Coupled Dual-Loop Optoelectronic Oscillator Based on Stimulated Brillouin Scattering
Abstract
:1. Introduction
2. Principle of Operation
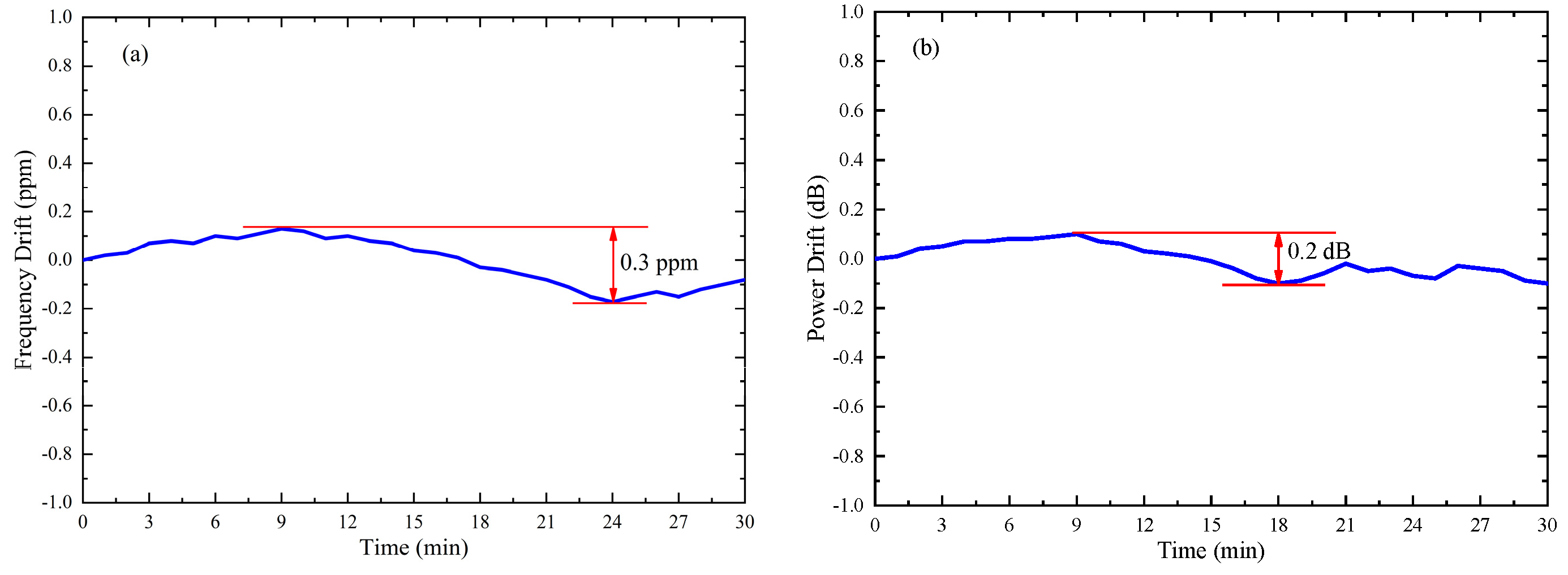
3. Experiment and Results
4. Conclusions
Author Contributions
Funding
Conflicts of Interest
References
- Yao, X.S.; Maleki, L. Optoelectronic microwave oscillator. J. Opt. Soc. Am. B 1996, 13, 1725–1735. [Google Scholar] [CrossRef]
- Ghelfi, P.; Laghezza, F.; Scotti, F.; Serafino, G.; Capria, A.; Pinna, S.; Onori, D.; Porzi, C.; Scaffardi, M.; Malacarne, A.; et al. A fully photonics-based coherent radar system. Nature 2014, 507, 341–345. [Google Scholar] [CrossRef] [PubMed]
- Chembo, Y.K. Laser-based optoelectronic generation of narrowband microwave chaos for radars and radio-communication scrambling. Opt. Lett. 2017, 42, 3431–3434. [Google Scholar] [CrossRef] [PubMed]
- Zou, X.H.; Liu, X.K.; Li, W.Z.; Li, P.X.; Pan, W.; Yan, L.S.; Shao, L.Y. Optoelectronic Oscillators (OEOs) to Sensing, Measurement, and Detection. IEEE J. Quantum Electron. 2016, 52. [Google Scholar] [CrossRef]
- Pan, S.L.; Yao, J.P. Wideband and frequency-tunable microwave generation using an optoelectronic oscillator incorporating a Fabry-Perot laser diode with external optical injection. Opt. Lett. 2010, 35, 1911–1913. [Google Scholar] [CrossRef] [PubMed]
- Tang, Z.Z.; Pan, S.L.; Zhu, D.; Guo, R.H.; Zhao, Y.J.; Pan, M.H.; Ben, D.; Yao, J.P. Tunable Optoelectronic Oscillator Based on a Polarization Modulator and a Chirped FBG. IEEE Photonics Technol. Lett. 2012, 24, 1487–1489. [Google Scholar] [CrossRef]
- Li, W.Z.; Yao, J.P. A Wideband Frequency Tunable Optoelectronic Oscillator Incorporating a Tunable Microwave Photonic Filter Based on Phase-Modulation to Intensity-Modulation Conversion Using a Phase-Shifted Fiber Bragg Grating. IEEE Trans. Microw. Theory Techn. 2012, 60, 1735–1742. [Google Scholar] [CrossRef]
- Xie, X.P.; Zhang, C.; Sun, T.; Guo, P.; Zhu, X.Q.; Zhu, L.X.; Hu, W.W.; Chen, Z.Y. Wideband tunable optoelectronic oscillator based on a phase modulator and a tunable optical filter. Opt. Lett. 2013, 38, 655–657. [Google Scholar] [CrossRef] [PubMed]
- Marpaung, D.; Morrison, B.; Pagani, M.; Pant, R.; Choi, D.Y.; Luther-Davies, B.; Madden, S.J.; Eggleton, B.J. Low-power, chip-based stimulated Brillouin scattering microwave photonic filter with ultrahigh selectivity. Optica 2015, 2, 76–83. [Google Scholar] [CrossRef]
- Kittlaus, E.A.; Otterstrom, N.T.; Rakich, P.T. On-chip inter-modal Brillouin scattering. Nat. Commun. 2017, 8. [Google Scholar] [CrossRef] [PubMed]
- Yao, X.S.; Maleki, L. Multiloop optoelectronic oscillator. IEEE J. Quantum Electron. 2000, 36, 79–84. [Google Scholar] [CrossRef]
- Jiang, Y.; Yu, J.L.; Wang, Y.T.; Zhang, L.T.; Yang, E.Z. An optical domain combined dual-loop optoelectronic oscillator. IEEE Photonics Technol. Lett. 2007, 19, 807–809. [Google Scholar] [CrossRef]
- Jia, S.; Yu, J.L.; Wang, J.; Wang, W.R.; Wu, Q.; Huang, G.B.; Yang, E.Z. A Novel Optoelectronic Oscillator Based on Wavelength Multiplexing. IEEE Photonics Technol. Lett. 2015, 27, 213–216. [Google Scholar] [CrossRef]
- Fan, F.; Hu, J.J.; Zhu, W.W.; Gu, Y.Y.; Han, X.Y.; Zhao, M.S. Dual-loop optoelectronic oscillator based on a compact balanced detection scheme. Opt. Eng. 2017, 56. [Google Scholar] [CrossRef]
- Peng, H.F.; Zhang, C.; Xie, X.P.; Sun, T.; Guo, P.; Zhu, X.Q.; Zhu, L.X.; Hu, W.W.; Chen, Z.Y. Tunable DC-60 GHz RF Generation Utilizing a Dual-Loop Optoelectronic Oscillator Based on Stimulated Brillouin Scattering. J. Lightw. Technol. 2015, 33, 2707–2715. [Google Scholar] [CrossRef]
- Han, X.Y.; Ma, L.; Shao, Y.C.; Ye, Q.; Gu, Y.Y.; Zhao, M.S. Polarization multiplexed dual-loop optoelectronic oscillator based on stimulated Brillouin scattering. Opt. Commun. 2017, 383, 138–143. [Google Scholar] [CrossRef]
- Zhang, Y.L.; Hou, D.; Zhao, J.Y. Long-Term Frequency Stabilization of an Optoelectronic Oscillator Using Phase-Locked Loop. J. Lightw. Technol. 2014, 32, 2408–2414. [Google Scholar] [CrossRef]
- Bogataj, L.; Vidmar, M.; Batagelj, B. A Feedback Control Loop for Frequency Stabilization in an Opto-Electronic Oscillator. J. Lightw. Technol. 2014, 32, 3690–3694. [Google Scholar] [CrossRef]
- Liu, J.L.; Liu, A.N.; Dai, J.; Zhang, T.; Xu, K. Generation and stabilization of millimeter-wave signal employing frequency-quadrupling phase-locked optoelectronic oscillator. In Proceedings of the SPIE Terahertz, RF, Millimeter, and Submillimeter-Wave Technology and Applications XI, San Francisco, CA, USA, 29 January–1 February 2018. [Google Scholar] [CrossRef]
- Li, H.W.; Daryoush, A.S.; Vilcot, J.P.; Decoster, D.; Chazelas, J.; Bouwmans, G.; Quiquempois, Y.; Deborgies, E. Improving thermal stability of opto-electronic oscillators. IEEE Microw. Mag. 2006, 7, 38–47. [Google Scholar] [CrossRef]
- Saleh, K.; Bouchier, A.; Merrer, P.H.; Llopis, O.; Cibiel, G. Fiber Ring Resonator Based Opto-Electronic Oscillator: Phase Noise Optimisation and Thermal Stability Study. In Proceedings of the SPIE 7936, RF and Millimeter-Wave Photonics, San Francisco, CA, USA, 22–27 January 2011. [Google Scholar]
- Peng, H.F.; Xu, Y.C.; Peng, X.F.; Zhu, X.Q.; Guo, R.; Chen, F.Y.; Du, H.Y.; Chen, Y.X.; Zhang, C.; Zhu, L.X.; et al. Wideband tunable optoelectronic oscillator based on the deamplification of stimulated Brillouin scattering. Opt. Express 2017, 25, 10287–10305. [Google Scholar] [CrossRef]
- Nguimdo, R.M.; Chembo, Y.K.; Colet, P.; Larger, L. On the Phase Noise Performance of Nonlinear Double-Loop Optoelectronic Microwave Oscillators. IEEE J. Quantum Electron. 2012, 48, 1415–1423. [Google Scholar] [CrossRef]
- Xu, W.; Jin, T.; Chi, H. Frequency multiplying optoelectronic oscillator based on nonlinearly-coupled double loops. Opt. Express 2013, 21, 32516–32523. [Google Scholar] [CrossRef]








© 2019 by the authors. Licensee MDPI, Basel, Switzerland. This article is an open access article distributed under the terms and conditions of the Creative Commons Attribution (CC BY) license (http://creativecommons.org/licenses/by/4.0/).
Share and Cite
Fan, F.; Zhu, W.; Wang, J.; Hu, J.; Gu, Y.; Wu, Z.; Han, X.; Zhao, M. Coupled Dual-Loop Optoelectronic Oscillator Based on Stimulated Brillouin Scattering. Appl. Sci. 2019, 9, 2077. https://doi.org/10.3390/app9102077
Fan F, Zhu W, Wang J, Hu J, Gu Y, Wu Z, Han X, Zhao M. Coupled Dual-Loop Optoelectronic Oscillator Based on Stimulated Brillouin Scattering. Applied Sciences. 2019; 9(10):2077. https://doi.org/10.3390/app9102077
Chicago/Turabian StyleFan, Feng, Wenwu Zhu, Jiabin Wang, Jingjing Hu, Yiying Gu, Zhenlin Wu, Xiuyou Han, and Mingshan Zhao. 2019. "Coupled Dual-Loop Optoelectronic Oscillator Based on Stimulated Brillouin Scattering" Applied Sciences 9, no. 10: 2077. https://doi.org/10.3390/app9102077
APA StyleFan, F., Zhu, W., Wang, J., Hu, J., Gu, Y., Wu, Z., Han, X., & Zhao, M. (2019). Coupled Dual-Loop Optoelectronic Oscillator Based on Stimulated Brillouin Scattering. Applied Sciences, 9(10), 2077. https://doi.org/10.3390/app9102077

