Di-Chromatic InGaN Based Color Tuneable Monolithic LED with High Color Rendering Index
Abstract
1. Introduction
2. Device Structure and Experiment
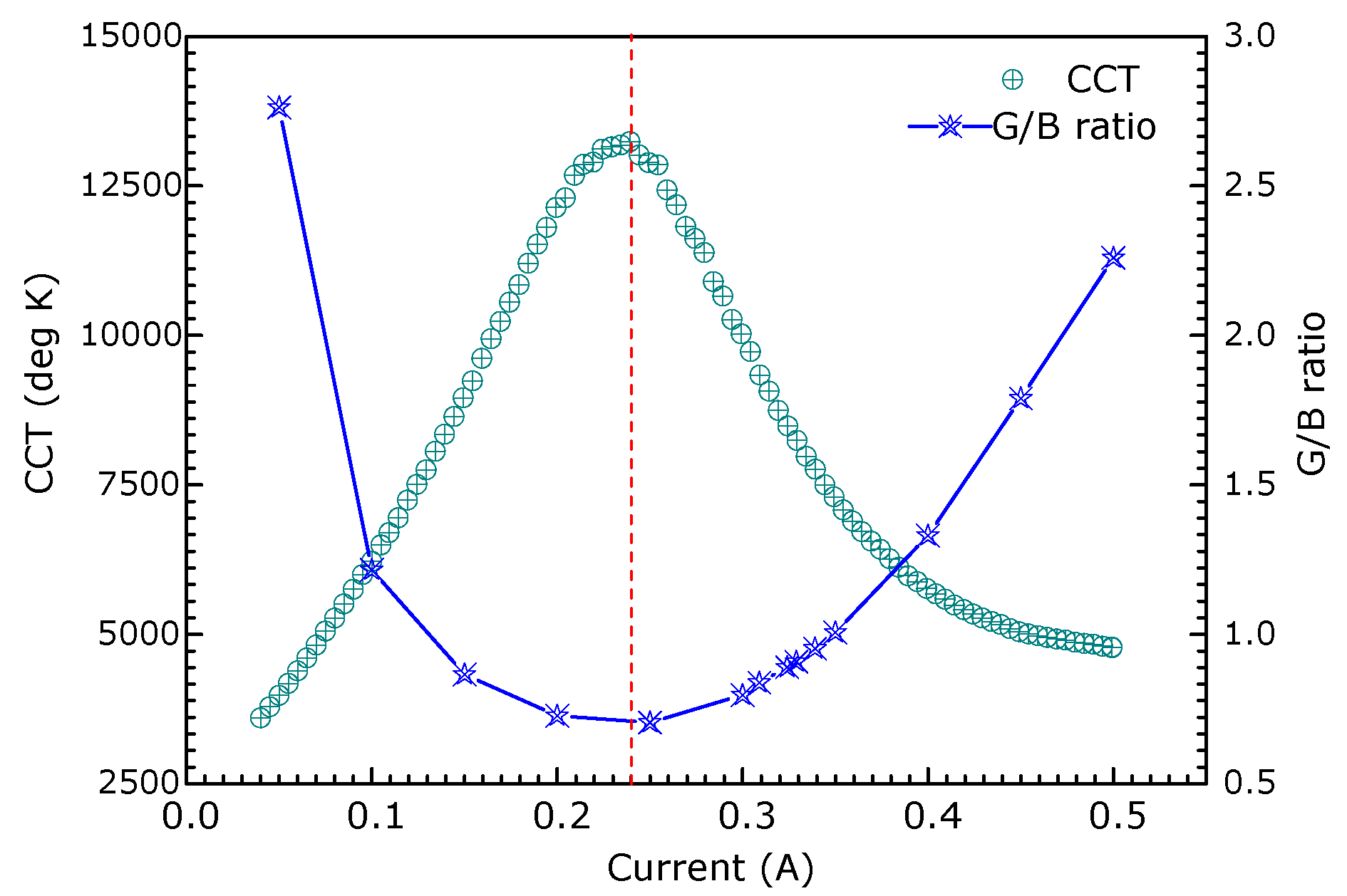
3. Results
4. Conclusions
Author Contributions
Funding
Conflicts of Interest
References
- Schubert, E.F.; Kim, J.K. Solid-State Light Sources Getting Smart. Science 2005, 308, 1274–1278. [Google Scholar] [CrossRef] [PubMed]
- Crawford, M. LEDs for Solid-State Lighting: Performance Challenges and Recent Advances. IEEE J. Sel. Top. Quantum Electr. 2009, 15, 1028–1040. [Google Scholar] [CrossRef]
- Cree Inc. Cree First to Break 300 Lumens-Per-Watt Barrier. 2014. Available online: http://www.cree.com/News-and-Events/Cree-News/Press-Releases/2014/March/300LPW-LED-barrier (accessed on 16 July 2018).
- Schubert, E.F. Light-Emitting Diodes, 2nd ed.; Cambridge University Press: Cambridge, UK, 2006. [Google Scholar]
- Tsao, J.Y.; Crawford, M.H.; Coltrin, M.E.; Fischer, A.J.; Koleske, D.D.; Subramania, G.S.; Wang, G.T.; Wierer, J.J.; Karlicek, R.F. Toward Smart and Ultra—Efficient Solid—State Lighting. Adv. Opt. Mater. 2014, 2, 809–836. [Google Scholar] [CrossRef]
- Nizamoglu, S.; Ozel, T.; Sari, E.; Demir, H.V. White light generation using CdSe/ZnS core—Shell nanocrystals hybridized with InGaN/GaN light emitting diodes. Nanotechnology 2007, 18, 065709. [Google Scholar] [CrossRef]
- Chang, S.; Wu, L.; Su, Y.; Kuo, C.; Lai, W.; Hsu, Y.; Sheu, J.; Chen, J.; Tsai, J. White light generation using CdSe/ZnS core–shell nanocrystals hybridized with InGaN/GaN light emitting diodes. IEEE Trans. Electr. Devices 2003, 50, 519–521. [Google Scholar] [CrossRef]
- Damilano, B.; Grandjean, N.; Pernot, C.; Massies, J. Monolithic white light emitting diodes based on InGaN/GaN multiple-quantum wells. Jpn. J. Appl. Phys. 2001, 40, L918. [Google Scholar] [CrossRef]
- Yamada, M.; Narukawa, Y.; Mukai, T. Phosphor free high-luminous-efficiency white light-emitting diodes composed of InGaN multi-quantum well. Jpn. J. Appl. Phys. 2002, 41, L246. [Google Scholar] [CrossRef]
- Lu, C.F.; Huang, C.F.; Chen, Y.S.; Shiao, W.Y.; Chen, C.Y.; Lu, Y.C.; Yang, C.C. Phosphor-free monolithic white-light LED. IEEE J. Sel. Top. Quantum Electr. 2009, 15, 1210–1217. [Google Scholar]
- Tsatsulnikov, A.F.; Lundin, W.V.; Sakharov, A.V.; Zavarin, E.E.; Usov, S.O.; Nikolaev, A.E.; Sizov, V.S.; Zakgeim, A.L.; Mizerov, M.N.; Cherkashin, N.A.; et al. Effect of stimulated phase separation on properties of blue, green and monolithic white LEDs. Phys. Status Solidi C 2012, 9, 774–777. [Google Scholar] [CrossRef]
- Funato, M.; Hayashi, K.; Ueda, M.; Kawakami, Y.; Narukawa, Y.; Mukai, T. Emission color tunable light-emitting diodes composed of InGaN multifacet quantum wells. Appl. Phys. Lett. 2008, 93, 021126. [Google Scholar] [CrossRef]
- Nguyen, H.P.T.; Zhang, S.; Cui, K.; Han, X.; Fathololoumi, S.; Couillard, M.; Botton, G.A.; Mi, Z. p-Type modulation doped InGaN/GaN dot-in-a-wire white-light-emitting diodes monolithically grown on Si (111). Nano Lett. 2011, 11, 1919–1924. [Google Scholar] [CrossRef] [PubMed]
- Li, H.; Li, P.; Kang, J.; Li, Z.; Li, Z.; Li, J.; Yi, X.; Wang, G. Phosphor-free, color-tunable monolithic InGaN light—Emitting diodes. Appl. Phys. Express 2013, 6, 102103. [Google Scholar] [CrossRef]
- Tan, C.-K.; Tansu, N. Nanostructured lasers: Electrons and holes get closer. Nat. Nanotechnol. 2016, 10, 107–109. [Google Scholar] [CrossRef] [PubMed]
- Damilano, B.; Demolon, P.; Brault, J.; Huault, T.; Natali, F.; Massies, J. Blue-green and white color tuning of monolithic light emitting diodes. J. Appl. Phys. 2010, 108, 073115. [Google Scholar] [CrossRef]
- Titkov, I.E.; Yadav, A.; Zerova, V.L.; Zulonas, M.; Tsatsulnikov, A.F.; Lundin, W.V.; Sakharov, A.V.; Rafailov, E.U. Internal Quantum Efficiency and Tunable Colour Temperature in Monolithic White InGaN/GaN LED; SPIE: San Francisco, CA, USA, 2014. [Google Scholar]
- Karpov, S.Y.; Cherkashin, N.A.; Lundin, W.V.; Nikolaev, A.E.; Sakharov, A.V.; Sinitsin, M.A.; Usov, S.O.; Zavarin, E.E.; Tsatsulnikov, A.F. Multi-color monolithic III-nitride light-emitting diodes: Factors controlling emission spectra and efficiency. Phys. Status Solidi A 2016, 213, 19–29. [Google Scholar] [CrossRef]
- Tsatsulnikov, A.F.; Lundin, W.V.; Sakharov, A.V.; Zavarin, E.E.; Usov, S.O.; Nikolaev, A.E.; Kryzhanovskaya, N.V.; Synitsin, M.A.; Sizov, V.S.; Zakgeim, A.L.; et al. A monolithic white LED with an active region based on InGaN QWs separated by short-period InGaN/GaN superlattices. Semiconductors 2010, 44, 808–811. [Google Scholar] [CrossRef]
- Tsatsulnikov, A.F.; Lundin, W.V.; Sakharov, A.V.; Zavarin, E.E.; Usov, S.O.; Nikolaev, A.E.; Cherkashin, N.A.; Ber, B.Y.; Kazantsev, D.Y.; Mizerov, M.N.; et al. Active region based on graded-gap InGaN/GaN superlattices for high-power 440- to 470-nm light-emitting diodes. Semiconductors 2010, 44, 93–97. [Google Scholar] [CrossRef]
- Lundin, W.V.; Nikolaev, A.E.; Sakharov, A.V.; Zavarin, E.E.; Valkovskiy, G.A.; Yagovkina, M.A.; Usov, S.O.; Kryzhanovskaya, N.V.; Sizov, V.S.; Brunkov, P.N.; et al. Single quantum well deep-green LEDs with buried InGaN/GaN short-period superlattice. J. Cryst. Growth 2011, 315, 267–271. [Google Scholar] [CrossRef]
- Chernyakov, A.E.; Bulashevich, K.A.; Karpov, S.Y.; Zakgeim, A.L. Experimental and theoretical study of electrical, thermal, and optical characteristics of InGaN/GaN high-power flip-chip LEDs. Phys. Status Solidi A 2013, 210, 466–469. [Google Scholar] [CrossRef]
- Kim, J.; Ji, M.H.; Detchprohm, T.; Dupuis, R.D.; Shervin, S.; Ryou, J.H. Effect of lattice-matched InAlGaN electron-blocking layer on hole transport and distribution in InGaN/GaN multiple quantum wells of visible light-emitting diodes. Phys. Status Solidi A 2016, 213, 1296–1301. [Google Scholar] [CrossRef]
- Kuo, Y.K.; Chang, J.Y.; Tsai, M.C.; Yen, S.H. Advantages of blue InGaN multiple-quantum well light-emitting diodes with InGaN barriers. Appl. Phys. Lett. 2009, 95, 011116. [Google Scholar] [CrossRef]
- Liu, J.P.; Ryou, J.H.; Dupuis, R.D.; Han, J.; Shen, G.D.; Wang, H.B. Barrier effect on hole transport and carrier distribution in In Ga N/Ga N multiple quantum well visible light-emitting diodes. Appl. Phys. Lett. 2008, 93, 021102. [Google Scholar] [CrossRef]






© 2018 by the authors. Licensee MDPI, Basel, Switzerland. This article is an open access article distributed under the terms and conditions of the Creative Commons Attribution (CC BY) license (http://creativecommons.org/licenses/by/4.0/).
Share and Cite
Yadav, A.; Titkov, I.E.; Sakharov, A.V.; Lundin, W.V.; Nikolaev, A.E.; Sokolovskii, G.S.; Tsatsulnikov, A.F.; Rafailov, E.U. Di-Chromatic InGaN Based Color Tuneable Monolithic LED with High Color Rendering Index. Appl. Sci. 2018, 8, 1158. https://doi.org/10.3390/app8071158
Yadav A, Titkov IE, Sakharov AV, Lundin WV, Nikolaev AE, Sokolovskii GS, Tsatsulnikov AF, Rafailov EU. Di-Chromatic InGaN Based Color Tuneable Monolithic LED with High Color Rendering Index. Applied Sciences. 2018; 8(7):1158. https://doi.org/10.3390/app8071158
Chicago/Turabian StyleYadav, Amit, Ilya E. Titkov, Alexei V. Sakharov, Wsevolod V. Lundin, Andrey E. Nikolaev, Grigorii S. Sokolovskii, Andrey F. Tsatsulnikov, and Edik U. Rafailov. 2018. "Di-Chromatic InGaN Based Color Tuneable Monolithic LED with High Color Rendering Index" Applied Sciences 8, no. 7: 1158. https://doi.org/10.3390/app8071158
APA StyleYadav, A., Titkov, I. E., Sakharov, A. V., Lundin, W. V., Nikolaev, A. E., Sokolovskii, G. S., Tsatsulnikov, A. F., & Rafailov, E. U. (2018). Di-Chromatic InGaN Based Color Tuneable Monolithic LED with High Color Rendering Index. Applied Sciences, 8(7), 1158. https://doi.org/10.3390/app8071158

