraction of high value chemicals from heather (Calluna vulgaris) and braken (Pteridium aquilinum). Ph.D. Thesis, University of York, York, UK, 2011. [Google Scholar]
- Palumpitag, W.; Prasitchoke, P.; Goto, M.; Shotipruk, A. Supercritical carbon dioxide extraction of marigold lutein fatty acid esters: Effects of cosolvents and saponification conditions. Sep. Sci. Technol. 2011, 46, 605–610. [Google Scholar] [CrossRef]
- Hamburger, H.; Baumann, D.; Adler, S. Supercritical carbon dioxide extraction of selected medicinal plants—Effects of high pressure and added ethanol on yield of extracted substances. Phytochem. Anal. 2004, 15, 46–54. [Google Scholar] [CrossRef] [PubMed]
- Campos, L.M.A.S.; Michielin, E.M.Z.; Danielski, L.; Ferreira, S.R.S. Experimental data and modeling the supercritical fluid extraction of marigold (Calendula officinalis) oleoresin. J. Supercrit. Fluids 2005, 34, 163–170. [Google Scholar] [CrossRef]
- Danielski, L.; Campos, L.M.A.S.; Bresciani, L.F.V.; Hense, H.; Yunes, R.A.; Ferreira, S.R.S. Marigold (Calendula officinalis L.) oleoresin: Solubility in SC-CO2 and composition profile. Chem. Eng. Process 2007, 46, 99–106. [Google Scholar] [CrossRef]
- Petrović, L.; Lepojević, Ž.; Sovilj, V.; Adamović, D.; Tešević, V. An investigation of CO2 extraction of marigold (Calendula officinalis L.). J. Serb. Chem. Soc. 2007, 72, 407–413. [Google Scholar]
- Baumann, D.; Adler, S.; Grüner, S.; Otto, F.; Weinreich, B.; Hamburger, M. Supercritical carbon dioxide extraction of marigold at high pressures: Comparison of analytical and pilot-scale extraction. Phytochem. Anal. 2004, 15, 226–230. [Google Scholar] [CrossRef]
- Hamburger, H.; Adler, S.; Baumann, D.; Förg, A.; Weinreich, B. Preparative purification of the major anti-inflammatory triterpenoid esters from Marigold (Calendula officinalis). Fitoterapia 2003, 74, 328–338. [Google Scholar] [CrossRef]
- Della Loggia, R.; Tubaro, A.; Sosa, S.; Becker, H.; Saar, S.; Isaac, O. The role of triterpenoids in the topical anti-inflammatory activity of Calendula officinalis flowers. Planta Med. 1994, 60, 516–520. [Google Scholar] [CrossRef] [PubMed]
- Tsai, J.C.; Peng, W.H.; Chiu, T.H.; Lai, S.C.; Lee, C.Y. Anti-inflammatory effects of Scoparia dulcis L. and betulinic acid. Am. J. Chin. Med. 2011, 39, 943–956. [Google Scholar] [CrossRef]
- Jeong, G.S.; Bae, J.S. Anti-inflammatory effects of triterpenoids; naturally occurring and synthetic agents. Mini Rev. Org. Chem. 2014, 11, 316–329. [Google Scholar] [CrossRef]
- Villanueva-Bermejo, D.; Zahran, F.; García-Risco, M.R.; Reglero, G.; Fornari, T. Supercritical fluid extraction of Bulgarian Achillea millefolium. J. Supercrit. Fluids 2017, 119, 283–288. [Google Scholar] [CrossRef]
- Martelanc, M.; Vovk, I.; Simonovska, B. Determination of three major triterpenoids in epicuticular wax of cabbage (Brassica oleracea L.) by high-performance liquid chromatography with UV and mass spectrometric detection. J. Chromatogr. A 2007, 1164, 145–152. [Google Scholar] [CrossRef] [PubMed]
- Mosmann, T. Rapid colorimetric assay for cellular growth and survival: Application to proliferation and cytotoxicity assays. J. Immunol. Methods 1983, 65, 55–63. [Google Scholar] [CrossRef]
- Fan, J.; Kong, T.; Zhang, L.; Tong, S.; Tian, Z.; Duan, Y.; Zhang, X. Solubilities of ursolic acid and oleanolic acid in four solvents from (283.2 to 329.7) K. J. Chem. Eng. Data 2011, 56, 2723–2725. [Google Scholar] [CrossRef]
- Ovesna, Z.; Vachalkova, A.; Horvathova, K.; Tothova, D. Pentacyclic triterpenoid acids: New chemoprotective compounds. Neoplasma 2004, 51, 327–333. [Google Scholar]
- Tsai, S.J.; Yin, M.C. Antioxidative and anti-inflammatory protection of oleanolic acid and ursolic acid in PC12 Cells. J. Food Sci. 2008, 73, H174–H178. [Google Scholar] [CrossRef] [PubMed]
- Ikeda, Y.; Murakami, A.; Ohigashi, H. Ursolic acid: An anti- and pro-inflammatory triterpenoid. Mol. Nutr. Food Res. 2008, 52, 26–42. [Google Scholar] [CrossRef]

| Run | P (MPa) | T (°C) | t (h) | F (g/min) | P S1 (MPa) | P S2 (MPa) | T S1 (°C) | T S2 (°C) | EtOH (%) |
|---|---|---|---|---|---|---|---|---|---|
| E1 | 50 | 50 | 4 | 50 | 30 | 6 | 35 | 35 | 0 |
| E2 a | 30 | 50 | 4 | 50 | 2 | 0 | 10 | 10 | 10 |
| E3-1 | 25 | 50 | 1.5 | 50 | 6 | 6 | 35 | 35 | 0 |
| E3-2 | 30 | 50 | 2.5 | 50 | 2 | 0 | 10 | 10 | 10 |
| Heather | Marigold | Heather + Marigold (50:50) | ||
|---|---|---|---|---|
| Run | Experimental | Experimental | Experimental | Theoretical |
| E1-S1 | 0.26 | 0.33 | 0.49 | 0.30 |
| E1-S2 | 1.94 | 3.04 | 2.64 | 2.49 |
| E2 | 1.71 a | 6.94 a | 6.06 a | 4.33 |
| E3-1 | 2.65 | 2.76 | 2.04 | 2.71 |
| E3-2 | 5.28 | 4.48 | 3.43 | 4.88 |
| Heather | Marigold a | ||||
|---|---|---|---|---|---|
| Run | Oleanolic | Ursolic | Betulinic | Oleanolic | Ursolic |
| E1-S1 | 13.50 ± 1.65 | 98.56 ± 10.20 | 3.89 ± 0.37 | 36.79 ± 3.87 | 19.46 ± 1.20 |
| E1-S2 | 2.53 ± 0.22 | 2.95 ± 0.05 | 3.29 ± 0.21 | 42.96 ± 2.44 | 22.79 ± 1.98 |
| E2 | 54.04 ± 3.21 | 38.67 ± 1.23 | 17.78 ± 1.58 | 29.90 ± 1.25 | 15.54 ± 1.33 |
| E3-1 | 1.44 ± 0.15 | 2.19 ± 0.10 | 2.11 ± 0.39 | 59.96 ± 1.08 | 30.80 ± 0.90 |
| E3-2 | 73.14 ± 2.87 | 51.62 ± 1.52 | 28.13 ± 3.10 | 8.97 ± 0.87 | 3.59 ± 0.35 |
| Oleanolic | Ursolic | |||
|---|---|---|---|---|
| Run | Experimental | Theoretical | Experimental | Theoretical |
| E1-S1 | 13.73 ± 1.22 | 26.53 | 21.41 ± 2.10 | 54.32 |
| E1-S2 | 6.23 ± 0.25 | 27.21 | 12.70 ± 0.52 | 15.06 |
| E2 | 43.64 ± 2.32 | 34.67 | 58.12 ± 3.21 | 20.11 |
| E3-1 | 12.87 ± 1.14 | 31.29 | 25.19 ± 1.22 | 16.79 |
| E3-2 | 36.35 ± 0.56 | 43.68 | 41.95 ± 1.87 | 29.57 |
© 2019 by the authors. Licensee MDPI, Basel, Switzerland. This article is an open access article distributed under the terms and conditions of the Creative Commons Attribution (CC BY) license (http://creativecommons.org/licenses/by/4.0/).
Share and Cite
Villanueva-Bermejo, D.; Vázquez, E.; Villalva, M.; Santoyo, S.; Fornari, T.; Reglero, G.; Rodriguez García-Risco, M. Simultaneous Supercritical Fluid Extraction of Heather (Calluna vulgaris L.) and Marigold (Calendula officinalis L.) and Anti-Inflammatory Activity of the Extracts. Appl. Sci. 2019, 9, 2245. https://doi.org/10.3390/app9112245
Villanueva-Bermejo D, Vázquez E, Villalva M, Santoyo S, Fornari T, Reglero G, Rodriguez García-Risco M. Simultaneous Supercritical Fluid Extraction of Heather (Calluna vulgaris L.) and Marigold (Calendula officinalis L.) and Anti-Inflammatory Activity of the Extracts. Applied Sciences. 2019; 9(11):2245. https://doi.org/10.3390/app9112245
Chicago/Turabian StyleVillanueva-Bermejo, David, Erika Vázquez, Marisol Villalva, Susana Santoyo, Tiziana Fornari, Guillermo Reglero, and Mónica Rodriguez García-Risco. 2019. "Simultaneous Supercritical Fluid Extraction of Heather (Calluna vulgaris L.) and Marigold (Calendula officinalis L.) and Anti-Inflammatory Activity of the Extracts" Applied Sciences 9, no. 11: 2245. https://doi.org/10.3390/app9112245
APA StyleVillanueva-Bermejo, D., Vázquez, E., Villalva, M., Santoyo, S., Fornari, T., Reglero, G., & Rodriguez García-Risco, M. (2019). Simultaneous Supercritical Fluid Extraction of Heather (Calluna vulgaris L.) and Marigold (Calendula officinalis L.) and Anti-Inflammatory Activity of the Extracts. Applied Sciences, 9(11), 2245. https://doi.org/10.3390/app9112245

