Fabrication and Use of Organic Electrochemical Transistors for Sensing of Metabolites in Aqueous Media
Abstract
Featured Application
Abstract
1. Introduction
2. Functioning Principles and General Concepts for Transduction
2.1. Functioning Principles
2.2. Transduction Principles
2.2.1. Polarization of the Gate/Electrolyte or OSC/Electrolyte Interfaces
2.2.2. Increased Ion Flow at the OSC/Electrolyte Interface
2.2.3. Electron Transfer to the Channel or to the Gate
2.3. OECTs for Wearable Electronics Applications
3. Materials and Fabrication Techniques
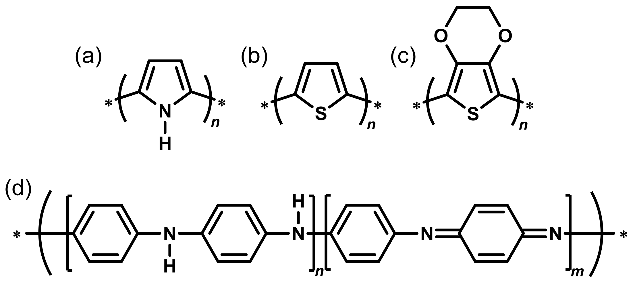
3.1. Conducting Polymers
3.1.1. Polypyrrole
3.1.2. Polyaniline
3.1.3. Polythiophene Derivatives
3.2. Strategies for Enhancement of PEDOT:PSS Properties
3.2.1. Enhancement of Electrical Conductivity and Adhesion of PEDOT:PSS
3.2.2. Enhancement of Adhesion Properties of PEDOT:PSS
3.3. Fabrication Techniques
3.3.1. Spin-Coating
3.3.2. Screen-Printing
3.3.3. Inkjet-Printing
3.3.4. In-Situ Polymerization
3.3.5. Soaking
4. Applications
4.1. Enzymatic Biosensors
4.1.1. Glucose
4.1.2. Lactate
4.1.3. Other Analytes Detected Enzymatically
Uric acid
Tyrosine
4.2. Enzyme-Free Biosensors
4.2.1. Ascorbic Acid
4.2.2. Dopamine
4.2.3. Adrenaline
4.2.4. Gallic and Sialic Acids
5. Patents and Commercialized OECT-Based Biosensors
6. Conclusions
Conflicts of Interest
References
- Kergoat, L.; Piro, B.; Berggren, M.; Horowitz, G.; Pham, M.C. Advances in organic transistor-based biosensors: From organic electrochemical transistors to electrolyte-gated organic field-effect transistors. Anal. Bioanal. Chem. 2012, 402, 1813–1826. [Google Scholar] [CrossRef] [PubMed]
- Torsi, L.; Magliulo, M.; Manoli, K.; Palazzo, G. Organic field-effect transistor sensors: A tutorial review. Chem. Soc. Rev. 2013, 42, 8612–8628. [Google Scholar] [CrossRef] [PubMed]
- Rivnay, J.; Inal, S.; Salleo, A.; Owens, R.M.; Berggren, M.; Malliaras, G.G. Organic electrochemical transistors. Nat. Rev. Mater. 2018, 3, 17086. [Google Scholar] [CrossRef]
- Matsue, T.; Nishizawa, M.; Sawaguchi, T.; Uchida, I. An enzyme switch sensitive to NADH. J. Chem. Soc. Chem. Commun. 1991, 1029–1031. [Google Scholar] [CrossRef]
- Bartlett, P.N.; Birkin, P.R. A Microelectrochemical Enzyme Transistor Responsive to Glucose. Anal. Chem. 1994, 66, 1552–1559. [Google Scholar] [CrossRef]
- Bartlett, P.N. Measurement of low glucose concentrations using a microelectrochemical enzyme transistor. Analyst 1998, 123, 387–392. [Google Scholar] [CrossRef]
- Ebisawa, F.; Kurokawa, T.; Nara, S. Electrical properties of polyacetylene/polysiloxane interface. J. Appl. Phys. 1983, 54, 3255–3259. [Google Scholar] [CrossRef]
- Laurs, H.; Heiland, G. Electrical and optical properties of phthalocyanine films. Thin Solid Films 1987, 149, 129–142. [Google Scholar] [CrossRef]
- Assadi, A.; Gustafsson, G.; Willander, M.; Svensson, C.; Inganäs, O. Determination of field-effect mobility of poly(3-hexylthiophene) upon exposure to NH3 gas. Synth. Met. 1990, 37, 123–130. [Google Scholar] [CrossRef]
- Guillaud, G.; Al Sadoun, M.; Maitrot, M.; Simon, J.; Bouvet, M. Field-effect transistors based on intrinsic molecular semiconductors. Chem. Phys. Lett. 1990, 167, 503–506. [Google Scholar] [CrossRef]
- Torsi, L.; Dodabalapur, A.; Sabbatini, L.; Zambonin, P.G. Multi-parameter gas sensors based on organic thin-film-transistors. Sens. Actuators B Chem. 2000, 67, 312–316. [Google Scholar] [CrossRef]
- Andringa, A.-M.; Spijkman, M.-J.; Smits, E.C.; Mathijssen, S.G.; von Hal, P.A.; Setayesh, S.; Willard, N.P.; Borshchev, O.V.; Ponomarenko, S.A.; Blom, P.W.; et al. Gas sensing with self-assembled monolayer field-effect transistors. Org. Electron. 2010, 11, 895–898. [Google Scholar] [CrossRef]
- Marinelli, F.; Dell’Aquila, A.; Torsi, L.; Tey, J.; Suranna, G.; Mastrorilli, P.; Romanazzi, G.; Nobile, C.; Mhaisalkar, S.; Cioffi, N. An organic field effect transistor as a selective NOx sensor operated at room temperature. Sens. Actuators B Chem. 2009, 140, 445–450. [Google Scholar] [CrossRef]
- Royer, J.E.; Kappe, E.D.; Zhang, C.; Martin, D.T.; Trogler, W.C.; Kummel, A.C. Organic Thin-Film Transistors for Selective Hydrogen Peroxide and Organic Peroxide Vapor Detection. J. Phys. Chem. C 2012, 116, 24566–24572. [Google Scholar] [CrossRef]
- Bergveld, P. The operation of an ISFET as an electronic device. Sens. Actuators 1981, 1, 17–29. [Google Scholar] [CrossRef]
- Bergveld, P. Thirty years of ISFETOLOGY: What happened in the past 30 years and what may happen in the next 30 years. Sens. Actuators B Chem. 2003, 88, 1–20. [Google Scholar] [CrossRef]
- Bartic, C.; Palan, B.; Campitelli, A.; Borghs, G. Monitoring pH with organic-based field-effect transistors. Sens. Actuators B 2002, 83, 115–122. [Google Scholar] [CrossRef]
- Bartic, C.; Campitelli, A.; Borghs, S. Field-effect detection of chemical species with hybrid organic/inorganic transistors. Appl. Phys. Lett. 2003, 82, 475–477. [Google Scholar] [CrossRef]
- Loi, A.; Manunza, I.; Bonfiglio, A. Flexible, organic, ion-sensitive field-effect transistor. Appl. Phys. Lett. 2005, 86, 103512. [Google Scholar] [CrossRef]
- Liao, C.; Yan, F. Organic Semiconductors in Organic Thin-Film Transistor-Based Chemical and Biological Sensors. Polym. Rev. 2013, 53, 352–406. [Google Scholar] [CrossRef]
- Liao, C.; Zhang, M.; Yao, M.Y.; Hua, T.; Li, L.; Yan, F. Flexible Organic Electronics in Biology: Materials and Devices. Adv. Mater. 2015, 27, 7493–7527. [Google Scholar] [CrossRef] [PubMed]
- Strakosas, X.; Bongo, M.; Owens, R.M. The organic electrochemical transistor for biological applications. J. Appl. Polym. Sci. 2015, 132, 41735. [Google Scholar] [CrossRef]
- Tixier-Mita, A.; Ihida, S.; Ségard, B.D.; Cathcart, G.A.; Takahashi, T.; Fujita, H.; Toshiyoshi, H. Review on thin-film transistor technology, its applications, and possible new applications to biological cells. Jpn. J. Appl. Phys. 2016, 55. [Google Scholar] [CrossRef]
- White, H.S.; Kittlesen, G.P.; Wrighton, M.S. Chemical derivatization of an array of three gold microelectrodes with polypyrrole: Fabrication of a molecule-based transistor. J. Am. Chem. Soc. 1984, 106, 5375–5377. [Google Scholar] [CrossRef]
- Paul, E.W.; Ricco, A.J.; Wrighton, M.S. Resistance of polyaniline films as a function of electrochemical potential and the fabrication of polyaniline-based microelectronic devices. J. Phys. Chem. 1985, 89, 1441–1447. [Google Scholar] [CrossRef]
- Rani, V.; Santhanam, K.S.V. Polycarbazole-based electrochemical transistor. J. Solid State Electrochem. 1998, 2, 99–101. [Google Scholar] [CrossRef]
- Thackeray, J.W.; White, H.S.; Wrighton, M.S. Poly(3-methylthiophene)-coated electrodes: Optical and electrical properties as a function of redox potential and amplification of electrical and chemical signals using poly(3-methylthiophene)-based microelectrochemical transistors. J. Phys. Chem. 1985, 89, 5133–5140. [Google Scholar] [CrossRef]
- Mabeck, J.T.; DeFranco, J.A.; Bernards, D.A.; Malliaras, G.G. Microfluidic gating of an organic electrochemical transistor. Appl. Phys. Lett. 2005, 87, 013503. [Google Scholar] [CrossRef]
- Nilsson, D.; Robinson, N.; Berggren, M.; Forchheimer, R. Electrochemical Logic Circuits. Adv. Mater. 2005, 17, 353–358. [Google Scholar] [CrossRef]
- Bernards, D.A.; Malliaras, G.G. Steady-State and Transient Behavior of Organic Electrochemical Transistors. Adv. Funct. Mater. 2007, 17, 3538–3544. [Google Scholar] [CrossRef]
- Gualandi, I.; Scavetta, E.; Mariani, F.; Tonelli, D.; Tessarolo, M.; Fraboni, B. All poly(3,4-ethylenedioxythiophene) organic electrochemical transistor to amplify amperometric signals. Electrochim. Acta 2018, 268, 476–483. [Google Scholar] [CrossRef]
- Khodagholy, D.; Rivnay, J.; Sessolo, M.; Gurfinkel, M.; Leleux, P.; Jimison, L.H.; Stavrinidou, E.; Herve, T.; Sanaur, S.; Owens, R.M.; et al. High transconductance organic electrochemical transistors. Nat. Commun. 2013, 4, 2133. [Google Scholar] [CrossRef] [PubMed]
- Rivnay, J.; Leleux, P.; Sessolo, M.; Khodagholy, D.; Hervé, T.; Fiocchi, M.; Malliaras, G.G. Organic electrochemical transistors with maximum transconductance at zero gate bias. Adv. Mater. 2013, 25, 7010–7014. [Google Scholar] [CrossRef] [PubMed]
- Tarabella, G.; Balducci, A.G.; Coppedè, N.; Marasso, S.; D’Angelo, P.; Barbieri, S.; Cocuzza, M.; Colombo, P.; Sonvico, F.; Mosca, R.; et al. Liposome sensing and monitoring by organic electrochemical transistors integrated in microfluidics. Biochim. Biophys. Acta 2013, 1830, 4374–4380. [Google Scholar] [CrossRef] [PubMed]
- Friedlein, J.T.; Rivnay, J.; Dunlap, D.H.; McCulloch, I.; Shaheen, S.E.; McLeod, R.R.; Malliaras, G.G. Influence of disorder on transfer characteristics of organic electrochemical transistors. Appl. Phys. Lett. 2017, 111, 023301. [Google Scholar] [CrossRef]
- Kaphle, V.; Liu, S.; Al-Shadeedi, A.; Keum, C.-M.; Lüssem, B. Contact Resistance Effects in Highly Doped Organic Electrochemical Transistors. Adv. Mater. 2016, 28, 8766–8770. [Google Scholar] [CrossRef] [PubMed]
- Morf, W.E. The Principles of Ion-Selective Electrodes and of Membrane Transport; Elsevier: New York, NY, USA, 1981; 446p, ISBN 978-0444997494. [Google Scholar]
- Bobacka, J.; Ivaska, A.; Lewenstam, A. Potentiometric ion sensors. Chem. Rev. 2008, 108, 329–351. [Google Scholar] [CrossRef] [PubMed]
- Clark, L.C. Monitor and control of blood and tissue oxygen tension. Trans. Am. Soc. Artif. Intern Organs 1956, 2, 41–48. [Google Scholar]
- Svensson, P.O.; Nilsson, D.; Forchheimer, R.; Berggren, M. A sensor circuit using reference-based conductance switching in organic electrochemical transistors. Appl. Phys. Lett. 2008, 93, 203301. [Google Scholar] [CrossRef]
- Lin, P.; Yanand, F.; Chan, H.L.W. Ion-Sensitive Properties of Organic Electrochemical Transistors. ACS Appl. Mater. Interfaces 2010, 2, 1637–1641. [Google Scholar] [CrossRef] [PubMed]
- Tarabella, G.; Nanda, G.; Villani, M.; Coppede, N.; Mosca, R.; Malliaras, G.G.; Iannotta, S.; Cicoira, F. Organic electrochemical transistors monitoring micelle formation. Chem. Sci. 2012, 3, 3432–3425. [Google Scholar] [CrossRef]
- Mousavi, Z.; Ekholm, A.; Bobacka, J.; Ivaska, A. Ion-Selective Organic Electrochemical Junction Transistors Based on Poly(3,4-ethylenedioxythiophene) Doped with Poly(styrene sulfonate). Electroanalysis 2009, 21, 472–479. [Google Scholar] [CrossRef]
- Bernards, D.A.; Malliaras, G.G.; Toombes, G.E.S.; Gruner, S.M. Gating of an organic transistor through a bilayer lipid membrane with ion channels. Appl. Phys. Lett. 2006, 89, 053505. [Google Scholar] [CrossRef]
- He, R.-X.; Zhang, M.; Tan, F.; Leung, P.H.M.; Zhao, X.-Z.; Chan, H.L.W.; Yang, M.; Yan, F. Detection of bacteria with organic electrochemical transistors. J. Mater. Chem. 2012, 22, 22072–22076. [Google Scholar] [CrossRef]
- Lin, P.; Luo, X.; Hsing, I.M.; Yan, F. Organic electrochemical transistors integrated in flexible microfluidic systems and used for label-free DNA sensing. Adv. Mater. 2011, 23, 4035–4040. [Google Scholar] [CrossRef] [PubMed]
- Jimison, L.H.; Tria, S.A.; Khodagholy, D.; Gurfinkel, M.; Lanzarini, E.; Hama, A.; Malliaras, G.G.; Owens, R.M. Measurement of Barrier Tissue Integrity with an Organic Electrochemical Transistor. Adv. Mater. 2012, 24, 5919–5923. [Google Scholar] [CrossRef] [PubMed]
- Nishizawa, M.; Matsue, T.; Uchida, I. Penicillin sensor based on a microarray electrode coated with pH-responsive polypyrrole. Anal. Chem. 1992, 64, 2642–2644. [Google Scholar] [CrossRef] [PubMed]
- Sessolo, M.; Rivnay, J.; Bandiello, E.; Malliaras, G.G.; Bolink, H.J. Ion-Selective Organic Electrochemical Transistors. Adv. Mater. 2014, 26, 4803–4807. [Google Scholar] [CrossRef] [PubMed]
- Updike, S.J.; Hicks, G.P. The enzyme electrode. Nature 1967, 214, 986–988. [Google Scholar] [CrossRef] [PubMed]
- Chan, T.M. Biosensors; Springer: New York, NY, USA, 1993; 218p, ISBN 978-0-585-37623-3. [Google Scholar]
- Bernards, D.A.; Macaya, D.J.; Nikolou, M.; DeFranco, J.A.; Takamatsu, S.; Malliaras, G.G. Enzymatic Sensing with Organic Electrochemical Transistors. J. Mater. Chem. 2008, 18, 116–120. [Google Scholar] [CrossRef]
- Tang, H.; Yan, F.; Lin, P.; Xu, J.; Chan, H.L.W. Highly Sensitive Glucose Biosensors Based on Organic Electrochemical Transistors Using Platinum Gate Electrodes Modified with Enzyme and Nanomaterials. Adv. Funct. Mater. 2011, 21, 2264–2272. [Google Scholar] [CrossRef]
- Liao, C.; Zhang, M.; Niu, L.; Zheng, Z.; Yan, F. Highly Selective and Sensitive Glucose Sensors Based on Organic Electrochemical Transistors with Graphene-Modified Gate Electrodes. J. Mater. Chem. B 2013, 1, 3820–3829. [Google Scholar] [CrossRef]
- Shim, N.Y.; Bernards, D.A.; Macaya, D.J.; Defranco, J.A.; Nikolou, M.; Owens, R.M.; Malliaras, G.G. All-Plastic Electrochemical Transistor for Glucose Sensing Using a Ferrocene Mediator. Sensors 2009, 9, 9896–9902. [Google Scholar] [CrossRef] [PubMed]
- Ghindilis, A. Direct electron transfer catalysed by enzymes: Application for biosensor development. Biochem. Soc. Trans. 2000, 28, 84–89. [Google Scholar] [CrossRef] [PubMed]
- Gualandi, I.; Marzocchi, M.; Scavetta, E.; Calienni, M.; Bonfiglio, A.; Fraboni, B. A Simple All-PEDOT:PSS Electrochemical Transistor for Ascorbic Acid Sensing. J. Mater. Chem. B 2015, 3, 6753–6762. [Google Scholar] [CrossRef]
- Casalini, S.; Leonardi, F.; Cramer, T.; Biscarini, F. Organic field-effect transistor for label-free dopamine sensing. Org. Electron. 2013, 14, 156–163. [Google Scholar] [CrossRef]
- Stoppa, M.; Chiolerio, A. Wearable Electronics and Smart Textiles: A Critical Review. Sensors 2014, 14, 11957–11992. [Google Scholar] [CrossRef] [PubMed]
- Gualandi, I.; Marzocchi, M.; Achilli, A.; Cavedale, D.; Bonfiglio, A.; Fraboni, B. Textile Organic Electrochemical Transistors as a Platform for Wearable Biosensors. Sci. Rep. 2016, 6, 33637. [Google Scholar] [CrossRef] [PubMed]
- Dai, L. Intelligent Macromolecules for Smart Devices; Engineering Materials and Processes; Springer-Verlag: London, UK, 2004. [Google Scholar]
- Nishizawa, M.; Matsue, T.; Uchida, I. Fabrication of a pH-sensitive microarray electrode and applicability to biosensors. Sens. Actuator B Chem. 1993, 13, 53–56. [Google Scholar] [CrossRef]
- Pud, A.A. Stability and degradation of conducting polymers in electrochemical systems. Synth. Met. 1994, 66, 1–18. [Google Scholar] [CrossRef]
- Tourillon, G. Stability of Conducting Polythiophene and Derivatives. J. Electrochem. Soc. 1983, 130, 2042–2044. [Google Scholar] [CrossRef]
- Tourillon, G.; Gourier, D.; Garnier, F.; Vivien, D.J. Electron spin resonance study of electrochemically generated polythiophene and derivatives. Phys. Chem. 1984, 88, 1049–1051. [Google Scholar] [CrossRef]
- Heywang, G.; Jonas, F. Poly(alkylenedioxythiophenes). New, very stable conducting polymers. Adv. Mater. 1992, 4, 116–118. [Google Scholar] [CrossRef]
- Shi, H.; Liu, C.; Jiang, Q.; Xu, J. Effective Approaches to Improve the Electrical Conductivity of PEDOT:PSS: A Review. Adv. Electron. Mater. 2015, 1, 1500017. [Google Scholar] [CrossRef]
- Huang, J.; Miller, P.F.; de Mello, J.C.; de Mello, A.J.; Bradley, D.D.C. Influence of Thermal Treatment on the Conductivity and Morphology of PEDOT/PSS Films. Synth. Met. 2003, 139, 569–572. [Google Scholar] [CrossRef]
- Lin, Y.J.; Yang, F.M.; Huang, C.Y.; Chou, W.Y.; Chang, J.; Lien, Y.C. Increasing the Work Function of Poly(3,4-Ethylenedioxythiophene) Doped with Poly(4-Styrenesulfonate) by Ultraviolet Irradiation. Appl. Phys. Lett. 2007, 91, 092127. [Google Scholar] [CrossRef]
- Moujoud, A.; Oh, S.H.; Shin, H.S.; Kim, H.J. On the Mechanism of Conductivity Enhancement and Work Function Control in PEDOT:PSS Film through UV-Light Treatment. Phys. Status Solide A 2010, 207, 1704–1707. [Google Scholar] [CrossRef]
- Benor, A.; Takizawa, S.; Chen, P.; Pérez-Bolívar, C.; Anzenbacher, P. Dramatic Efficiency Improvement in Phosphorescent Organic Light-Emitting Diodes with Ultraviolet-Ozone Treated Poly(3,4-Ethylenedioxythiophene):Poly(Styrenesulfonate). Appl. Phys. Lett. 2009, 94, 193301. [Google Scholar] [CrossRef]
- Benor, A.; Takizawa, S.; Pérez-Bolívar, C.; Anzenbacher, P. Efficiency Improvement of Fluorescent OLEDs by Tuning the Working Function of PEDOT:PSS Using UV–ozone Exposure. Org. Electron. 2010, 11, 938–945. [Google Scholar] [CrossRef]
- Kim, N.; Kee, S.; Lee, S.H.; Lee, B.H.; Kahng, Y.H.; Jo, Y.-R.; Kim, B.-J.; Lee, K. Highly Conductive PEDOT:PSS Nanofibrils Induced by Solution-Processed Crystallization. Adv. Mater. 2014, 26, 2268–2272. [Google Scholar] [CrossRef] [PubMed]
- Hu, Z.; Zhang, J.; Zhu, Y. Effects of Solvent-Treated PEDOT:PSS on Organic Photovoltaic Devices. Renew. Energy 2014, 62, 100–105. [Google Scholar] [CrossRef]
- Lee, S.H.; Park, H.; Son, W.; Choi, H.H.; Kim, J.H. Novel Solution-Processable, Dedoped Semiconductors for Application in Thermoelectric Devices. J. Mater. Chem. A 2014, 2, 13380–13387. [Google Scholar] [CrossRef]
- Xia, Y.; Ouyang, J. Highly Conductive PEDOT:PSS Films Prepared through a Treatment with Geminal Diols or Amphiphilic Fluoro Compounds. Org. Electron. 2012, 13, 1785–1792. [Google Scholar] [CrossRef]
- Mengistie, D.A.; Wei, H.-Y.; Ho, K.-C.; Chu, C.-W. Highly Conductive PEDOT:PSS Electrode by Simple Film Treatment with Methanol for ITO-Free Polymer Solar Cells. Energy Environ. Sci. 2012, 5, 9662–9671. [Google Scholar] [CrossRef]
- Mengistie, D.A.; Wang, P.-C.; Chu, C.-W. Effect of Molecular Weight of Additives on the Conductivity of PEDOT:PSS and Efficiency for ITO-Free Organic Solar Cells. J. Mater. Chem. A 2013, 1, 9907–9915. [Google Scholar] [CrossRef]
- Ouyang, J. Solution-Processed PEDOT:PSS Films with Conductivities as Indium Tin Oxide through a Treatment with Mild and Weak Organic Acids. ACS Appl. Mater. Interface 2013, 5, 13082–13088. [Google Scholar] [CrossRef] [PubMed]
- Xia, Y.; Ouyang, J. Significant Conductivity Enhancement of Conductive Poly(3,4-Ethylenedioxythiophene): Poly(Styrenesulfonate) Films through a Treatment with Organic Carboxylic Acids and Inorganic Acids. ACS Appl. Mater. Interface 2010, 2, 474–483. [Google Scholar] [CrossRef] [PubMed]
- Mukherjee, S.; Singh, R.; Gopinathan, S.; Murugan, S.; Gawali, S.; Saha, B.; Biswas, J.; Lodha, S.; Kumar, A. Solution-Processed Poly(3,4-Ethylenedioxythiophene) Thin Films as Transparent Conductors: Effect of p-Toluenesulfonic Acid in Dimethyl Sulfoxide. ACS Appl. Mater. Interface 2014, 6, 17792–17803. [Google Scholar] [CrossRef] [PubMed]
- Håkansson, A.; Han, S.; Wang, S.; Lu, J.; Braun, S.; Fahlman, M.; Berggren, M.; Crispin, X.; Fabiano, S. Effect of (3-glycidyloxypropyl)trimethoxysilane (GOPS) on the Electrical Properties of PEDOT:PSS Films. J. Polym. Sci. B Polym. Phys. 2017, 55, 814–820. [Google Scholar] [CrossRef]
- Mantione, D.; Del Agua, I.; Schaafsma, W.; ElMahmoudy, M.; Uguz, I.; Sanchez-Sanchez, A.; Sardon, H.; Castro, B.; Malliaras, G.G.; Mecerreyes, D. Low-Temperature Cross-Linking of PEDOT:PSS Films Using Divinylsulfone. ACS Appl. Mater. Interface 2017, 9, 18254–18262. [Google Scholar] [CrossRef] [PubMed]
- Wei, B.; Liu, J.; Ouyang, L.; Kuo, C.-C.; Martin, D.C. Significant Enhancement of PEDOT Thin Film Adhesion to Inorganic Solid Substrates with EDOT-Acid. ACS Appl. Mater. Interface 2015, 7, 15388–15394. [Google Scholar] [CrossRef] [PubMed]
- Ouyang, L.; Wei, B.; Kuo, C.; Pathak, S.; Farrell, B.; Martin, D.C. Enhanced PEDOT Adhesion on Solid Substrates with Electrografted P (EDOT-NH2). Sci. Adv. 2017, 3, e1600448. [Google Scholar] [CrossRef] [PubMed]
- Pranti, A.S.; Schander, A.; Bödecker, A.; Lang, W. Highly Stable PEDOT:PSS Coating on Gold Microelectrodes with Improved Charge Injection Capacity for Chronic Neural Stimulation. Proceedings 2017, 1, 492. [Google Scholar] [CrossRef]
- DeFranco, J.A.; Schmidt, B.S.; Lipson, M.; Malliaras, G.G. Photolithographic patterning of organic electronic materials. Org. Electron. 2006, 7, 22–28. [Google Scholar] [CrossRef]
- Ramuz, M.; Margita, K.; Hama, A.; Leleux, P.; Rivnay, J.; Bazin, I.; Owens, R.M. Optimization of a Planar All-Polymer Transistor for Characterization of Barrier Tissue. ChemPhysChem 2015, 16, 1210–1216. [Google Scholar] [CrossRef] [PubMed]
- Zhu, Z.T.; Mabeck, J.T.; Zhu, C.; Cady, N.C.; Batt, C.A.; Malliaras, G.G. A Simple Poly(3,4-Ethylene Dioxythiophene)/Poly(Styrene Sulfonic Acid) Transistor for Glucose Sensing at Neutral Ph. Chem. Commun. 2004, 13, 1556–1557. [Google Scholar] [CrossRef] [PubMed]
- Liao, J.; Lin, S.; Yang, Y.; Liu, K.; Du, W. Highly Selective and Sensitive Glucose Sensors Based on Organic Electrochemical Transistors Using TiO2 Nanotube Arrays-Based Gate Electrodes. Sens. Actuators B Chem. 2015, 208, 457–463. [Google Scholar] [CrossRef]
- Braendlein, M.; Pappa, A.-M.; Ferro, M.; Lopresti, A.; Acquaviva, C.; Mamessier, E.; Malliaras, G.G.; Owens, R.M. Lactate Detection in Tumor Cell Cultures Using Organic Transistor Circuits. Adv. Mater. 2017, 29, 1605744. [Google Scholar] [CrossRef] [PubMed]
- Macaya, D.J.; Nikolou, M.; Takamatsu, S.; Mabeck, J.T.; Owens, R.M.; Malliaras, G.G. Simple Glucose Sensors with Micromolar Sensitivity Based on Organic Electrochemical Transistors. Sens. Actuators B Chem. 2007, 123, 374–378. [Google Scholar] [CrossRef]
- Yang, S.Y.; Defranco, J.A.; Sylvester, Y.A.; Gobert, T.J.; Macaya, D.J.; Owens, R.M.; Malliaras, G.G. Integration of a Surface-Directed Microfluidic System with an Organic Electrochemical Transistor Array for Multi-Analyte Biosensors. Lab Chip 2009, 9, 704–708. [Google Scholar] [CrossRef] [PubMed]
- Yang, S.Y.; Cicoira, F.; Byrne, R.; Benito-Lopez, F.; Diamond, D.; Owens, R.M.; Malliaras, G.G. Electrochemical Transistors with Ionic Liquids for Enzymatic Sensing. Chem. Commun. 2010, 46, 7972–7974. [Google Scholar] [CrossRef] [PubMed]
- Kanakamedala, S.K.; Alshakhouri, H.T.; Agarwal, M.; DeCoster, M.A. A Simple Polymer Based Electrochemical Transistor for Micromolar Glucose Sensing. Sens. Actuators B Chem. 2011, 157, 92–97. [Google Scholar] [CrossRef]
- Tang, H.; Lin, P.; Chan, H.L.; Yan, F. Highly Sensitive Dopamine Biosensors Based on Organic Electrochemical Transistors. Biosens. Bioelectron. 2011, 26, 4559–4563. [Google Scholar] [CrossRef] [PubMed]
- Khodagholy, D.; Curto, V.F.; Fraser, K.J.; Gurfinkel, M.; Byrne, R.; Diamond, D.; Malliaras, G.G.; Benito-Lopez, F.; Owens, R.M. Organic Electrochemical Transistor Incorporating an Ionogel as a Solid-State Electrolyte for Lactate Sensing. J. Mater. Chem. 2012, 22, 4440–4443. [Google Scholar] [CrossRef]
- Tarabella, G.; Pezzella, A.; Romeo, A.; D’Angelo, P.; Coppedè, N.; Calicchio, M.; d’Ischia, M.; Mosca, R.; Iannotta, S. Irreversible Evolution of Eumelanin Redox States Detected by an Organic Electrochemical Transistor: En Route to Bioelectronics and Biosensing. J. Mater. Chem. B 2013, 1, 3843–3849. [Google Scholar] [CrossRef]
- Liao, C.; Mak, C.; Zhang, M.; Chan, H.L.; Yan, F. Flexible Organic Electrochemical Transistors for Highly Selective Enzyme Biosensors and Used for Saliva Testing. Adv. Mater. 2015, 27, 676–681. [Google Scholar] [CrossRef] [PubMed]
- Liao, C.; Zhang, M.; Niu, L.; Zheng, Z.; Yan, F. Organic Electrochemical Transistors with Graphene-Modified Gate Electrodes for Highly Sensitive and Selective Dopamine Sensors. J. Mater. Chem. B 2014, 2, 191–200. [Google Scholar] [CrossRef]
- Kergoat, L.; Piro, B.; Simon, D.T.; Pham, M.-C.; Noël, V.; Berggren, M. Detection of Glutamate and Acetylcholine with Organic Electrochemical Transistors Based on Conducting Polymer/Platinum Nanoparticle Composites. Adv. Mater. 2014, 26, 5658–5664. [Google Scholar] [CrossRef] [PubMed]
- Mak, C.H.; Liao, C.; Fu, Y.; Zhang, M.; Tang, C.Y.; Tsang, Y.H.; Chan, H.L.W.; Yan, F. Highly-Sensitive Epinephrine Sensors Based on Organic Electrochemical Transistors with Carbon Nanomaterial Modified Gate Electrodes. J. Mater. Chem. C 2015, 3, 6532–6538. [Google Scholar] [CrossRef]
- Gentile, F.; Ferrara, L.; Villani, M.; Bettelli, M.; Iannotta, S.; Zappettini, A.; Cesarelli, M.; Di Fabrizio, E.; Coppedè, N. Geometrical Patterning of Super-Hydrophobic Biosensing Transistors Enables Space and Time Resolved Analysis of Biological Mixtures. Sci. Rep. 2016, 6, 18992. [Google Scholar] [CrossRef] [PubMed]
- Coppedè, N.; Ferrara, L.; Bifulco, P.; Villani, M.; Iannotta, S.; Zappettini, A.; Cesarelli, M.; Di Fabrizio, E.; Gentile, F. Multiscale Modification of the Conductive PEDOT:PSS Polymer for the Analysis of Biological Mixtures in a Super-Hydrophobic Drop. Microelectron. Eng. 2016, 158, 80–84. [Google Scholar] [CrossRef]
- Gualandi, I.; Tonelli, D.; Mariani, F.; Scavetta, E.; Marzocchi, M.; Fraboni, B. Selective Detection of Dopamine with an All PEDOT:PSS Organic Electrochemical Transistor. Sci. Rep. 2016, 6, 35419. [Google Scholar] [CrossRef] [PubMed]
- Strakosas, X.; Huerta, M.; Donahue, M.J.; Hama, A.; Pappa, A.-M.; Ferro, M.; Ramuz, M.; Rivnay, J.; Owens, R.M. Catalytically Enhanced Organic Transistors for in Vitro Toxicology Monitoring through Hydrogel Entrapment of Enzymes. J. Appl. Polym. Sci. 2017, 134, 44483. [Google Scholar] [CrossRef]
- Guo, X.; Liu, J.; Liu, F.; She, F.; Zheng, Q.; Tang, H.; Ma, M.; Yao, S. Label-Free and Sensitive Sialic Acid Biosensor Based on Organic Electrochemical Transistors. Sens. Actuators B Chem. 2017, 240, 1075–1082. [Google Scholar] [CrossRef]
- Pecqueur, S.; Lenfant, S.; Guérin, D.; Alibart, F.; Vuillaume, D. Concentric-Electrode Organic Electrochemical Transistors: Case Study for Selective Hydrazine Sensing. Sensors 2017, 17, 570. [Google Scholar] [CrossRef] [PubMed]
- Xiong, C.; Wang, Y.; Qu, H.; Zhang, L.; Qiu, L.; Chen, W.; Yan, F.; Zheng, L. Highly Sensitive Detection of Gallic Acid Based on Organic Electrochemical Transistors with Poly(Diallyldimethylammonium Chloride) and Carbon Nanomaterials Nanocomposites Functionalized Gate Electrodes. Sens. Actuators B Chem. 2017, 246, 235–242. [Google Scholar] [CrossRef]
- Zhang, L.; Wang, G.; Wu, D.; Xiong, C.; Zheng, L.; Ding, Y.; Lu, H.; Zhang, G.; Qiu, L. Highly Selective and Sensitive Sensor Based on an Organic Electrochemical Transistor for the Detection of Ascorbic Acid. Biosens. Bioelectron. 2018, 100, 235–241. [Google Scholar] [CrossRef] [PubMed]
- Scheiblin, G.; Aliane, A.; Strakosas, X.; Curto, V.F.; Coppard, R.; Marchand, G.; Owens, R.M.; Mailley, P.; Malliaras, G.G. Screen-Printed Organic Electrochemical Transistors for Metabolite Sensing. MRS Commun. 2015, 5, 507–511. [Google Scholar] [CrossRef]
- Contat-Rodrigo, L.; Pérez-Fuster, C.; Lidón-Roger, J.V.; Bonfiglio, A.; García-Breijo, E. Screen-Printed Organic Electrochemical Transistors for the Detection of Ascorbic Acid in Food. Org. Electron. 2017, 45, 89–96. [Google Scholar] [CrossRef]
- Mattana, G.; Loi, A.; Woytasik, M.; Barbaro, M.; Noël, V.; Piro, B. Inkjet-Printing: A New Fabrication Technology for Organic Transistors. Adv. Mater. Technol. 2017, 2, 1700063. [Google Scholar] [CrossRef]
- Weng, B.; Morrin, A.; Shepherd, R.; Crowley, K.; Killard, A.J.; Innis, P.C.; Wallace, G.G. Wholly printed polypyrrole nanoparticle-based biosensors on flexible substrate. J. Mater. Chem. B 2014, 2, 793–799. [Google Scholar] [CrossRef]
- Yun, Y.H.; Lee, B.K.; Choi, J.S.; Kim, S.; Yoo, B.; Kim, Y.S.; Park, K.; Cho, Y.W. A Glucose Sensor Fabricated by Piezoelectric Inkjet Printing of Conducting Polymers and Bienzymes. Anal. Sci. 2011, 27, 375–379. [Google Scholar] [CrossRef] [PubMed]
- Faddoul, R.; Coppard, R.; Berthelot, T. Inkjet Printing of Organic Electrochemical Immunosensors. In Proceedings of the IEEE Sensors, Valencia, Spain, 2–5 November 2014; pp. 1088–1091. [Google Scholar]
- Sukeerthi, S.; Contractor, A.Q. Molecular Sensors and Sensor Arrays Based on Polyaniline Microtubules. Anal. Chem. 1999, 71, 2231–2236. [Google Scholar] [CrossRef] [PubMed]
- Kanungo, M.; Kumar, A.; Contractor, A.Q. Microtubule Sensors and Sensor Array Based on Polyaniline Synthesized in the Presence of Poly(Styrene Sulfonate). Anal. Chem. 2003, 75, 5673–5679. [Google Scholar] [CrossRef] [PubMed]
- Wang, Y.; Qing, X.; Zhou, Q.; Zhang, Y.; Liu, Q.; Liu, K.; Wang, W.; Li, M.; Lu, Z.; Chen, Y.; et al. The Woven Fiber Organic Electrochemical Transistors Based on Polypyrrole Nanowires/Reduced Graphene Oxide Composites for Glucose Sensing. Biosens Bioelectron. 2017, 95, 138–145. [Google Scholar] [CrossRef] [PubMed]
- Kim, Y.; Do, J.; Kim, J.; Yang, S.Y.; Malliaras, G.G.; Ober, C.K.; Kim, E. A Glucose Sensor Based on an Organic Electrochemical Transistor Structure Using a Vapor Polymerized Poly(3,4-Ethylenedioxythiophene) Layer. Jpn. J. Appl. Phys. 2010, 49, 01AE10. [Google Scholar] [CrossRef]
- Coppedè, N.; Tarabella, G.; Villani, M.; Calestani, D.; Iannotta, S.; Zappettini, A. Human Stress Monitoring through an Organic Cotton-Fiber Biosensor. J. Mater. Chem. B 2014, 2, 5620–5626. [Google Scholar] [CrossRef]
- Battista, E.; Lettera, V.; Villani, M.; Calestani, D.; Gentile, F.; Netti, P.A.; Iannotta, S.; Zappettini, A.; Coppedè, N. Enzymatic Sensing with Laccase-Functionalized Textile Organic Biosensors. Org. Electron. 2017, 40, 51–57. [Google Scholar] [CrossRef]
- Lin, P.; Yan, F. Organic Thin-Film Transistors for Chemical and Biological Sensing. Adv. Mater. 2012, 24, 34–51. [Google Scholar] [CrossRef] [PubMed]
- Hoa, D.T.; Kumar, T.N.S.; Punekar, N.S.; Srinivasa, R.S.; Lal, R.; Contractor, A.Q. A biosensor based on conducting polymers. Anal. Chem. 1992, 64, 2645–2646. [Google Scholar] [CrossRef]
- Bartlett, P.N.; Birkin, P.R. Enzyme switch responsive to glucose. Anal. Chem. 1993, 65, 1118–1119. [Google Scholar] [CrossRef]
- Wang, J.; Musameh, M.; Lin, Y.H. Solubilization of carbon nanotubes by Nafion toward the preparation of amperometric biosensors. J. Am. Chem. Soc. 2003, 125, 2408–2409. [Google Scholar] [CrossRef] [PubMed]
- Kang, Q.; Yang, L.; Cai, Q. An electro-catalytic biosensor fabricated with Pt-Au nanoparticle-decorated titania nanotube array. Bioelectrochemistry 2008, 74, 62–65. [Google Scholar] [CrossRef] [PubMed]
- Bai, J.; Zhou, B. Titanium Dioxide Nanomaterials for Sensor Applications. Chem. Rev. 2014, 114, 10131–10176. [Google Scholar] [CrossRef] [PubMed]
- Welch, M.E.; Doublet, T.; Bernard, C.; Malliaras, G.G.; Ober, C.K. A glucose sensor via stable immobilization of the GOx enzyme on an organic transistor using a polymer brush. J. Polym. Sci. A Polym. Chem. 2015, 53, 372–377. [Google Scholar] [CrossRef]
- Ji, X.; Chan, P.K.L. Biosensors and Biodetection: Methods and Protocols, Electrochemical, Bioelectronic, Piezoelectric, Cellular and Molecular Biosensors; Pickril, B., Rasooly, A., Eds.; Springer: Berlin/Heidelberg, Germany, 2017; Volume 2, pp. 205–216. ISBN 978-1-4939-6910-4. [Google Scholar]
- Adeva-Andany, M.; López-Ojén, M.; Funcasta-Calderón, R.; Ameneiros-Rodríguez, E.; Donapetry-García, C.; Vila-Altesor, M.; Rodríguez-Seijas, J. Comprehensive review on lactate metabolism in human health. Mitochondrion 2014, 17, 76–100. [Google Scholar] [CrossRef] [PubMed]
- Pappa, A.M.; Curto, V.F.; Braendlein, M.; Strakosas, X.; Donahue, M.J.; Fiocchi, M.; Malliaras, G.G.; Owens, R.M. Organic Transistor Arrays Integrated with Finger-Powered Microfluidics for Multianalyte Saliva Testing. Adv. Health Mater. 2016, 5, 2295–2302. [Google Scholar] [CrossRef] [PubMed]
- Ji, X.; Lau, H.Y.; Ren, X.; Peng, B.; Zhai, P.; Feng, S.-P.; Chan, P.K.L. Highly Sensitive Metabolite Biosensor Based on Organic Electrochemical Transistor Integrated with Microfluidic Channel and Poly(N-vinyl-2-pyrrolidone)-Capped Platinum Nanoparticles. Adv. Mater. Technol. 2016, 1, 1600042. [Google Scholar] [CrossRef]
- Erden, P.E.; Kilic, E. A review of enzymatic uric acid biosensors based on amperometric detection. Talanta 2013, 107, 312–323. [Google Scholar] [CrossRef] [PubMed]
- Banderet, L.E.; Lieberman, H.R. Treatment with tyrosine, a neurotransmitter precursor, reduces environmental stress in humans Brain. Res. Bull. 1989, 22, 759–762. [Google Scholar] [CrossRef]
- Solís, O.; García-Sanz, P.; Herranz, A.S.; Asensio, M.-J.; Moratalla, R. L-DOPA reverses the increased free amino acids tissue levels induced by dopamine depletion and rises GABA and tyrosine in the striatum. Neurotoxic. Res. 2016, 30, 67–75. [Google Scholar] [CrossRef] [PubMed]
- Wang, Y.; Xiong, C.; Qu, H.; Chen, W.; Ma, A.; Zheng, L. Highly sensitive real-time detection of tyrosine based on organic electrochemical transistors with poly-(diallyldimethylammonium chloride), gold nanoparticles and multi-walled carbon nanotubes. J. Electroanal. Chem. 2017, 799, 321–326. [Google Scholar] [CrossRef]
- Du, J.; Cullen, J.J.; Buettner, G.R. Ascorbic acid: Chemistry, biology and the treatment of cancer. Biochim. Biophys. Acta 2012, 1826, 443–457. [Google Scholar] [CrossRef] [PubMed]
- Pisoschi, A.M.; Pop, A.; Serban, A.I.; Fafaneata, C. Electrochemical methods for ascorbic acid determination. Electrochim. Acta 2014, 121, 443–460. [Google Scholar] [CrossRef]
- Wightman, R.M.; Jankowski, J.A.; Kennedy, R.T.; Kawagoe, K.T.; Schroeder, T.J.; Leszczyszyn, D.J.; Near, J.A.; Diliberto, E.J.; Viveros, O.H. Temporally resolved catecholamine spikes correspond to single vesicle release from individual chromaffin cells. Proc. Natl. Acad. Sci. USA 1991, 88, 10754–10758. [Google Scholar] [CrossRef] [PubMed]
- Tybrandt, K.; Kollipara, S.B.; Berggren, M. Organic electrochemical transistors for signal amplification in fast scan cyclic voltammetry. Sens. Actuators B Chem. 2014, 195, 651–656. [Google Scholar] [CrossRef]
- Michael, A.C.; Borland, L.M. Electrochemical Methods for Neuroscience; CRC Press: Boca Raton, FL, USA, 2007; ISBN 0-8493-4075-6. [Google Scholar]
- Wang, N.; Liu, Y.; Fu, Y.; Yan, F. AC Measurements Using Organic Electrochemical Transistors for Accurate Sensing. ACS Appl. Mater. Interfaces 2017. [Google Scholar] [CrossRef] [PubMed]
- Nilsson, D.; Berggren, M.; Svensson, J.P.-O. Electrochemical Sensor. Application WO2003046540A1, 5 June 2003. [Google Scholar]
- Kugler, T.; Berggren, M.; Remonen, T.; Malmström, A.I.; Knuthammar, B.; Norberg, P. Electrochemical Device. Grant US7482620B2, 27 January 2009. [Google Scholar]
- Ersman, P.A.; Nilsson, D.; Berggren, M.; Svensson, P.O.; Robinson, N.D. Electrochemical Device. Application US8810888B2, 23 May 2013. [Google Scholar]
- Yan, F.; Liao, C. Fiber-Based Organic Electrochemical Transistor. Application US9178170B2, 3 November 2015. [Google Scholar]
- Yan, F.; Chan, H.L.W.; Tang, H. Non-Invasive Glucose Sensor. Application US9632058B2, 4 October 2012. [Google Scholar]
- Seong, D.G.; Lee, K.E.; Um, M.K.; Lee, W.O.; Lee, J.U.; Jung, B.M.; Oh, Y.S. Organic Semiconductor Element, Fabrication Method Thereof, Woven and Non-Woven Fabric Structures Therewith, and Semiconductor Device Therewith. Application US9733209, 28 April 2016. [Google Scholar]
- Coppede, N.; Zappettini, A.; Marchini, L. Organic Electrochemical Sensor for Measuring Body Parameters. Application US20170027481A1, 2 February 2017. [Google Scholar]
- Ferro, M.; Malliaras, G. Organic Electrochemical Transistor. Application US9530976B2, 27 December 2016. [Google Scholar]


















| Top-Down Approach | ||||
| Spin Speed [rpm] | Spin Duration [s] | Post-Deposition Treatment | Final Thickness [nm] | Reference |
| [–] | [-] | Thermal annealing in a vacuum oven at 150 °C for 30 min | [-] | [89] |
| [-] | [-] | Thermal annealing at 200 ° C for one hour in a glovebox filled with high purity N2 | ~80 | [53] |
| 3500 | [-] | Thermal annealing at 200 ° C for one hour in a glovebox filled with high purity N2 | [-] | [54] |
| [-] | [-] | Thermal annealing at 200 °C for one hour in a glovebox filled with high purity N2 | 80 | [90] |
| 1500 | 30 | 125 °C for one hour | 100 | [91] |
| Bottom-Up Approach | ||||
| Spin Speed [rpm] | Spin Duration [s] | Post-Deposition Treatment | Final Thickness [nm] | Reference |
| 1500 | [-] | Immersion in deionized water to remove any excess of DBSA | 100 | [92] |
| 1500 | [-] | Thermal annealing on a hotplate for 20 s at 140 °C followed by a second annealing under vacuum at 140 °C for 1 h. Subsequent soaking in deionized water to remove any surface contamination | [-] | [52] |
| 1500 | [-] | Thermal annealing at 140 °C under vacuum for 1 hour followed by immersion in deionized water to remove any excess DBSA | 100 | [53] |
| [-] | [-] | Prebaking at 90 °C for 150 seconds followed by thermal annealing under vacuum at 130 °C for 1 h | 100 | [93] |
| [-] | [-] | Thermal annealing at 140 °C on a hotplate for 1 h | [-] | [94] |
| 1000 | 45 | Thermal annealing at 150 °C in air | 200 | [95] |
| 3500 | [-] | Thermal annealing at 200 °C for 60 min in a glove box filled with high purity N2 gas | 80 | [96] |
| [-] | [-] | Thermal annealing at 140 °C for 60 min | 200 | [97] |
| 1500 | 30 | Thermal annealing at 120 °C for 75 min | ~80 | [98] |
| [-] | [-] | Thermal annealing at 120 °C for 60 min | ~80 | [34] |
| [-] | [-] | Thermal annealing at 120 °C for 60 min in a glove box filled with high purity N2 gas | ~80 | [99] |
| 3500 | [-] | Thermal annealing at 200 °C for 60 min in a glove box filled with high purity N2 gas | [-] | [100] |
| [-] | [-] | Thermal annealing at 140 °C for 60 min followed by soaking in deionized water for 60 min to remove the loosely bound polymer chains | [-] | [101] |
| 3000 | 10 | Pre-baking at 60 °C for 5 min then thermal annealing at 140 °C for 30 min, after removing the insulating tape | [-] | [57] |
| [-] | [-] | Thermal annealing at 140 °C in air | 460 | [102] |
| [-] | [-] | Thermal annealing at 140 °C for 60 min | ~80 | [103] |
| [-] | [-] | Thermal annealing at 140 °C for 60 min | [-] | [104] |
| 500 | 3 | [-] | [-] | [105] |
| 3000 | [-] | Pre-baking at 100 °C for 90 s, followed by immersion in deionized water and thermal annealing 140 °C for 30 min | [-] | [106] |
| [-] | [-] | Thermal annealing at 130 °C for 10 min followed by another baking at 150 °C for 1 h under high purity N2 | [-] | [107] |
| [-] | [-] | Thermal annealing at 140 °C for 60 min | [-] | [108] |
| 600 + 3000 | 9 + 30 | Thermal annealing at 185 °C for 60 min | [-] | [109] |
| [-] | [-] | Thermal annealing at 185 °C for 60 min under N2 | ~60 | [110] |
| PEDOT:PSS Source | Conductivity (S/cm) | Surface Resistance (Ω/sq) | PEDOT/PSS Ratio (by Weight) | Solids Content (%) | References | |
|---|---|---|---|---|---|---|
| Baytron P AI 4083 | 0.001 | - | 1:6 | 1.3 to 1.7 | [66,70,72,74] | |
| Brayton P (Clevios P) | 1 | - | 1:2.5 | 1.3 | [52,55,80,89,92,95] | |
| Clevios PH500 | 5 | - | 1:2.5 | 1.2 | [34,90,94,97,98,103,104,121] | |
| Ckevios PH1000 | 10 | - | 1:2.5 | 1.2 | [57,73,76,77,78,79,82,83,91,105,107,108,109] | |
| Clevios P Jet NV2 | 200 | - | - | 0.6 to 1.2 | [101] | |
| Orgacon EL-P 3040 | - | 680 | - | 3.4 | [93] | |
| Orgacon IJ1005 | - | 110 | - | 0.8 | [116] | |
| Gwent C2100629D1 | - | - | - | - | [112] | |
| Not applicable * | - | - | - | - | [53,54,67,71,75,81,84,85,86,96,99,100,102,110,113,114,115,116,118,119,120] | |
© 2018 by the authors. Licensee MDPI, Basel, Switzerland. This article is an open access article distributed under the terms and conditions of the Creative Commons Attribution (CC BY) license (http://creativecommons.org/licenses/by/4.0/).
Share and Cite
Piro, B.; Mattana, G.; Zrig, S.; Anquetin, G.; Battaglini, N.; Capitao, D.; Maurin, A.; Reisberg, S. Fabrication and Use of Organic Electrochemical Transistors for Sensing of Metabolites in Aqueous Media. Appl. Sci. 2018, 8, 928. https://doi.org/10.3390/app8060928
Piro B, Mattana G, Zrig S, Anquetin G, Battaglini N, Capitao D, Maurin A, Reisberg S. Fabrication and Use of Organic Electrochemical Transistors for Sensing of Metabolites in Aqueous Media. Applied Sciences. 2018; 8(6):928. https://doi.org/10.3390/app8060928
Chicago/Turabian StylePiro, Benoît, Giorgio Mattana, Samia Zrig, Guillaume Anquetin, Nicolas Battaglini, Dany Capitao, Antoine Maurin, and Steeve Reisberg. 2018. "Fabrication and Use of Organic Electrochemical Transistors for Sensing of Metabolites in Aqueous Media" Applied Sciences 8, no. 6: 928. https://doi.org/10.3390/app8060928
APA StylePiro, B., Mattana, G., Zrig, S., Anquetin, G., Battaglini, N., Capitao, D., Maurin, A., & Reisberg, S. (2018). Fabrication and Use of Organic Electrochemical Transistors for Sensing of Metabolites in Aqueous Media. Applied Sciences, 8(6), 928. https://doi.org/10.3390/app8060928
