A Patient-Specific Study Investigating the Relation between Coronary Hemodynamics and Neo-Intimal Thickening after Bifurcation Stenting with a Polymeric Bioresorbable Scaffold
Abstract
:1. Introduction
2. Materials and Methods
2.1. Image Data Collection
2.2. Reconstruction of the Stent Coronary Artery Bifurcation
2.2.1. Image Segmentation
2.2.2. Geometry Reconstruction
2.3. Computational Fluid Dynamics Model
2.4. Quantification of Neointimal Thickness
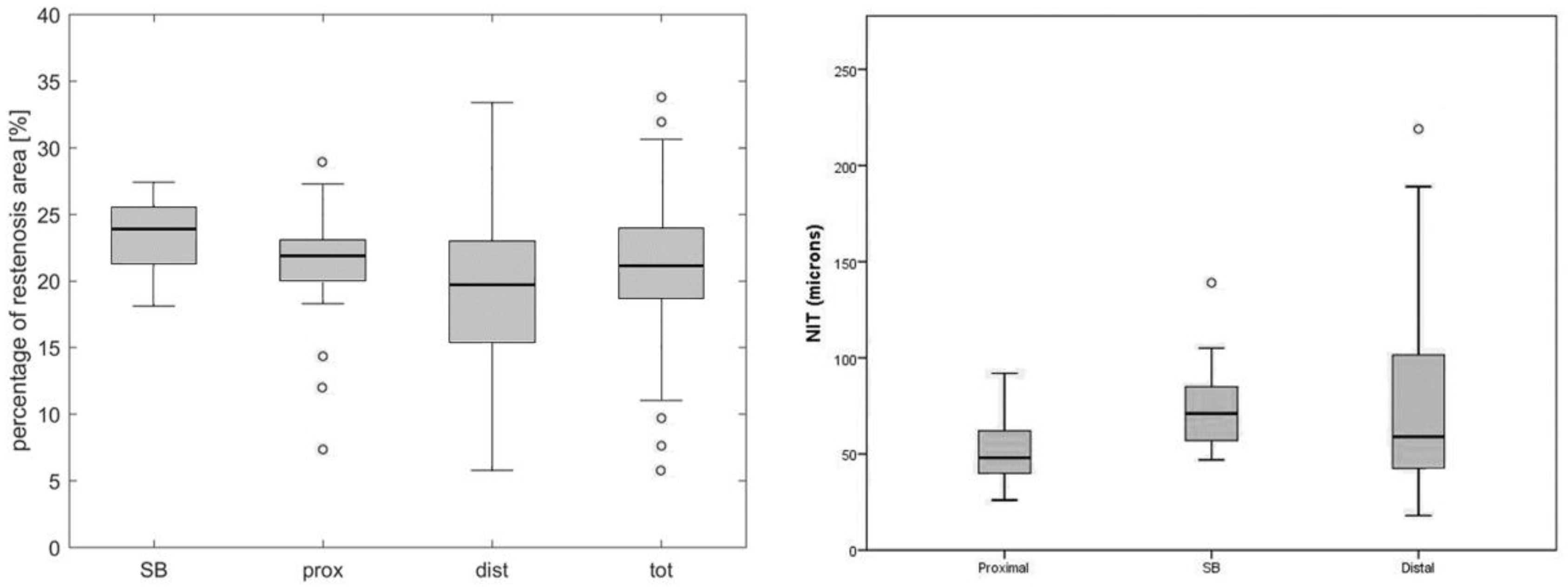
3. Results
4. Discussion
5. Conclusions
Author Contributions
Funding
Conflicts of Interest
References
- Sotomi, Y.; Onuma, Y.; Collet, C.; Tenekecioglu, E.; Virmani, R.; Kleiman, N.S.; Serruys, P.W. Bioresorbable Scaffold: The Emerging Reality and Future Directions. Circ. Res. 2017, 120, 1341–1352. [Google Scholar] [CrossRef] [PubMed]
- Van der Heiden, K.; Gijsen, F.J.H.; Narracott, A.; Hsiao, S.; Halliday, I.; Gunn, J.; Wentzel, J.J.; Evans, P.C. The effects of stenting on shear stress: Relevance to endothelial injury and repair. Cardiovasc. Res. 2013, 99, 269–275. [Google Scholar] [CrossRef] [PubMed]
- Chiastra, C.; Migliori, S.; Burzotta, F.; Dubini, G.; Migliavacca, F. Patient-Specific Modeling of Stented Coronary Arteries Reconstructed from Optical Coherence Tomography: Towards a Widespread Clinical Use of Fluid Dynamics Analyses. J. Cardiovasc. Transl. Res. 2018, 11, 156–172. [Google Scholar] [CrossRef] [PubMed]
- Nammas, W.; Ligthart, J.M.R.; Karanasos, A.; Witberg, K.T.; Regar, E. Optical coherence tomography for evaluation of coronary stents in vivo. Expert Rev. Cardiovasc. Ther. 2013, 11, 577–588. [Google Scholar] [CrossRef] [PubMed]
- Malek, A.M.; Alper, S.L.; Izumo, S. Hemodynamic shear stress and its role in atherosclerosis. JAMA 1999, 282, 2035–2042. [Google Scholar] [CrossRef] [PubMed]
- Migliori, S.; Chiastra, C.; Bologna, M.; Montin, E.; Dubini, G.; Aurigemma, C.; Fedele, R.; Burzotta, F.; Mainardi, L.; Migliavacca, F. A framework for computational fluid dynamic analyses of patient-specific stented coronary arteries from optical coherence tomography images. Med. Eng. Phys. 2017, 47, 105–116. [Google Scholar] [CrossRef] [PubMed]
- Medina, A.; Suárez de Lezo, J.; Pan, M. A new classification of coronary bifurcation lesions. Rev. Esp. Cardiol. 2006, 59, 183. [Google Scholar] [CrossRef] [PubMed]
- Wang, A.; Nakatani, S.; Eggermont, J.; Onuma, Y.; Garcia-Garcia, H.M.; Serruys, P.W.; Reiber, J.H.C.; Dijkstra, J. Automatic detection of bioresorbable vascular scaffold struts in intravascular optical coherence tomography pullback runs. Biomed. Opt. Express 2014, 5, 3589. [Google Scholar] [CrossRef] [PubMed]
- Chiastra, C.; Montin, E.; Bologna, M.; Migliori, S.; Aurigemma, C.; Burzotta, F.; Celi, S.; Dubini, G.; Migliavacca, F.; Mainardi, L. Reconstruction of stented coronary arteries from optical coherence tomography images: Feasibility, validation, and repeatability of a segmentation method. PLoS ONE 2017, 12, e0177495. [Google Scholar] [CrossRef] [PubMed]
- Chiastra, C.; Morlacchi, S.; Pereira, S.; Dubini, G.; Migliavacca, F. Computational fluid dynamics of stented coronary bifurcations studied with a hybrid discretization method. Eur. J. Mech. B/Fluids 2012, 35, 76–84. [Google Scholar] [CrossRef]
- Davies, J.E.; Whinnett, Z.I.; Francis, D.P.; Manisty, C.H.; Aguado-Sierra, J.; Willson, K.; Foale, R.A.; Malik, I.S.; Hughes, A.D.; Parker, K.H.; et al. Evidence of a dominant backward-propagating “suction” wave responsible for diastolic coronary filling in humans, attenuated in left ventricular hypertrophy. Circulation 2006, 113, 1768–1778. [Google Scholar] [CrossRef] [PubMed]
- Sakamoto, S.; Takahashi, S.; Coskun, A.U.; Papafaklis, M.I.; Takahashi, A.; Saito, S.; Stone, P.H.; Feldman, C.L. Relation of Distribution of Coronary Blood Flow Volume to Coronary Artery Dominance. Am. J. Cardiol. 2013, 111, 1420–1424. [Google Scholar] [CrossRef] [PubMed]
- Van der Giessen, A.G.; Groen, H.C.; Doriot, P.-A.; de Feyter, P.J.; van der Steen, A.F.W.; van de Vosse, F.N.; Wentzel, J.J.; Gijsen, F.J.H. The influence of boundary conditions on wall shear stress distribution in patients specific coronary trees. J. Biomech. 2011, 44, 1089–1095. [Google Scholar] [CrossRef] [PubMed]
- Caputo, M.; Chiastra, C.; Cianciolo, C.; Cutrì, E.; Dubini, G.; Gunn, J.; Keller, B.; Migliavacca, F.; Zunino, P. Simulation of oxygen transfer in stented arteries and correlation with in-stent restenosis. Int. J. Numer. Methods Biomed. Eng. 2013, 29, 1373–1387. [Google Scholar] [CrossRef] [PubMed]
- Chiastra, C.; Migliavacca, F. Modeling of blood flow in stented coronary arteries. In Heat Transfer and Fluid Flow in Biological Processes; Becker, S.M., Kuznetsov, A.V., Eds.; Elsevier: Amsterdam, The Netherlands, 2015; pp. 335–370. ISBN 9780124080775. [Google Scholar]
- Bourantas, C.V.; Papafaklis, M.I.; Kotsia, A.; Farooq, V.; Muramatsu, T.; Gomez-Lara, J.; Zhang, Y.J.; Iqbal, J.; Kalatzis, F.G.; Naka, K.K.; et al. Effect of the endothelial shear stress patterns on neointimal proliferation following drug-eluting bioresorbable vascular scaffold implantation: An optical coherence tomography study. JACC Cardiovasc. Interv. 2014, 7, 315–324. [Google Scholar] [CrossRef] [PubMed]
- Karanasos, A.; Schuurbiers, J.C.H.; Garcia-Garcia, H.M.; Simsek, C.; Onuma, Y.; Serruys, P.W.; Zijlstra, F.; Van Geuns, R.-J.; Regar, E.; Wentzel, J.J. Association of wall shear stress with long-term vascular healing response following bioresorbable vascular scaffold implantation. Int. J. Cardiol. 2015, 191, 279–283. [Google Scholar] [CrossRef] [PubMed]
- Serruys, P.W.; Chevalier, B.; Sotomi, Y.; Cequier, A.; Carrié, D.; Piek, J.J.; Van Boven, A.J.; Dominici, M.; Dudek, D.; McClean, D.; et al. Comparison of an everolimus-eluting bioresorbable scaffold with an everolimus-eluting metallic stent for the treatment of coronary artery stenosis (ABSORB II): A 3 year, randomised, controlled, single-blind, multicentre clinical trial. Lancet 2016, 388, 2479–2491. [Google Scholar] [CrossRef]
- Serruys, P.W.; Suwannasom, P.; Nakatani, S.; Onuma, Y. Snowshoe Versus Ice Skate for Scaffolding of Disrupted Vessel Wall. JACC Cardiovasc. Interv. 2015, 8, 910–913. [Google Scholar] [CrossRef] [PubMed]
- Thondapu, V.; Tenekecioglu, E.; Poon, E.K.W.; Collet, C.; Torii, R.; Bourantas, C.V.; Chin, C.; Sotomi, Y.; Jonker, H.; Dijkstra, J.; et al. Endothelial shear stress 5 years after implantation of a coronary bioresorbable scaffold. Eur. Heart J. 2018, 39, 1602–1609. [Google Scholar] [CrossRef] [PubMed]
- Chiastra, C.; Migliavacca, F.; Martinez, M.A.; Malve, M. On the necessity of modelling fluid-structure interaction for stented coronary arteries. J. Mech. Behav. Biomed. Mater. 2014, 34, 217–230. [Google Scholar] [CrossRef] [PubMed]







© 2018 by the authors. Licensee MDPI, Basel, Switzerland. This article is an open access article distributed under the terms and conditions of the Creative Commons Attribution (CC BY) license (http://creativecommons.org/licenses/by/4.0/).
Share and Cite
Migliori, S.; Rampat, R.; Bologna, M.; Montin, E.; Burzotta, F.; Hildick-Smith, D.; Dubini, G.; Mainardi, L.; Migliavacca, F.; Cockburn, J.; et al. A Patient-Specific Study Investigating the Relation between Coronary Hemodynamics and Neo-Intimal Thickening after Bifurcation Stenting with a Polymeric Bioresorbable Scaffold. Appl. Sci. 2018, 8, 1510. https://doi.org/10.3390/app8091510
Migliori S, Rampat R, Bologna M, Montin E, Burzotta F, Hildick-Smith D, Dubini G, Mainardi L, Migliavacca F, Cockburn J, et al. A Patient-Specific Study Investigating the Relation between Coronary Hemodynamics and Neo-Intimal Thickening after Bifurcation Stenting with a Polymeric Bioresorbable Scaffold. Applied Sciences. 2018; 8(9):1510. https://doi.org/10.3390/app8091510
Chicago/Turabian StyleMigliori, Susanna, Rajiv Rampat, Marco Bologna, Eros Montin, Francesco Burzotta, David Hildick-Smith, Gabriele Dubini, Luca Mainardi, Francesco Migliavacca, James Cockburn, and et al. 2018. "A Patient-Specific Study Investigating the Relation between Coronary Hemodynamics and Neo-Intimal Thickening after Bifurcation Stenting with a Polymeric Bioresorbable Scaffold" Applied Sciences 8, no. 9: 1510. https://doi.org/10.3390/app8091510
APA StyleMigliori, S., Rampat, R., Bologna, M., Montin, E., Burzotta, F., Hildick-Smith, D., Dubini, G., Mainardi, L., Migliavacca, F., Cockburn, J., & Chiastra, C. (2018). A Patient-Specific Study Investigating the Relation between Coronary Hemodynamics and Neo-Intimal Thickening after Bifurcation Stenting with a Polymeric Bioresorbable Scaffold. Applied Sciences, 8(9), 1510. https://doi.org/10.3390/app8091510

