Metal-to-Insulator Transition in Ultrathin Manganite Heterostructures
Abstract
1. Introduction
2. Epitaxial Growth of LSMO
3. The Dead Layer in LSMO
4. Mechanism of the MIT
4.1. Orbital Reconstruction
4.2. Valence Change
4.3. Orbital Hybridization
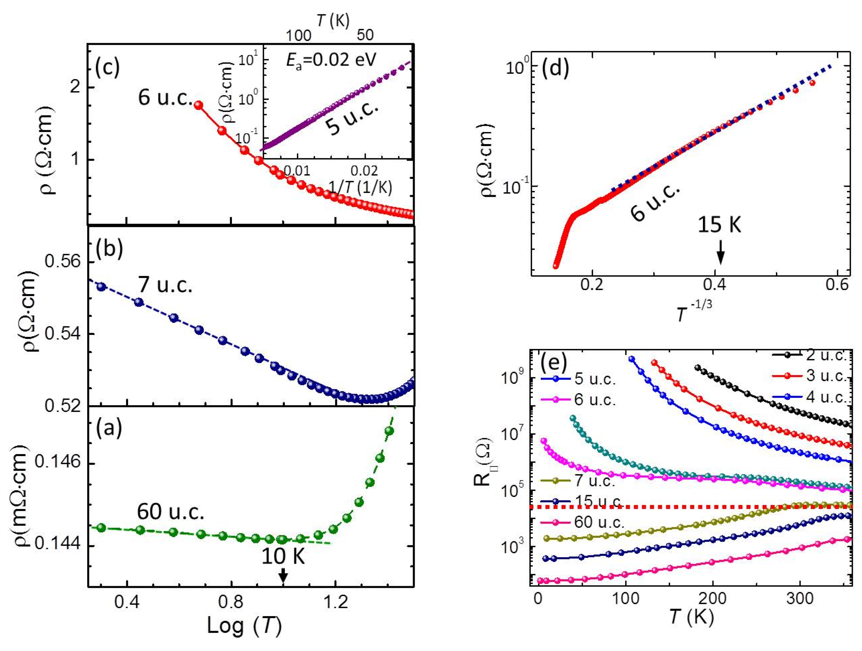
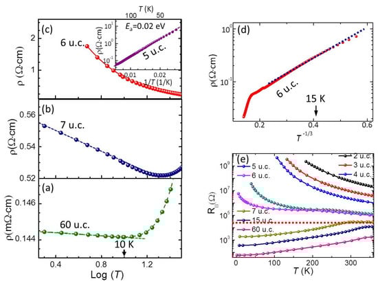
4.4. Anderson Localization Effect
4.5. Structure Imperfection
4.6. Overview of the Mechanism of MIT in LSMO
5. MIT in Other Correlated ABO3 Thin Films
6. Future Prospect
Author Contributions
Funding
Conflicts of Interest
References
- Smith, H.M.; Turner, A.F. Vacuum deposited thin films using a ruby laser. Appl. Opt. 1965, 4, 147–148. [Google Scholar] [CrossRef]
- Christen, H.M.; Eres, G. Recent advances in pulsed-laser deposition of complex oxides. J. Phys. Condens. Matter 2008, 20, 264005. [Google Scholar] [CrossRef] [PubMed]
- Schlom, D.G. Perspective: Oxide molecular-beam epitaxy rocks! APL Mater. 2015, 3, 62403. [Google Scholar] [CrossRef]
- Schlom, D.G.; Chen, L.-Q.; Eom, C.-B.; Rabe, K.M.; Streiffer, S.K.; Triscone, J.-M. Strain tuning of ferroelectric thin films. Ann. Rev. Mater. Res. 2007, 37, 589–626. [Google Scholar] [CrossRef]
- Cao, J.B.; Wu, J.Q. Strain effects in low-dimensional transition metal oxides. Mater. Sci. Eng. R 2011, 71, 35–52. [Google Scholar] [CrossRef]
- Hwang, H.Y.; Iwasa, Y.; Kawasaki, M.; Keimer, B.; Nagaosa, N.; Tokura, Y. Emergent phenomena at oxide interfaces. Nat. Mater. 2012, 11, 103. [Google Scholar] [CrossRef]
- Zubko, P.; Gariglio, S.; Gabay, M.; Ghosez, P.; Triscone, J.-M. Interface Physics in Complex Oxide Heterostructures. Annu. Rev. Condens. Matter Phys. 2011, 2, 141. [Google Scholar] [CrossRef]
- Lee, H.N.; Christen, H.M.; Chisholm, M.F.; Rouleau, C.M.; Lowndes, D.H. Strong polarization enhancement in asymmetric three-component ferroelectric superlattices. Nature 2005, 433, 395. [Google Scholar] [CrossRef]
- Disa, A.S.; Kumah, D.P.; Malashevich, A.; Chen, H.H.; Arena, D.A.; Specht, E.D.; Ismail-Beigi, S.; Walker, F.J.; Ahn, C.H. Orbital engineering in symmetry-breaking polar heterostructures. Phys. Rev. Lett. 2015, 114, 026801. [Google Scholar] [CrossRef]
- Boris, A.V.; Matiks, Y.; Benckiser, E.; Frano, A.; Popovich, P.; Hinkov, V.; Wochner, P.; Castro-Colin, M.; Detemple, E.; Malik, V.K.; et al. Dimensionality control of electronic phase transitions in nickel-oxide superlattices. Science 2011, 332, 937–940. [Google Scholar] [CrossRef]
- Guo, H.W.; Wang, Z.; Dong, S.; Ghosh, S.; Saghayezhian, M.; Chen, L.; Weng, Y.; Herklotz, A.; Ward, T.Z.; Jin, R.Y.; et al. Interface-induced multiferroism by design in complex oxide superlattices. Proc. Natl. Acad. Sci. USA 2017, 114, 5062. [Google Scholar] [CrossRef] [PubMed]
- Kim, T.H.; Puggioni, D.; Yuan, Y.; Xie, L.; Zhou, H.; Campbell, N.; Ryan, P.J.; Choi, Y.; Kim, J.-W.; Patzner, J.R.; et al. Polar metals by geometric design. Nature 2016, 533, 68. [Google Scholar] [CrossRef] [PubMed]
- Yadav, A.K.; Nelson, C.T.; Hsu, S.L.; Hong, Z.; Clarkson, J.D.; Schlepütz, C.M.; Damodaran, A.R.; Shafer, P.; Arenholz, E.; Dedon, L.R.; et al. Observation of polar vortices in oxide superlattices. Nature 2016, 11, 198. [Google Scholar] [CrossRef] [PubMed]
- King, P.D.C.; Wei, H.I.; Nie, Y.F.; Uchida, M.; Adamo, C.; Zhu, S.; He, X.; Božović, I.; Schlom, D.G.; Shen, K.M. Atomic-scale control of competing electronic phases in ultrathin LaNiO3. Nat. Nanotechnol. 2014, 9, 443. [Google Scholar] [CrossRef] [PubMed]
- Yoshimatsu, K.; Okabe, T.; Kumigashira, H.; Okamoto, S.; Aizaki, S.; Fujimori, A.; Oshima, M. Dimensional-crossover-driven metal-insulator transition in SrVO3 ultrathin films. Phys. Rev. Lett. 2010, 104, 147601. [Google Scholar] [CrossRef] [PubMed]
- Xia, J.; Siemons, W.; Koster, G.; Beasley, M.R.; Kapitulnik, A. Critical thickness for itinerant ferromagnetism in ultrathin films of SrRuO3. Phys. Rev. B 2009, 79, 140407R. [Google Scholar] [CrossRef]
- Koster, G.; Klein, L.; Siemons, W.; Rijnders, G.; Dodge, J.S.; Eom, C.-B.; Blank, D.H.A.; Beasley, M.R. Structure, physical properties, and applications of SrRuO3 thin films. Rev. Mod. Phys. 2012, 84, 253. [Google Scholar] [CrossRef]
- Huijben, M.; Martin, L.W.; Chu, Y.-H.; Holcomb, M.B.; Yu, P.; Rijnders, G.; Blank, D.H.A.; Ramesh, R. Critical thickness and orbital ordering in ultrathin La0.7Sr0.3MnO3 films. Phys. Rev. B 2008, 78, 094413. [Google Scholar] [CrossRef]
- Wang, X.R.; Li, C.J.; Paudel, T.R.; Leusink, D.P.; Hoek, M.; Poccia, N.; Vailionis, A.; Venkatesan, T.; Coey, J.M.D.; Tsymbal, E.Y.; Ariando, H.H. Imaging and control of ferromagnetism in LaMnO3/SrTiO3 heterostructures. Science 2015, 349, 716–719. [Google Scholar] [CrossRef]
- Junquera, J.; Ghosez, P. Critical thickness for ferroelectricity in perovskite ultrathin films. Nature 2003, 422, 506. [Google Scholar] [CrossRef]
- Hemberger, J.; Krimmel, A.; Kurz, T.; von Nidda, H.-A.K.; Ivanov, V.Y.; Mukhin, A.A.; Balbashov, A.M.; Loidl, A. Structural, magnetic, and electrical properties of single-crystalline La1−xSrxMnO3 (0.4 < x < 0.85). Phys. Rev. B 2002, 66, 094410. [Google Scholar]
- Tokura, Y.; Tomioka, Y. Colossal magnetoresistive manganites. J. Magn. Magn. Mater. 1999, 200, 1. [Google Scholar] [CrossRef]
- Park, J.-H.; Vescovo, E.; Kim, H.-J.; Kwon, C.; Ramesh, R.; Venkatesan, T. Direct evidence for a half-metallic ferromagnet. Nature 1998, 392, 794. [Google Scholar] [CrossRef]
- Majumdar, S.; van Dijken, S. Pulsed laser deposition of La1−xSrxMnO3:thin-film properties and spintronic applications. J. Phys. D Appl. Phys. 2015, 47, 034010. [Google Scholar] [CrossRef]
- Xiong, Z.H.; Wu, D.; Vardeny, Z.V.; Shi, J. Giant magnetoresistance in organic spin-valves. Nature 2004, 427, 821. [Google Scholar] [CrossRef] [PubMed]
- Chung, B.W.; Brosha, E.L.; Garzon, F.H.; Raistrick, I.D.; Houlton, R.J.; Hawley, M.E. Growth of highly oriented La0.84Sr0.16MnO3 perovskite films. J. Mater. Res. 1995, 10, 2518–2522. [Google Scholar] [CrossRef]
- Kwon, C.; Robson, M.C.; Kim, K.-C.; Gu, J.Y.; Lofland, S.E.; Bhagat, S.M.; Trajanovic, Z.; Rajeswari, M.; Venkatesan, T.; Kratz, A.R.; et al. Stress-induced effects in epitaxial (La0.7Sr0.3)MnO3 films. J. Magn. Magn. Mater. 1997, 172, 229–236. [Google Scholar] [CrossRef]
- Suzukia, Y.; Hwang, H.Y.; Cheong, S.-W.; van Dover, R.B. The role of strain in magnetic anisotropy of manganite thin films. Appl. Phys. Lett. 1997, 71, 140–142. [Google Scholar] [CrossRef]
- Bowen, M.; Bibes, M.; Barthélémy, A.; Contour, J.-P.; Anane, A.; Lemaítre, Y.; Fert, A. Nearly total spin polarization in La2/3Sr1/3MnO3 from tunneling experiments. Appl. Phys. Lett. 2003, 82, 233–235. [Google Scholar] [CrossRef]
- Lu, Y.; Li, X.W.; Gong, G.Q.; Xiao, G.; Gupta, A.; Lecoeur, P.; Sun, J.Z.; Wang, Y.Y.; Dravid, V.P. Large magnetotunneling effect at low magnetic fields in micrometer-scale epitaxial La0.67Sr0.33MnO3 tunnel junctions. Phys. Rev. B 1996, 54, 8357. [Google Scholar] [CrossRef]
- Sun, J.Z.; Abraham, D.W.; Rao, R.A.; Eom, C.B. Thickness-dependent magnetotransport in ultrathin manganite films. Appl. Phys. Lett. 1999, 74, 3017–3019. [Google Scholar] [CrossRef]
- Borges, R.P.; Guichard, W.; Lunney, J.G.; Coey, J.M.D.; Ott, F. Magnetic and electric “dead” layers in (La0.7Sr0.3)MnO3 thin films. J. Appl. Phys. 2001, 89, 3868–3873. [Google Scholar] [CrossRef]
- Angeloni, M.; Balestrino, G.; Boggio, N.G.; Medaglia, P.G.; Orgiani, P.; Tebano, A. Suppression of the metal-insulator transition temperature in thin films. J. Appl. Phys. 2004, 96, 6387–6392. [Google Scholar] [CrossRef]
- Tebano, A.; Aruta, C.; Medaglia, P.G.; Tozzi, F.; Balestrino, G.; Sidorenko, A.A.; Allodi, G.; De Renzi, R.; Ghiringhelli, G.; Dallera, C.; et al. Strain-induced phase separation in La0.7Sr0.3MnO3 thin films. Phys. Rev. B 2006, 74, 245116. [Google Scholar] [CrossRef]
- Tebano, A.; Aruta, C.; Sanna, S.; Medaglia, P.G.; Balestrino, G.; Sidorenko, A.A.; De Renzi, R.; Ghiringhelli, G.; Braicovich, L.; Bisogni, V.; et al. Evidence of Orbital Reconstruction at Interfaces in Ultrathin La0.67Sr0.33MnO3 Films. Phys. Rev. Lett. 2008, 100, 137401. [Google Scholar] [CrossRef] [PubMed]
- Kim, B.; Kwon, D.; Yajima, T.; Bell, C.; Hikita, Y.; Kim, B.G.; Hwang, H.Y. Reentrant insulating state in ultrathin manganite films. Appl. Phys. Lett. 2011, 99, 092513. [Google Scholar] [CrossRef]
- Lepetit, M.B.; Mercey, B.; Simon, C. Interface effects in perovskite thin films. Phys. Rev. Lett. 2012, 108, 087202. [Google Scholar] [CrossRef] [PubMed]
- Peng, R.; Xu, H.C.; Xia, M.; Zhao, J.F.; Xie, X.; Xu, D.F.; Xie, B.P.; Feng, D.L. Tuning the dead-layer behavior of La0.67Sr0.33MnO3/SrTiO3 via interfacial engineering. Appl. Phys. Lett. 2014, 104, 081606. [Google Scholar] [CrossRef]
- Liao, Z.L.; Li, F.M.; Gao, P.; Li, L.; Guo, J.D.; Pan, X.Q.; Jin, R.; Plummer, E.W.; Zhang, J.D. Origin of the metal-insulator transition in ultrathin films of La2/3Sr1/3MnO3. Phys. Rev. B 2015, 92, 125123. [Google Scholar] [CrossRef]
- Liao, Z.L.; Gauquelin, N.; Green, R.J.; Macke, S.; Gonnissen, J.; Thomas, S.; Zhong, Z.C.; Li, L.; Si, L.; van Aert, S.; et al. Thickness Dependent Properties in Oxide Heterostructures Driven by Structurally Induced Metal–Oxygen Hybridization Variations. Adv. Funct. Mater. 2017, 27, 1606717. [Google Scholar] [CrossRef]
- Porter, S.B.; Venkatesan, M.; Dunne, P.; Doudin, B.; Rode, K.; Coey, J.M.D. Magnetic Dead Layers in La0.7Sr0.3MnO3 Revisited. IEEE Trans. Magn. 2017, 53, 11. [Google Scholar] [CrossRef]
- Moon, E.J.; Balachandran, P.V.; Kirby, B.J.; Keavney, D.J.; Sichel-Tissot, R.J.; Schlepütz, C.M.; Karapetrova, E.; Cheng, X.M.; Rondinelli, J.M.; May, S.J. Effect of Interfacial Octahedral Behavior in Ultrathin Manganite Films. Nano Lett. 2014, 14, 2509–2514. [Google Scholar] [CrossRef] [PubMed]
- Huijben, M.; Liu, Y.H.; Boschker, H.; Lauter, V.; Egoavil, R.; Verbeeck, J.; te Velthuis, S.G.E.; Rijnders, G.; Koster, G. Enhanced Local Magnetization by Interface Engineering in Perovskite-Type Correlated Oxide Heterostructures. Adv. Mater. Interfaces 2015, 2, 1400416. [Google Scholar] [CrossRef]
- Guo, E.J.; Roldan, M.A.; Charlton, T.; Liao, Z.L.; Zheng, Q.; Ambaye, H.; Herklotz, A.; Gai, Z.; Ward, T.Z.; Lee, H.N.; et al. Removal of the Magnetic Dead Layer by Geometric Design. Adv. Funct. Mater. 2018, 28, 1800922. [Google Scholar] [CrossRef]
- Macke, S.; Radi, A.; Hamann-Borrero, J.E.; Verna, A.; Bluschke, M.; Brück, S.; Goering, E.; Sutarto, R.; He, F.Z.; Cristiani, G.; et al. Element Specific Monolayer Depth Profiling. Adv. Mater. 2014, 26, 6554–6559. [Google Scholar] [CrossRef] [PubMed]
- Fister, T.T.; Fong, D.D.; Eastman, J.A.; Baldo, P.M.; Highland, M.J.; Fuoss, P.H.; Balasubramaniam, K.R.; Meador, J.C.; Salvador, P.A. In situ characterization of strontium surface segregation in epitaxial La0.7Sr0.3MnO3 thin films as a function of oxygen partial pressure. Appl. Phys. Lett. 2008, 93, 151904. [Google Scholar] [CrossRef]
- Herger, R.; Willmott, P.R.; Schlepuetz, C.M.; Bjoerck, M.; Pauli, S.A.; Martoccia, D.; Patterson, B.D.; Kumah, D.; Clarke, R.; Yacoby, Y.; et al. Structure determination of monolayer-by-monolayer grown La1−xSrxMnO3 thin films and the onset of magnetoresistance. Phys. Rev. B 2008, 77, 085401. [Google Scholar] [CrossRef]
- Dulli, H.; Dowben, P.A.; Liou, S.H.; Plummer, E.W. Surface segregation and restructuring of colossal-magnetoresistant manganese perovskites, La0.65Sr0.35MnO3. Phys. Rev. B 2000, 62, R14629. [Google Scholar] [CrossRef]
- Chen, L.N.; Wang, Z.; Wang, G.M.; Guo, H.W.; Saghayezhian, M.; Liao, Z.L.; Zhu, Y.M.; Plummer, E.W.; Zhang, J.D. Surface and Interface Properties of La2/3Sr1/3MnO3 Thin Films on SrTiO3(001). Phys. Rev. B Condens. Matter 2008, 78, 035448. [Google Scholar] [CrossRef]
- Kourkoutis, L.F.; Song, J.H.; Hwang, H.Y.; Muller, D.A. Microscopic origins for stabilizing room-temperature ferromagnetism in ultrathin manganite layers. Proc. Natl. Acad. Sci. USA 2010, 107, 11682–11685. [Google Scholar] [CrossRef]
- Koohfar, S.; Disa, A.S.; Marshall, M.S.J.; Walker, F.J.; Ahn, C.H.; Kumah, D.P. Structural distortions at polar manganite interfaces. Phys. Rev. B 2017, 96, 024108. [Google Scholar] [CrossRef]
- Pesquera, D.; Herranz, G.; Barla, A.; Pellegrin, E.; Bondino, F.; Magnano, E.; Sánchez, F.; Fontcuberta, J. Surface symmetry-breaking and strain effects on orbital occupancy in transition metal perovskite epitaxial films. Nat. Commun. 2012, 3, 1189. [Google Scholar] [CrossRef] [PubMed]
- Sandiumenge, F.; Santiso, J.; Balcells, L.; Konstantinovic, Z.; Roqueta, J.; Pomar, A.; Espinós, J.P.; Martínez, B. Competing Misfit Relaxation Mechanisms in Epitaxial Correlated Oxides. Phys. Rev. Lett. 2013, 110, 107206. [Google Scholar] [CrossRef] [PubMed]
- Lee, J.-S.; Arena, D.A.; Yu, P.; Nelson, C.S.; Fan, R.; Kinane, C.J.; Langridge, S.; Rossell, M.D.; Ramesh, R.; Kao, C.-C. Hidden Magnetic Configuration in Epitaxial La1−xSrxMnO3 Films. Phys. Rev. Lett. 2010, 105, 257204. [Google Scholar] [CrossRef] [PubMed]
- Mundy, J.A.; Hikita, Y.; Hidaka, T.; Yajima, T.; Higuchi, T.; Hwang, H.Y.; Muller, D.A.; Kourkoutis, L.F. Visualizing the interfacial evolution from charge compensation to metallic screening across the manganite metal–insulator transition. Nat. Commun. 2014, 5, 3464. [Google Scholar] [CrossRef] [PubMed]
- Boschker, H.; Verbeeck, J.; Egoavil, R.; Bals, S.; van Tendeloo, G.; Huijben, M.; Houwman, E.P.; Koster, G.; Blank, D.H.A.; Rijnders, G. Preventing the Reconstruction of the Polar Discontinuity at Oxide Heterointerfaces. Adv. Funct. Mater. 2012, 22, 2235–2240. [Google Scholar] [CrossRef]
- Li, L.; Liao, Z.L.; Diao, Z.Y.; Jin, R.Y.; Plummer, E.W.; Guo, J.D.; Zhang, J.D. Reentrance of low-temperature nonmetallic phase of La2/3Sr1/3MnO3 (110) thin films. Phys. Rev. Mater. 2017, 1, 034405. [Google Scholar] [CrossRef]
- Fang, Z.; Solovyev, I.V.; Terakura, K. Phase Diagram of Tetragonal Manganites. Phys. Rev. Lett. 2000, 84, 3169. [Google Scholar] [CrossRef] [PubMed]
- Wang, B.M.; You, L.; Ren, P.; Yin, X.M.; Peng, Y.; Xia, B.; Wang, L.; Yu, X.J.; Poh, S.M.; Yang, P.; et al. Oxygen-driven anisotropic transport in ultra-thin manganite films. Nat. Commun. 2013, 4, 2778. [Google Scholar] [CrossRef]
- Yang, F.; Kemik, N.; Biegalski, M.D.; Christen, H.M.; Arenholz, E.; Takamura, Y. Strain engineering to control the magnetic and magnetotransport properties of thin films. Appl. Phys. Lett. 2010, 97, 092503. [Google Scholar] [CrossRef]
- Fang, Z.; Terakura, K. Surface Magnetic Phase Diagram of Tetragonal Manganites. J. Phys. Soc. Jpn. 2011, 70, 3356–3361. [Google Scholar] [CrossRef]
- Koçak, A.B.; Varignon, J.; Lemal, S.; Ghosez, P.; Lepetit, M.B. Control of the orbital ordering in manganite superlattices and impact on properties. Phys. Rev. B 2017, 96, 125155. [Google Scholar] [CrossRef]
- Liao, Z.L.; Huijben, M.; Zhong, Z.; Gauquelin, N.; Macke, S.; Green, R.J.; van Aert, S.; Verbeeck, J.; van Tendeloo, G.; Held, K.; et al. Controlled lateral anisotropy in correlated manganite heterostructures by interface-engineered oxygen octahedral coupling. Nat. Mater. 2016, 15, 425. [Google Scholar] [CrossRef] [PubMed]
- Garcia-Munoz, J.L.; Fontcuberta, J.; Suaaidi, M.; Obradors, X. Bandwidth narrowing in bulk L2/3A1/3MnO3. J. Phys. Condens. Matter 1996, 8, L787. [Google Scholar] [CrossRef]
- Medarde, M.; Mesot, J.; Lacorre, P.; Rosenkranz, S.; Fischer, P.; Gobrecht, K. High-pressure neutron-diffraction study of the metallization process in PrNiO3. Phys. Rev. B 1995, 52, 9248. [Google Scholar] [CrossRef]
- Vailionis, A.; Boschker, H.; Liao, Z.L.; Smit, J.R.A.; Rijnders, G.; Huijben, M.; Koster, G. Symmetry and lattice mismatch induced strain accommodation near and away from correlated perovskite interfaces. Appl. Phys. Lett. 2014, 105, 131906. [Google Scholar] [CrossRef]
- Li, X.Y.; Lindfors-Vrejoiu, I.; Ziese, M.; Gloter, A.; van Aken, P.A. Impact of interfacial coupling of oxygen octahedra on ferromagnetic order in La0.7Sr0.3MnO3/SrTiO3 heterostructures. Sci. Rep. 2017, 7, 40068. [Google Scholar] [CrossRef] [PubMed]
- Glazer, A.M. Classification of Tilted Octahedral in Perovskites. Acta Cryst. 1972, B28, 3384. [Google Scholar] [CrossRef]
- Pellegrin, E.; Tjeng, L.H.; de Groot, F.M.F.; Hesper, R.; Sawatzky, G.A.; Moritomo, Y.; Tokura, Y. Soft X-ray magnetic circular dichroism study of the colossal magnetoresistance compound La1−xSrxMnO3. J. Electron. Spectrosc. Relat. Phenom. 1997, 86, 115. [Google Scholar] [CrossRef]
- Wadati, H.; Maniwa, A.; Chikamatsu, A.; Kumigashira, H.; Oshima, M.; Mizokawa, T.; Fujimori, A.; Sawatzky, G.A. Madelung potentials and covalency effect in strained La1−xSrxMnO3 thin films studied by core-level photoemission spectroscopy. Phys. Rev. B 2009, 80, 125107. [Google Scholar] [CrossRef]
- Niu, W.; Gao, M.; Wang, X.F.; Song, F.Q.; Du, J.; Wang, X.R.; Xu, Y.B.; Zhang, R. Evidence of weak localization in quantum interference effects observed in epitaxial La0.7Sr0.3MnO3 ultrathin films. Sci. Rep. 2016, 6, 26081. [Google Scholar] [CrossRef] [PubMed]
- Lee, P.A.; Ramakrishnan, R.V. Disordered Electronic Systems. Rev. Mod. Phys. 1987, 57, 287. [Google Scholar] [CrossRef]
- Brenig, W.; Dohler, G.H.; Heyszenau, H. Hopping conductivity in highly anisotropic systems. Philos. Mag. 1973, 27, 1093–1103. [Google Scholar] [CrossRef]
- Feng, Y.Q.; Jin, K.J.; Gu, L.; He, X.; Ge, C.; Zhang, Q.H.; He, M.; Guo, Q.L.; Wan, Q.; He, M.; et al. Insulating phase at low temperature in ultrathin La0.8Sr0.2MnO3 films. Sci. Rep. 2016, 6, 22382. [Google Scholar] [CrossRef] [PubMed]
- Zhan, J.M.; Li, P.G.; Liu, H.; Tao, S.L.; Ma, H.; Shen, J.Q.; Pan, M.J.; Zhang, Z.J.; Wang, S.L.; Yuan, G.L. Carrier tuning the metal-insulator transition of epitaxial La0.67Sr0.33MnO3 thin film on Nb doped SrTiO3 substrate. AIP Adv. 2017, 6, 045001. [Google Scholar] [CrossRef]
- Herklotz, A.; Guo, E.J.; Wong, A.T.; Meyer, T.L.; Dai, S.; Ward, T.Z.; Lee, H.N.; Fitzsimmons, M.R. Reversible control of interfacial magnetism through ionic-liquid-assisted polarization switching. Nano Lett. 2017, 17, 1665–1669. [Google Scholar] [CrossRef] [PubMed]
- Lu, D.; Baek, D.J.; Hong, S.S.; Kourkoutis, L.F.; Hikita, Y.; Hwang, H.Y. Synthesis of freestanding single-crystal perovskite films and heterostructures by etching of sacrificial water-soluble layers. Nat. Mater. 2016, 15, 1255. [Google Scholar] [CrossRef] [PubMed]
- Kumah, D.P.; Disa, A.S.; Ngai, J.H.; Chen, H.H.; Malashevich, A.; Reiner, J.W.; Ismail-Beigi, S.; Walker, F.J.; Ahn, C.H. Tuning the structure of nickelates to achieve two dimensional electron conduction. Adv. Mater. 2014, 26, 1935–1940. [Google Scholar] [CrossRef]
- Scherwitzl, R.; Gariglio, S.; Gabay, M.; Zubko, P.; Gibert, M.; Triscone, J.-M. Metal-Insulator Transition in Ultrathin LaNiO3 Films. Phys. Rev. Lett. 2011, 106, 246403. [Google Scholar] [CrossRef]
- Groenendijk, D.J.; Autieri, C.; Girovsky, J.; Martinez-Velarte, M.C.; Manca, N.; Mattoni, G.; Monteiro, A.M.R.V.L.; Gauquelin, N.; Verbeeck, J.; Otte, A.F.; et al. Spin-Orbit Semimetal SrIrO3 in the Two-Dimensional Limit. Phys. Rev. Lett. 2017, 119, 256403. [Google Scholar] [CrossRef]
- Schütz, P.; Sante, D.D.; Dudy, L.; Gabel, J.; Stübinger, M.; Kamp, M.; Huang, Y.; Capone, M.; Husanu, M.-A.; Strocov, V.N.; et al. Dimensionality-Driven Metal-Insulator Transition in Spin-Orbit-Coupled SrIrO3. Phys. Rev. Lett. 2017, 119, 256404. [Google Scholar] [CrossRef] [PubMed]
- Thomas, S.; Kuiper, B.; Hu, J.; Smit, J.; Liao, Z.L.; Zhong, Z.; Rijnders, G.; Vailionis, A.; Wu, R.; Koster, G.; et al. Localized Control of Curie Temperature in Perovskite Oxide Film by Capping-Layer-Induced Octahedral Distortion. Phys. Rev. Lett. 2017, 119, 177203. [Google Scholar] [CrossRef] [PubMed]














© 2019 by the authors. Licensee MDPI, Basel, Switzerland. This article is an open access article distributed under the terms and conditions of the Creative Commons Attribution (CC BY) license (http://creativecommons.org/licenses/by/4.0/).
Share and Cite
Liao, Z.; Zhang, J. Metal-to-Insulator Transition in Ultrathin Manganite Heterostructures. Appl. Sci. 2019, 9, 144. https://doi.org/10.3390/app9010144
Liao Z, Zhang J. Metal-to-Insulator Transition in Ultrathin Manganite Heterostructures. Applied Sciences. 2019; 9(1):144. https://doi.org/10.3390/app9010144
Chicago/Turabian StyleLiao, Zhaoliang, and Jiandi Zhang. 2019. "Metal-to-Insulator Transition in Ultrathin Manganite Heterostructures" Applied Sciences 9, no. 1: 144. https://doi.org/10.3390/app9010144
APA StyleLiao, Z., & Zhang, J. (2019). Metal-to-Insulator Transition in Ultrathin Manganite Heterostructures. Applied Sciences, 9(1), 144. https://doi.org/10.3390/app9010144
