Efficient Removal of Lead Ions from Water by a Low-Cost Alginate-Melamine Hybrid Sorbent
Abstract
:1. Introduction
2. Experiment
2.1. Materials
2.2. Instruments
2.3. Preparation of Alg-Mel Sorbent
2.4. Typical Adsorption Process and Desorption Process
3. Results and Discussion
3.1. Material Characterization
3.2. Influence of pH
3.3. Effect of Contact Time and Temperature
3.4. Adsorption Ability and Selectivity
3.5. Maximum Adsorption Capacity for Pb2+
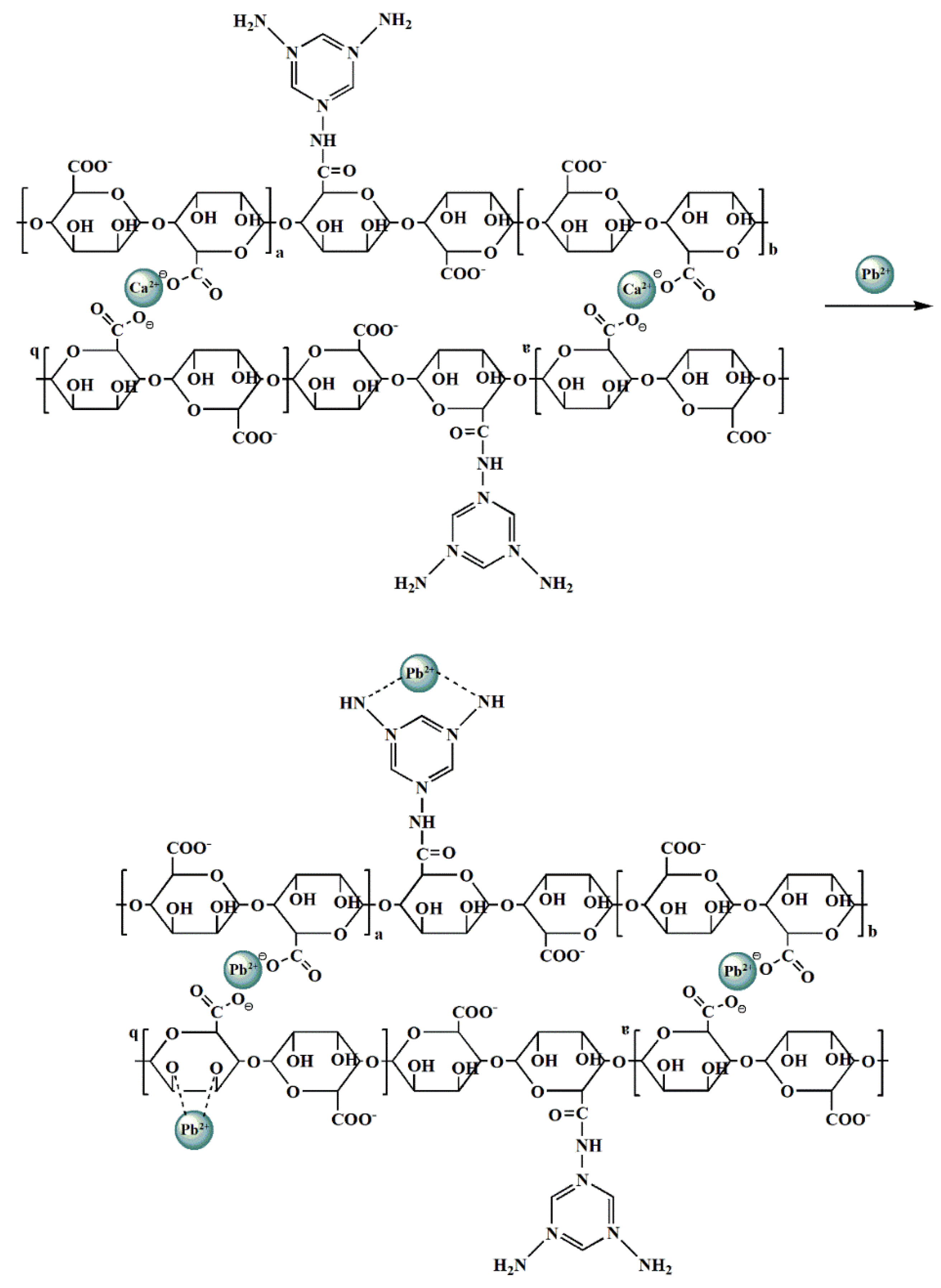
3.6. Adsorption Mechanism
3.7. Reusability and Applications
4. Conclusions
Author Contributions
Funding
Conflicts of Interest
References
- Zhang, C.; Zhou, Y.Y.; Tang, L.; Zeng, G.M.; Zhang, J.C.; Peng, B.; Xie, X.; Lai, C.; Long, B.Q.; Zhu, J.J. Determination of Cd2+ and Pb2+ based on mesoporous carbon nitride/self-doped polyaniline nanofibers and square wave anodic stripping voltammetry. Nanomaterials 2016, 6, 7. [Google Scholar] [CrossRef] [PubMed]
- Magri, D.; Caputo, G.; Perotto, G.; Scarpellini, A.; Colusso, E.; Drago, F.; Martucci, A.; Athanassiou, A.; Fragouli, D. Titanate fibroin nanocomposites: A novel approach for the removal of heavy-metal ions from water. ACS Appl. Mater. Interfaces 2018, 10, 651–659. [Google Scholar] [CrossRef] [PubMed]
- Wang, Z.Q.; Wu, A.G.; Ciacchi, L.C.; Wei, G. Recent advances in nanoporous membranes for water purification. Nanomaterials 2018, 8, 65. [Google Scholar] [CrossRef] [PubMed]
- Zou, Y.D.; Wang, X.X.; Khan, A.; Wang, P.Y.; Liu, Y.H.; Alsaedi, A.; Hayat, T.; Wang, X.K. Environmental remediation and application of nanoscale zero-valent iron and its composites for the removal of heavy metal ions: A review. Environ. Sci. Technol. 2016, 50, 7290–7304. [Google Scholar] [CrossRef] [PubMed]
- Wang, Z.Q.; Ciacchi, L.C.; Wei, G. Recent advances in the synthesis of graphene-based nanomaterials for controlled drug delivery. Appl. Sci. 2017, 7, 1175. [Google Scholar] [CrossRef]
- Ciosek, A.L.; Luk, G.K. An innovative dual-column system for heavy metallic ion sorption by natural zeolite. Appl. Sci. 2017, 7, 795. [Google Scholar] [CrossRef]
- Uddin, M.K. A review on the adsorption of heavy metals by clay minerals, with special focus on the past decade. Chem. Eng. J. 2017, 308, 438–462. [Google Scholar] [CrossRef]
- Dash, S.; Chaudhuri, H.; Gupta, R.; Nair, U.G.; Sarkar, A. Fabrication and application of low-cost thiol functionalized coal fly ash for selective adsorption of heavy toxic metal ions from water. Ind. Eng. Chem. Res. 2017, 56, 1461–1470. [Google Scholar] [CrossRef]
- Wang, Z.Q.; Huang, Y.G.; Wang, M.; Wu, G.H.; Geng, T.M.; Zhao, Y.G.; Wu, A.G. Macroporous calcium alginate aerogel as sorbent for Pb2+ removal from water media. J. Environ. Chem. Eng. 2016, 4, 3185–3192. [Google Scholar] [CrossRef]
- Wang, Z.Q.; Wu, D.Y.; Wu, G.H.; Yang, N.N.; Wu, A.G. Modifying Fe3O4 microspheres with rhodamine hydrazide for selective detection and removal of Hg2+ ion in water. J. Hazard. Mater. 2013, 244, 621–627. [Google Scholar] [CrossRef] [PubMed]
- Ziaei, E.; Mehdinia, A.; Jabbari, A. A novel hierarchical nanobiocomposite of graphene oxide-magnetic chitosan grafted with mercapto as a solid phase extraction sorbent for the determination of mercury ions in environmental water samples. Anal. Chim. Acta 2014, 850, 49–56. [Google Scholar] [CrossRef] [PubMed]
- Papageorgiou, S.K.; Kouvelos, E.P.; Favvas, E.P.; Sapalidis, A.A.; Romanos, G.E.; Katsaros, F.K. Metal-carboxylate interactions in metal-alginate complexes studied with FTIR spectroscopy. Carbohyd. Res. 2010, 345, 469–473. [Google Scholar] [CrossRef] [PubMed]
- Lim, S.F.; Zheng, Y.M.; Zou, S.W.; Chen, J.P. Characterization of copper adsorption onto an alginate encapsulated magnetic sorbent by a combined FT-IR, XPS and mathematical modeling study. Environ. Sci. Technol. 2008, 42, 2551–2556. [Google Scholar] [CrossRef] [PubMed]
- Kokkinos, E.; Soukakos, K.; Kostoglou, M.; Mitrakas, M. Cadmium, mercury, and nickel adsorption by tetravalent manganese feroxyhyte: Selectivity, kinetic modeling, and thermodynamic study. Environ. Sci. Pollut. R. 2018, 25, 12263–12273. [Google Scholar] [CrossRef] [PubMed]
- Zhang, Q.R.; Yang, Q.G.; Phanlavong, P.; Li, Y.X.; Wang, Z.K.; Jiao, T.F.; Peng, Q.M. Highly efficient lead(II) sequestration using size-controllable polydopamine microspheres with superior application capability and rapid capture. ACS Sustain. Chem. Eng. 2017, 5, 4161–4170. [Google Scholar] [CrossRef]
- Rajput, S.; Singh, L.P.; Pittman, C.U.; Mohan, D. Lead (Pb2+) and copper (Cu2+) remediation from water using superparamagnetic maghemite (γ-Fe2O3) nanoparticles synthesized by flame spray pyrolysis (FSP). J. Colloid Interface Sci. 2017, 492, 176–190. [Google Scholar] [CrossRef] [PubMed]
- Wang, L.X.; Li, J.C.; Jiang, Q.; Zhao, L.J. Water-soluble Fe3O4 nanoparticles with high solubility for removal of heavy-metal ions from waste water. Dalton Trans. 2012, 41, 4544–4551. [Google Scholar] [CrossRef] [PubMed]
- Lei, Y.; Guan, J.J.; Chen, W.; Ke, Q.F.; Zhang, C.Q.; Guo, Y.P. Fabrication of hydroxyapatite/chitosan porous materials for Pb(II) removal from aqueous solution. RSC Adv. 2015, 5, 25462–25470. [Google Scholar] [CrossRef]
- Heidari, A.; Younesi, H.; Mehraban, Z. Removal of Ni(II), Cd(II), and Pb(II) from a ternary aqueous solution by amino functionalized mesoporous and nano mesoporous silica. Chem. Eng. J. 2009, 153, 70–79. [Google Scholar] [CrossRef]
- Cheraghali, R.; Tavakoli, H.; Sepehrian, H. Preparation, characterization and lead sorption performance of alginate-SBA-15 composite as a novel adsorbent. Sci. Iran. 2013, 20, 1028–1034. [Google Scholar]
- Huang, M.R.; Li, S.; Li, X.G. Longan shell as novel biomacromolecular sorbent for highly selective removal of lead and mercury ions. J. Phys. Chem. B 2010, 114, 3534–3542. [Google Scholar] [CrossRef] [PubMed]
- Zhang, S.; Xu, F.; Wang, Y.F.; Zhang, W.Z.; Peng, X.L.; Pepe, F. Silica modified calcium alginate-xanthan gum hybrid bead composites for the removal and recovery of Pb(II) from aqueous solution. Chem. Eng. J. 2013, 234, 33–42. [Google Scholar] [CrossRef]
- Liu, D.G.; Li, Z.H.; Li, W.; Zhong, Z.R.; Xu, J.Q.; Ren, J.J.; Ma, Z.S. Adsorption behavior of heavy metal ions from aqueous solution by soy protein hollow microspheres. Ind. Eng. Chem. Res. 2013, 52, 11036–11044. [Google Scholar] [CrossRef]
- Do, X.H.; Lee, B.K. Removal of Pb2+ using a biochar-alginate capsule in aqueous solution and capsule regeneration. J. Environ. Manag. 2013, 131, 375–382. [Google Scholar] [CrossRef] [PubMed]
- Cai, X.Q.; Li, J.H.; Zhang, Z.; Yang, F.F.; Dong, R.C.; Chen, L.X. Novel Pb2+ ion imprinted polymers based on ionic interaction via synergy of dual functional monomers for selective solid-phase extraction of Pb2+ in water samples. ACS Appl. Mater. Interfaces 2014, 6, 305–313. [Google Scholar] [CrossRef] [PubMed]
- Cataldo, S.; Gianguzza, A.; Milea, D.; Muratore, N.; Pettignano, A. Pb(II) adsorption by a novel activated carbon-alginate composite material. A kinetic and equilibrium study. Int. J. Biol. Macromol. 2016, 92, 769–778. [Google Scholar] [CrossRef] [PubMed]
- Idris, A.; Ismail, N.S.M.; Hassan, N.; Misran, E.; Ngomsik, A.F. Synthesis of magnetic alginate beads based on maghemite nanoparticles for Pb(II) removal in aqueous solution. J. Ind. Eng. Chem. 2012, 18, 1582–1589. [Google Scholar] [CrossRef]
- Chu, L.; Liu, C.B.; Zhou, G.Y.; Xu, R.; Tang, Y.H.; Zeng, Z.B.; Luo, S.L. A double network gel as low cost and easy recycle adsorbent: Highly efficient removal of Cd(II) and Pb(II) pollutants from wastewater. J. Hazard. Mater. 2015, 300, 153–160. [Google Scholar] [CrossRef] [PubMed]
- Liu, Y.; Lou, Z.M.; Sun, Y.; Zhou, X.X.; Baig, S.A.; Xu, X.H. Influence of complexing agent on the removal of Pb(II) from aqueous solutions by modified mesoporous SiO2. Micropor. Mesopor. Mater. 2017, 246, 1–13. [Google Scholar] [CrossRef]
- Mousa, N.E.; Simonescu, C.M.; Patescu, R.E.; Onose, C.; Tardei, C.; Culita, D.C.; Oprea, O.; Patroi, D.; Lavric, V. Pb2+ removal from aqueous synthetic solutions by calcium alginate and chitosan coated calcium alginate. React. Funct. Polym. 2016, 109, 137–150. [Google Scholar] [CrossRef]










| Alg-Mel | Initial Solution (mM) | Adsorption (%) | Capacity (mmol/g) | Kd | k | ||||
|---|---|---|---|---|---|---|---|---|---|
| Pure water samples | 0.48 (Pb2+) | - | 95.4 | - | 0.18 | - | 8.2 | - | - |
| 0.89 (Cd2+) | - | 50.2 | - | 0.18 | - | 0.4 | - | - | |
| 1.57 (Cu2+) | - | 59.3 | - | 0.36 | - | 0.6 | - | - | |
| 1.92 (Cr3+) | - | 67.0 | - | 0.49 | - | 0.8 | - | - | |
| 1.70 (Co2+) | - | 29.1 | - | 0.19 | - | 0.2 | - | - | |
| 0.48 (Pb2+) | 1.57 (Cu2+) | 84.9 | 12.6 | 0.16 | 0.08 | 2.2 | 0.06 | 39.2 | |
| 0.48 (Pb2+) | 0.89 (Cd2+) | 82.4 | 37.7 | 0.16 | 0.13 | 1.8 | 0.24 | 7.7 | |
| 0.48 (Pb2+) | 1.92 (Cr3+) | 77.4 | 29.6 | 0.15 | 0.22 | 1.3 | 0.16 | 8.1 | |
| 0.48 (Pb2+) | 1.70 (Co2+) | 94.5 | 14.7 | 0.17 | 0.10 | 6.6 | 0.07 | 99.5 | |
| Tap water sample 1 | 0.48 (Pb2+) | - | 94.1 | - | 0.17 | - | 6.0 | - | - |
| River water sample | 0.48 (Pb2+) | - | 90.7 | - | 0.17 | - | 3.7 | - | - |
| Battery plant wastewater | 0.08 (Pb2+) | 0.05 (Cd2+) | 95.1 | 46.6 | 0.03 | 0.01 | 7.4 | 0.33 | 22.4 |
| Adsorbent | Target Heavy Metals | Maximum Adsorption Capacity (mg/g) | Reference |
|---|---|---|---|
| Alginate-melamine hybrid | Pb2+ | 287.7 | Our work |
| Polydopamine microspheres | Pb2+ | 165.8 | [15] |
| γ-Fe2O3 nanoparticles | Cu2+, Pb2+ | 34.0 (Cu2+), 69.0 (Pb2+) | [16] |
| Fe3O4 nanoparticles | Cr6+, Pb2+ | 41.5 (Cr6+), 96.8 (Pb2+) | [17] |
| Magnetic chitosan/graphene oxide imprinted Pb2+ | Pb2+ | 79.0 | [18] |
| Amino functionalized mesoporous silica | Cd2+, Pb2+ | 18.3 (Cd2+), 57.7 (Pb2+) | [19] |
| Alginate-SBA-15 composite | Pb2+ | 222.2 | [20] |
| Longan shell | Pb2+ | 51.5 (Pb2+) | [21] |
| Silica modified calcium alginate-xanthan gum hybrid bead composite | Pb2+ | 18.9 | [22] |
| Soy protein hollow microspheres | Cd2+, Cu2+, Pb2+ | 120.8 (Cd2+), 115.0 (Cu2+), 235.6 (Pb2+) | [23] |
| Biochar-alginate capsule | Pb2+ | 263.2 | [24] |
| Pb2+ ion imprinted polymers | Pb2+ | 8.35 | [25] |
| Activated carbon-calcium alginate composite | Pb2+ | 15.7 | [26] |
| Magnetic alginate beads | Pb2+ | 50 | [27] |
| Polyving alcohol/polyacrylic acid double network gel | Cd2+, Pb2+ | 115.9 (Cd2+), 195.0 (Pb2+) | [28] |
| Modified mesoporous SiO2 | Pb2+ | 147.5 | [29] |
| Chitosan coated calcium alginate | Pb2+ | 106.9 | [30] |
| Stripping Agent | Concentration (M) | Pb2+ Recovery (%) |
|---|---|---|
| CH3COOH | 0.07 | 67.7 |
| CH3COOH | 0.02 | 32.8 |
| HCl | 0.07 | 93.5 |
| HCl | 0.02 | 81.0 |
| HNO3 | 0.07 | 96.3 |
| HNO3 | 0.02 | 85.7 |
© 2018 by the authors. Licensee MDPI, Basel, Switzerland. This article is an open access article distributed under the terms and conditions of the Creative Commons Attribution (CC BY) license (http://creativecommons.org/licenses/by/4.0/).
Share and Cite
Li, K.; Wu, G.; Wang, M.; Zhou, X.; Wang, Z. Efficient Removal of Lead Ions from Water by a Low-Cost Alginate-Melamine Hybrid Sorbent. Appl. Sci. 2018, 8, 1518. https://doi.org/10.3390/app8091518
Li K, Wu G, Wang M, Zhou X, Wang Z. Efficient Removal of Lead Ions from Water by a Low-Cost Alginate-Melamine Hybrid Sorbent. Applied Sciences. 2018; 8(9):1518. https://doi.org/10.3390/app8091518
Chicago/Turabian StyleLi, Keteng, Genhua Wu, Min Wang, Xiaohong Zhou, and Zhuqing Wang. 2018. "Efficient Removal of Lead Ions from Water by a Low-Cost Alginate-Melamine Hybrid Sorbent" Applied Sciences 8, no. 9: 1518. https://doi.org/10.3390/app8091518
APA StyleLi, K., Wu, G., Wang, M., Zhou, X., & Wang, Z. (2018). Efficient Removal of Lead Ions from Water by a Low-Cost Alginate-Melamine Hybrid Sorbent. Applied Sciences, 8(9), 1518. https://doi.org/10.3390/app8091518

