Effect of Carrier Localization on Recombination Processes and Efficiency of InGaN-Based LEDs Operating in the “Green Gap”
Abstract
1. Introduction
2. Model
2.1. Radiative Recombination Coefficient
2.2. Auger Recombination Coefficient
2.3. Localization Energy
3. Results and Discussion
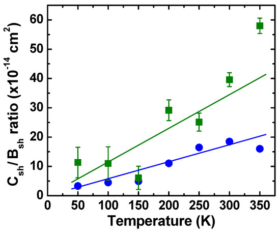
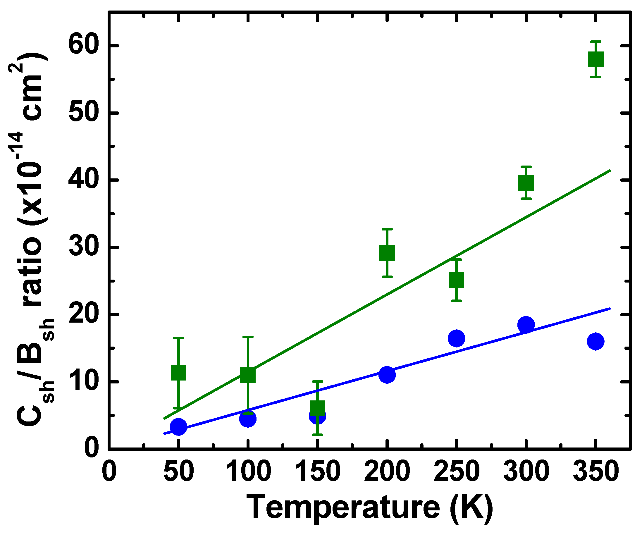
3.1. Recombination Coefficients
3.2. Efficiency of Polar and Nonpolar LEDs in the “Green Gap”
3.3. Model Limitations and Outlook for Future Studies
4. Conclusions
Acknowledgments
Conflicts of Interest
References
- Narukawa, Y.; Ichikawa, M.; Sanga, D.; Sano, M.; Mukai, T. White light emitting diodes with super-high luminous efficacy. J. Phys. D Appl. Phys. 2010, 43, 354002. [Google Scholar] [CrossRef]
- Hurni, C.A.; David, A.; Cich, M.J.; Aldaz, R.I.; Ellis, B.; Huang, K.; Tyagi, A.; DeLille, R.A.; Craven, M.D.; Steranka, F.M.; et al. Bulk GaN flip-chip light-emitting diodes with optimized efficiency for high-power operation. Appl. Phys. Lett. 2015, 106, 031101. [Google Scholar] [CrossRef]
- Avrutin, V.; Ahmad Hafis, S.; Fan, Z.; Ösgür, Ü.; Morkoç, H.; Matulionis, A. InGaN light-emitting diodes: Efficiency-limiting processes at high injection. J. Vac. Sci. Technol. A 2013, 31, 050809. [Google Scholar] [CrossRef]
- Cho, J.; Schubert, E.F.; Kim, J.K. Efficiency droop in light-emitting diodes: Challengies and counter-measures. Laser Photonics Rev. 2013, 7, 408–421. [Google Scholar] [CrossRef]
- Verzellesi, G.; Saguatti, D.; Meneghini, M.; Bertazzi, F.; Goano, M.; Meneghesso, G.; Zanoni, E. Efficiency droop in InGaN/GaN blue light-emitting diodes: Physical mechanisms and remedies. J. Appl. Phys. 2013, 114, 071101. [Google Scholar] [CrossRef]
- Weisbuch, C.; Piccardo, M.; Martinelli, L.; Iveland, J.; Peretti, J.; Speck, J.S. The efficiency challenge of nitride light-emitting diodes for lighting. Phys. Status Solidi A 2015, 212, 899–913. [Google Scholar] [CrossRef]
- Peter, M.; Laubsch, A.; Bergbauer, W.; Meyer, T.; Sabathil, M.; Baur, J.; Hahn, B. New developments in green LEDs. Phys. Status Solidi A 2009, 206, 1125–1129. [Google Scholar] [CrossRef]
- Alhassan, A.I.; Farrel, R.M.; Saifaddin, B.; Mughal, A.; Wu, F.; DenBaars, S.P.; Nakamura, S.; Speck, J.S. High luminous efficacy green light-emitting diodes with AlGaN cap layer. Opt. Express 2016, 24, 17868–17873. [Google Scholar] [CrossRef] [PubMed]
- Saito, S.; Hashimoto, R.; Hwang, J.; Nunoue, S. InGaN Light-Emitting Diodes on c-Face Sapphire Substrates in Green Gap Spectral Range. Appl. Phys. Express 2013, 6, 111004. [Google Scholar] [CrossRef]
- Karpov, S.Y. Light-emitting diodes for solid-state lighting: Searching room for improvements. Proc. SPIE 2016, 9768, 97680C. [Google Scholar] [CrossRef]
- Sizov, D.; Bhat, R. Gallium Indium Nitride-Based Green Lasers. J. Lightw. Technol. 2012, 30, 679–699. [Google Scholar] [CrossRef]
- Takagi, S.; Ueno, M.; Katayama, K.; Ikegami, T.; Nakamura, T.; Yanashima, K. High-Power and High-Efficiency True Green Laser Diodes. SEI Tech. Rev. 2013, 77, 102–106. [Google Scholar]
- Langer, T.; Jönen, H.; Kruse, A.; Bremers, H.; Rossow, U.; Hangleiter, A. Strain-induced defects as nonradiative recombination centers in green-emitting GaInN/GaN quantum well structures. Appl. Phys. Lett. 2013, 103, 022108. [Google Scholar] [CrossRef]
- Lobanova, A.V.; Kolesnikova, A.L.; Romanov, A.E.; Karpov, S.Y.; Rudinsky, M.E.; Yakovlev, E.V. Mechanism of stress relaxation in (0001)InGaN/GaN via formation of V-shaped dislocation half-loops. Appl. Phys. Lett. 2013, 103, 152106. [Google Scholar] [CrossRef]
- Hammersley, S.; Kappers, M.J.; Massabuau, F.C.P.; Sahonta, S.L.; Dawson, P.; Oliver, R.A.; Humphreys, C.J. Effects of quantum well growth temperature on the recombination efficiency of InGaN/GaN multiple quantum wells that emit in the green and blue spectral regions. Appl. Phys. Lett. 2015, 107, 132106. [Google Scholar] [CrossRef]
- Shockley, W.; Read, W.T., Jr. Statistics of the Recombination of Holes and Electrons. Phys. Rev. 1952, 87, 835–842. [Google Scholar] [CrossRef]
- Dai, Q.; Schubert, M.F.; Kim, M.H.; Kim, J.K.; Schubert, E.F.; Koleske, D.D.; Crawford, M.H.; Lee, S.R.; Fischer, A.J.; Thaler, G.; et al. Internal quantum efficiency and nonradiative recombination coefficient of GaInN/GaN multiple quantum wells with different dislocation densities. Appl. Phys. Lett. 2009, 94, 111109. [Google Scholar] [CrossRef]
- Eliseev, P.G.; Osin’ski, M.; Li, H.; Akimova, I.V. Recombination balance in green-light-emitting GaN/InGaN/AlGaN quantum wells. Appl. Phys. Lett. 1999, 75, 3838–3840. [Google Scholar] [CrossRef]
- David, A.; Grundmann, M.J. Influence of polarization fields on carrier lifetime and recombination rates in InGaN-based light-emitting diodes. Appl. Phys. Lett. 2010, 97, 033501. [Google Scholar] [CrossRef]
- Schiavon, D.; Binder, M.; Peter, M.; Galler, B.; Drechsel, P.; Scholz, F. Wavelength-dependent determination of the recombination rate coefficients in single-quantum-well GaInN/GaN light emitting diodes. Phys. Status Solidi B 2013, 250, 283–290. [Google Scholar] [CrossRef]
- Schiavon, D. Analysis of the Green Gap Problem in III-Nitride LEDs. Ph.D. Thesis, University of Ulm, Ulm, Germany, 2014. [Google Scholar]
- Nippert, F.; Karpov, S.Y.; Callsen, G.; Galler, B.; Kure, T.; Nenstiel, C.; Wagner, M.R.; Straßburg, M.; Lugauer, H.J.; Hoffmann, A. Temperature-dependent recombination coefficients in InGaN light-emitting diodes: Hole localization, Auger processes, and the green gap. Appl. Phys. Lett. 2016, 109, 161103. [Google Scholar] [CrossRef]
- David, A.; Young, N.G.; Hurni, C.A.; Craven, M.D. All-optical measurements of carrier dynamics in bulk-GaN LEDs: Beyond the ABC approximation. Appl. Phys. Lett. 2017, 110, 253504. [Google Scholar] [CrossRef]
- David, A.; Hurni, C.A.; Young, N.G.; Craven, M.D. Field-assisted Shockley-Read-Hall recombinations in III-Nitride quantum wells. 2017, 111, 233501. [Google Scholar] [CrossRef]
- Crawford, M.H. LEDs for Solid-State Lighting: Performance Challenges and Recent Advances. IEEE J. Sel. Top. Quantum Electron. 2009, 15, 1028–1040. [Google Scholar] [CrossRef]
- Vaxenburg, R.; Rodina, A.; Lifshitz, E.; Efros, A.L. The role of polarization fields in Auger-induced efficiency droop in nitride-based light-emitting diodes. Appl. Phys. Lett. 2013, 103, 221111. [Google Scholar] [CrossRef]
- DenBaars, S.P.; Feezell, D.; Kelchner, K.; Pimputkar, S.; Pan, C.-C.; Yen, C.-C.; Tanaka, S.; Zhao, Y.; Pfaff, N.; Farrell, R.; et al. Development of gallium-nitride-based light-emitting diodes (LEDs) and laser diodes for energy-efficient lighting and displays. Acta Mater. 2013, 61, 945–951. [Google Scholar] [CrossRef]
- Pan, C.-C.; Tanaka, S.; Wu, F.; Zhao, Y.; Speck, J.S.; Nakamura, S.; DenBaars, S.P.; Feezell, D. High-Power, Low-Efficiency-Droop Semipolar (20) Single-Quantum-Well Blue Light-Emitting Diodes. Appl. Phys. Express 2012, 5, 062103. [Google Scholar] [CrossRef]
- Pristovsek, M.; Humphreys, C.J.; Bauer, S.; Knab, M.; Thonke, K.; Kozlowski, G.; O’Mahony, D.; Maaskant, P.; Corbett, B. Comparative study of (0001) and (112) InGaN based light emitting diodes. Jpn. J. Appl. Phys. 2016, 55, 05FJ10. [Google Scholar] [CrossRef]
- Auf der Maur, M.; Pecchia, A.; Penazzi, G.; Rodrigues, W.; Di Carlo, A. Efficiency Drop in Green InGaN/GaN Light Emitting Diodes: The Role of Random Alloy Fluctuations. Phys. Rev. Lett. 2016, 116, 027401. [Google Scholar] [CrossRef] [PubMed]
- Karpov, S.Y. Carrier localization in InGaN by composition fluctuations: Implication to “green gap”. Photonics Res. 2017, 5, A7. [Google Scholar] [CrossRef]
- Morel, A.; Lefebre, P.; Kalliakos, S.; Taliercio, T.; Bretagnon, T.; Gil, B. Donor-acceptor-like behaviour of electron-hole pair recombination in low-dimensional (Ga,In)N/GaN systems. Phys. Rev. B 2003, 68, 045331. [Google Scholar] [CrossRef]
- Reznitsky, A.; Klochikhin, A.; Permogorov, S.; Tenishev, L.; Lundin, W.; Usikov, A.; Schmidt, M.; Klingshirn, C. Localization of Excitons at Small in Clusters in Diluted InGaN Solid Solutions. Phys. Status Solidi C 2002, 280–283. [Google Scholar] [CrossRef]
- Bellaiche, L.; Mattila, T.; Wang, L.-W.; Wei, S.-H.; Zunger, A. Resonant hole localization and anomalous optical bowing in InGaN alloys. Appl. Phys. Lett. 1999, 74, 1842–1844. [Google Scholar] [CrossRef]
- Kent, P.R.C.; Zunger, A. Carrier localization and the origin of luminescence in cubic InGaN alloys. Appl. Phys. Lett. 2001, 79, 1977–1979. [Google Scholar] [CrossRef]
- Rigutti, L.; Mancini, L.; Lefebvre, W.; Houard, J.; Hernàndez-Maldonado, D.; Di Russo, E.; Giraud, E.; Butté, R.; Carlin, J.-F.; Grandjean, N.; et al. Statistical nanoscale study of localized radiative transitions in GaN/AlGaN quantum wells and AlGaN epitaxial layers. Semicond. Sci. Technol. 2016, 31, 095009. [Google Scholar] [CrossRef]
- Chuang, S.L.; Chang, C.S. k·p method for strained wurtzite semiconductors. Phys. Rev. B 1996, 54, 2491–2504. [Google Scholar] [CrossRef]
- Lasher, G.; Stern, F. Spontaneous and Stimulated recombination Radiation in Semiconductors. Phys. Rev. 1964, 133, A553–A563. [Google Scholar] [CrossRef]
- Levanyuk, A.P.; Osipov, V.V. Edge luminescence of direct-bandgap semiconductors. Sov. Phys. Uspekhi 1981, 24, 187–215. [Google Scholar] [CrossRef]
- Abakumov, V.N.; Perel, V.I.; Yassievich, I.N. Nonradiative Recombination in Semiconductors; Elsevier Science Publishers B. V.: Amsterdam, The Netherlands, 1991; pp. 227–238. [Google Scholar]
- Esipov, S.E.; Levinson, I.B. Electron temperature in a two-dimensional gas: Energy losses to optical phonons. Sov. Phys. JETF 1986, 63, 191–199. [Google Scholar]
- Galler, B.; Lugauer, H.-J.; Binder, M.; Hollweck, R.; Folwill, Y.; Nirschl, A.; Gomez-Iglesias, A.; Hahn, B.; Wagner, J.; Sabathil, M. Experimental Determination of the Dominant Type of Auger Recombination in InGaN Quantum Wells. Appl. Phys. Express 2013, 6, 112101. [Google Scholar] [CrossRef]
- Efros, A.L.; Raikh, M.E. Effect of Composition Disorder on the Electronic Properties of Semiconducting Mixed Crystals. In Optical Properties of Mixed Crystals; Elliott, R.J., Ipatova, I.P., Eds.; Elsevier Science Publishers B. V.: Amsterdam, The Netherlands, 1988; pp. 135–173. [Google Scholar]
- Karpov, S.Y.; Binder, M.; Galler, B.; Schiavon, D. Spectral dependence of light extraction efficiency of high-power III-nitride light-emitting diodes. Phys. Status Solidi RRL 2015, 9, 312–316. [Google Scholar] [CrossRef]
- SiLENSe—Software Tool for Light Emitting Diode (LED) Bandgap Engineering. Available online: http://www.str-soft.com/products/SiLENSe/index.htm (accessed on 4 March 2018).
- Watson-Parris, D.; Godfrey, M.J.; Dawson, P.; Oliver, R.A.; Galtrey, M.J.; Kappers, M.J.; Humphreys, C.J. Carrier localization mechanism in InxGa1−xN/GaN quantum wells. Phys. Rev. B 2011, 83, 115321. [Google Scholar] [CrossRef]
- Tanner, D.P.; Caro, M.A.; O’Reilly, E.P.; Schulz, S. Atomistic analysis of the electronic structure of m-plane InGaN/GaN quantum wells: Carrier localization effects in ground and excited states due to random alloy fluctuations. Phys. Status Solidi B 2016, 253, 853–860. [Google Scholar] [CrossRef]
- Jones, C.M.; Teng, C.-H.; Yan, Q.; Ku, P.-C.; Kioupakis, E. Impact of carrier localization on recombination in InGaN quantum wells and the efficiency of nitride light-emitting diodes: Insight from theory and numerical simulations. Appl. Phys. Lett. 2017, 111, 113501. [Google Scholar] [CrossRef]
- Shahmohammadi, M.; Liu, W.; Rossbach, G.; Lahourcade, L.; Dussaigne, A.; Bougerol, C.; Butté, R.; Grandjean, N.; Deveaud, B.; Jacopin, G. Enhancement of Auger recombination induced by carrier localization in InGaN/GaN quantum wells. Phys. Rev. B 2017, 95, 125314. [Google Scholar] [CrossRef]
- Tan, C.-K.; Sun, W.; Wierer, J.J., Jr.; Tansu, N. Effect of interface roughness on Auger recombination in semiconductors quantum wells. AIP Adv. 2017, 7, 035212. [Google Scholar] [CrossRef]
- Funato, M.; Kawakami, Y. Excitonic properties of polar, semipolar, and nonpolar InGaN/GaN strained quantum wells with potential fluctuations. J. Appl. Phys. 2008, 103, 093501. [Google Scholar] [CrossRef]
- Nippert, F. (Technische Universität Berlin, Berlin, Germany). Personal communication, 2018.





© 2018 by the author. Licensee MDPI, Basel, Switzerland. This article is an open access article distributed under the terms and conditions of the Creative Commons Attribution (CC BY) license (http://creativecommons.org/licenses/by/4.0/).
Share and Cite
Karpov, S.Y. Effect of Carrier Localization on Recombination Processes and Efficiency of InGaN-Based LEDs Operating in the “Green Gap”. Appl. Sci. 2018, 8, 818. https://doi.org/10.3390/app8050818
Karpov SY. Effect of Carrier Localization on Recombination Processes and Efficiency of InGaN-Based LEDs Operating in the “Green Gap”. Applied Sciences. 2018; 8(5):818. https://doi.org/10.3390/app8050818
Chicago/Turabian StyleKarpov, Sergey Yu. 2018. "Effect of Carrier Localization on Recombination Processes and Efficiency of InGaN-Based LEDs Operating in the “Green Gap”" Applied Sciences 8, no. 5: 818. https://doi.org/10.3390/app8050818
APA StyleKarpov, S. Y. (2018). Effect of Carrier Localization on Recombination Processes and Efficiency of InGaN-Based LEDs Operating in the “Green Gap”. Applied Sciences, 8(5), 818. https://doi.org/10.3390/app8050818

