Residual Axial Bearing Capacity of Concrete-Filled Circular Steel Tubular Columns (CFCSTCs) after Transverse Impact
Abstract
:1. Introduction
2. Experimental Investigation of Column
2.1. Test Samples
- The first part “C159×6” means that the sample is concrete-filled circular steel tubular columns with the nominal diameter (D) of 159 mm and thickness (t) of 6 mm.
- The second part “R26.5” indicates that the ratio of diameter-thickness (D/t) of the sample is 26.5.
- The following notation “H0” demonstrates that the height of the drop-hammer (H) is 0 m.
2.2. Test Program
2.2.1. Transverse Impact Program
2.2.2. Axial Compression Program
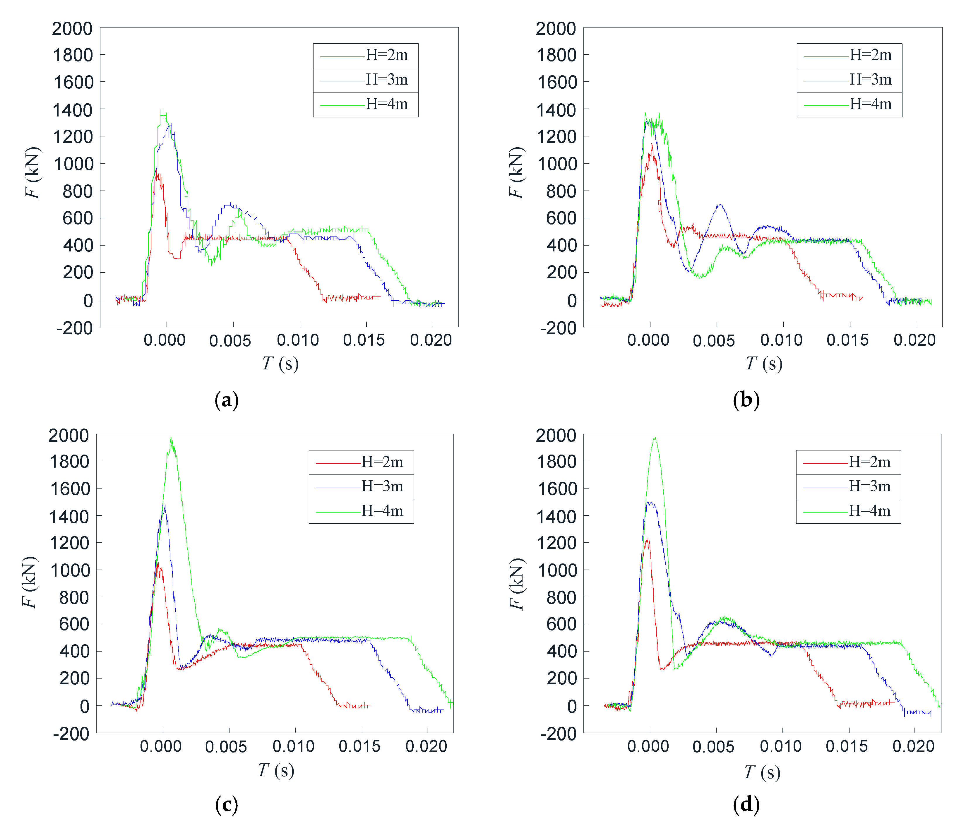
2.3. Transverse Impact Test Results and Discussions
2.4. Axial Compression Test Results and Discussions
2.4.1. Basic Behavior
2.4.2. Failure Modes
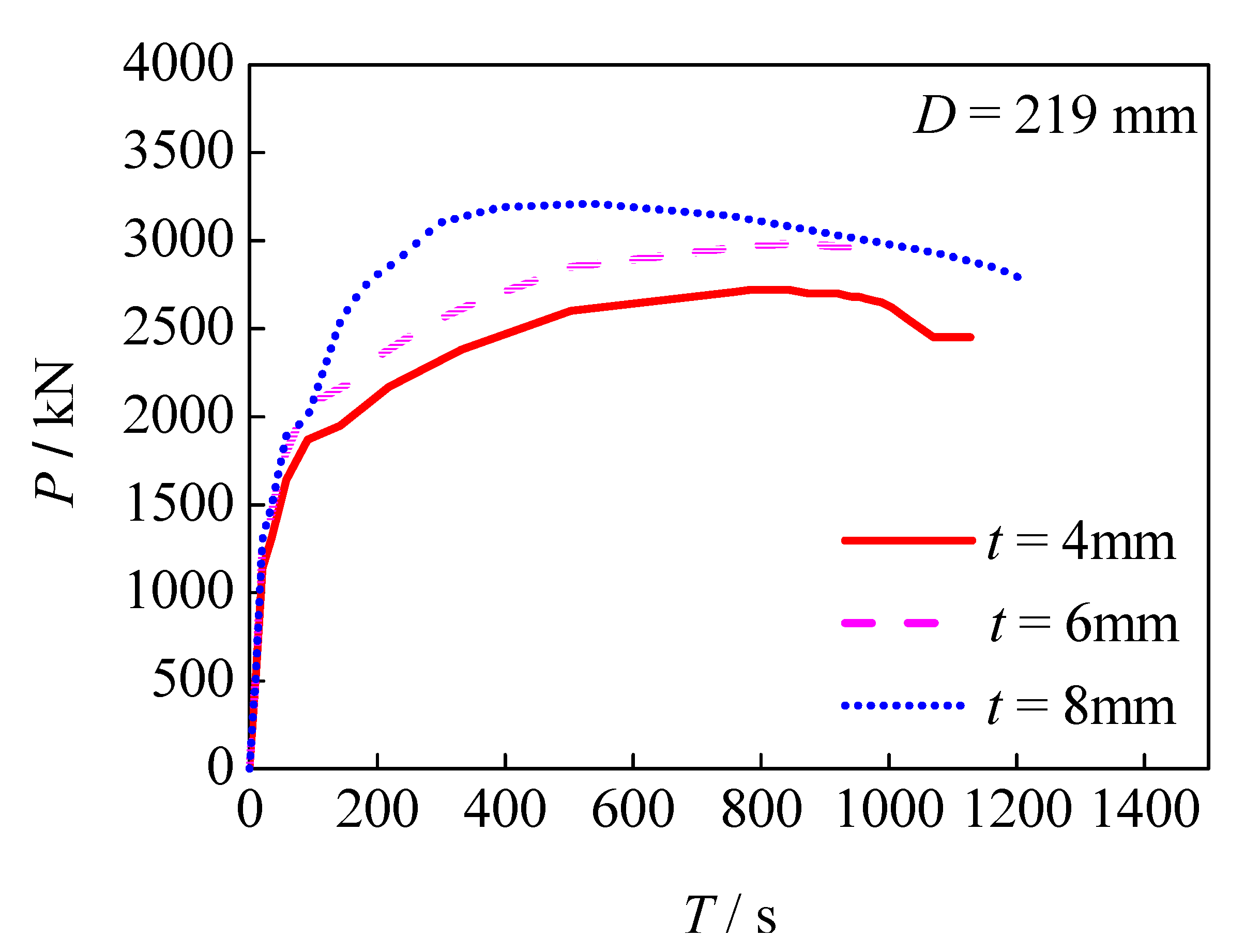
2.4.3. Load-Displacement Curves
2.4.4. Load-Longitudinal Strain Curves
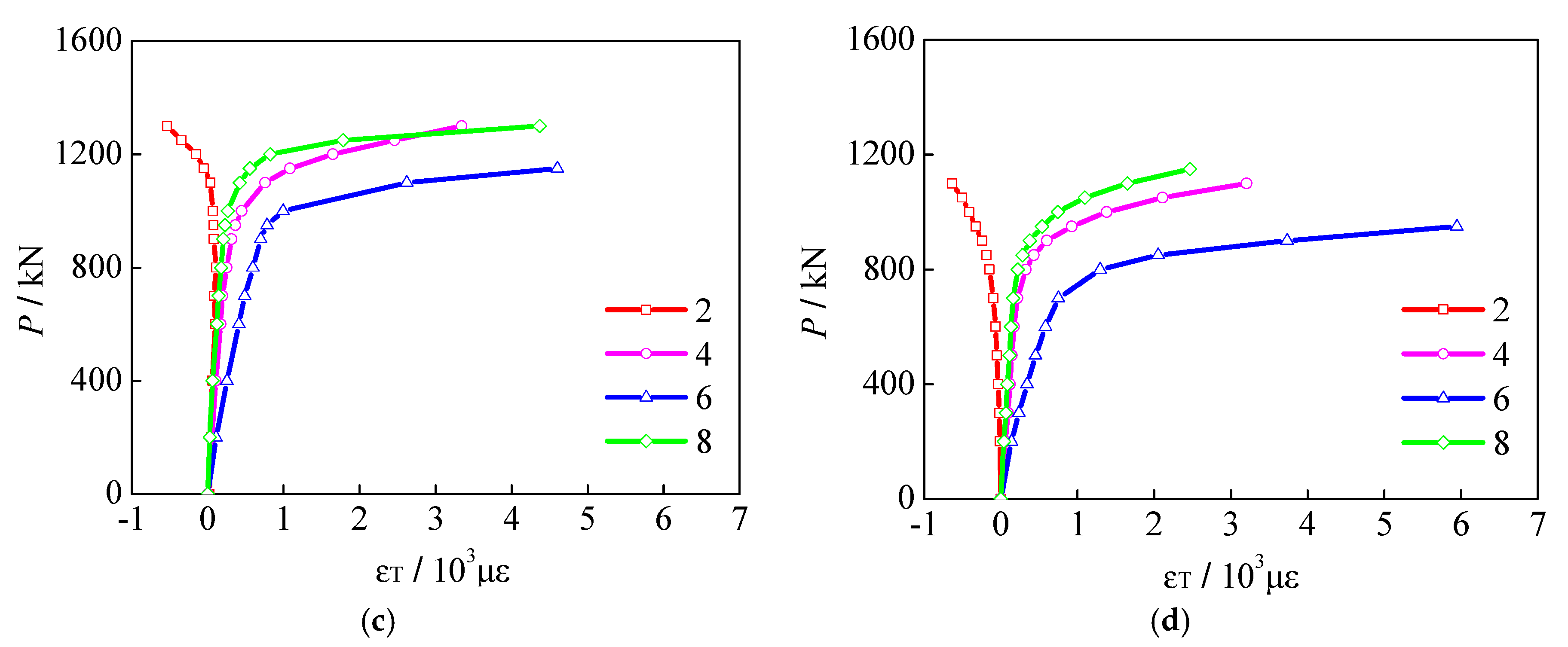
2.4.5. Load-Transverse Strain Curves
3. Finite Element Analysis (FEA) of Column
3.1. Detail of the Column Model
3.1.1. Finite Element Type and Mesh
3.1.2. Material Model
3.1.3. Concrete to Steel Interfaces
3.1.4. Boundary Conditions and Load Application
3.2. Verification of the FEA Model
3.3. Parametric Study
4. Conclusions and Future Work
- (1)
- Failure mode of CFCSTCs under axial compression can be divided into two serials. Mode 1 is that local buckling occurs at the impact location; Mode 2 is that local buckling happens at the upper zone and underside zone of mid-span. Mode 1 most likely occurs on samples with bigger H, while Mode 2 easily occurs on samples with lower H or with bigger D/t ratio under the same t or with lower D/t ratio under the same D.
- (2)
- The transverse impact height of drop-hammer (H) and D/t ratio have noticeable effects on the axial compression performance of CFCSTCs. Bearing capacity (Pu) decreases with the increasing H. For samples with same D and t, the highest Pu is obtained by the undamaged sample, while the lowest Pu is achieved with the sample with H of 4 m. The maximum reduction of Pu reaches about 35%, compared with that of undamaged columns. The influence of H on Pu is obviously smaller with increasing D or t. Moreover, the residual mid-span lateral displacement (Δr) increases with increasing H. In addition, under the same H, the Pu decreases with increasing D/t ratio under the same D, while decreases with decreasing D/t ratio under the same t; conversely, Δr increases with increasing D/t ratio under the same D, but decreases with increasing D/t ratio under the same t.
- (3)
- For P-Δv curves of CFCSTCs under axial compression, both the Pu and the vertical displacement corresponding to Pu increase with the increasing D, whereas the influence of H on the P-Δv curves decrease significantly with the increasing D. Furthermore, with the increasing t, both the Pu and the initial slope of the P-Δv curve increase, while the vertical displacement corresponding to Pu decreases.
- (4)
- A three-dimensional FEA model is proposed to predict the response of CFCSTC under axial compression. A reasonably good agreement is achieved between the predicted and the experimental results in terms of deformation and stress distribution.
Author Contribution
Acknowledgments
Conflicts of Interest
References
- Hu, H.T.; Huang, C.S.; Wu, M.H.; Wu, Y.M. Nonlinear analysis of axially loaded concrete-filled tube columns with confinement effect. J. Struct. Eng. 2003, 129, 1322–1329. [Google Scholar] [CrossRef]
- Giakoumelis, G.; Lam, D. Axial capacity of circular concrete-filled tube columns. J. Constr. Steel Res. 2004, 60, 1049–1068. [Google Scholar] [CrossRef]
- Sakino, K.; Nakahara, H.; Morino, S.; Nishiyama, I. Behavior of centrally loaded concrete-filled steel-tube short columns. J. Struct. Eng. 2004, 130, 180–188. [Google Scholar] [CrossRef]
- Lu, Y.; Li, N.; Li, S. Behavior of FRP-confined concrete-filled steel tube columns. Polymers 2014, 6, 1333–1349. [Google Scholar] [CrossRef]
- Krishan, A.L.; Troshkina, E.A.; Chernyshova, E.P. Efficient design of concrete filled steel tube columns. Procedia Eng. 2016, 150, 1709–1714. [Google Scholar] [CrossRef]
- Schneider, S.P. Axially loaded concrete-filled steel tubes. J. Struct. Eng. 1998, 124, 1125–1138. [Google Scholar] [CrossRef]
- O'Shea, M.D.; Bridge, R.Q. Design of circular thin-walled concrete filled steel tubes. J. Struct. Eng. 2000, 126, 1295–1303. [Google Scholar] [CrossRef]
- Varma, A.H.; Ricles, J.M.; Sause, R.; Lu, L.W. Experimental behavior of high strength square concrete-filled steel tube beam-columns. J. Struct. Eng. 2002, 128, 309–318. [Google Scholar] [CrossRef]
- Xu, B.; Zhang, T.; Song, G.; Gu, H. Active interface debonding detection of a concrete-filled steel tube with piezoelectric technologies using wavelet packet analysis. Mech. Syst. Signal Process. 2013, 36, 7–17. [Google Scholar] [CrossRef]
- Du, G.F.; Bie, X.M.; Li, Z.; Guan, W.Q. Study on constitutive model of shear performance in panel zone of connections composed of CFSSTCs and steel-concrete composite beams with external diaphragms. Eng. Struct. 2018, 155, 178–191. [Google Scholar] [CrossRef]
- Ozbakkaloglu, T.; Akin, E. Behavior of FRP-confined normal-and high-strength concrete under cyclic axial compression. J. Compos. Constr. 2012, 16, 451–463. [Google Scholar] [CrossRef]
- Ozbakkaloglu, T. Behavior of square fiber reinforced polymer–high-strength concrete–steel double-skin tubular columns under combined axial compression and reversed-cyclic lateral loading. Eng. Struct. 2016, 118, 307–319. [Google Scholar]
- Huang, L.; Sun, X.; Yan, L.; Zhu, D. Compressive behavior of concrete confined with GFRP tubes and steel spirals. Polymers 2015, 7, 851–875. [Google Scholar] [CrossRef]
- Abdelkarim, O.I.; ElGawady, M.A. Concrete-filled-large deformable FRP tubular columns under axial compressive loading. Fibers 2015, 3, 432–449. [Google Scholar] [CrossRef]
- Luo, M.; Li, W.; Hei, C.; Song, G. Concrete infill monitoring in concrete-filled FRP tubes using a PZT-based ultrasonic time-of-flight method. Sensors 2016, 16, 2083. [Google Scholar] [CrossRef] [PubMed]
- Xu, Y.; Luo, M.; Chuang, H.; Song, G. Quantitative evaluation of compactness of concrete filled fiber-reinforced-polymer tubes (CFFTs) using piezoceramic transducers and time difference of arrival. Smart Mate. Struct. 2018, 27, 035023. [Google Scholar] [CrossRef]
- Deng, Y.H.; Tuan, C.Y. Design of concrete filled circular steel tubes under lateral impact. ACI Struct. J. 2013, 110, 691–701. [Google Scholar]
- Hu, X.; Zhu, H.; Wang, D. A study of concrete slab damage detection based on the electromechanical impedance method. Sensors 2014, 14, 19897–19909. [Google Scholar] [CrossRef] [PubMed]
- Kong, Q.; Robert, R.H.; Silva, P.; Mo, Y.L. Cyclic crack monitoring of a reinforced concrete column under simulated pseudo-dynamic loading using piezoceramic-based smart aggregates. Appl. Sci. 2016, 6, 341. [Google Scholar] [CrossRef]
- Xu, J.; Hao, J.; Li, H.; Luo, M.; Guo, W.; Li, W. Experimental damage identification of a model reticulated shell. Appl. Sci. 2017, 7, 362. [Google Scholar] [CrossRef]
- Du, G.; Zhang, J.; Zhang, J.; Song, G. Experimental study on stress monitoring of sand-filled steel tube during impact using piezoceramic smart aggregates. Sensors 2017, 17, 1930. [Google Scholar] [CrossRef] [PubMed]
- Yin, H.; Wang, T.; Yang, D.; Liu, S.; Shao, J.; Li, Y. A smart washer for bolt looseness monitoring based on piezoelectric active sensing method. Appl. Sci. 2016, 6, 320. [Google Scholar] [CrossRef]
- Song, G.; Wang, C.; Wang, B. Structural health monitoring (SHM) of civil structures. Appl. Sci. 2017, 7, 789. [Google Scholar] [CrossRef]
- Yan, S.; Ma, H.; Li, P.; Song, G.; Wu, J. Development and application of a structural health monitoring system based on wireless smart aggregates. Sensors 2017, 17, 1641. [Google Scholar] [CrossRef] [PubMed]
- Han, L.H.; Huang, H.; Tao, Z.; Zhao, X.L. Concrete-filled double skin steel tubular (CFDST) beam-columns subjected to cyclic bending. Eng. Struct. 2006, 28, 1698–1714. [Google Scholar] [CrossRef]
- Zhou, F.; Xu, W.C. Cyclic loading tests on concrete-filled double-skin (SHS outer and CHS inner) stainless steel tubular beam-columns. Eng. Struct. 2016, 127, 304–318. [Google Scholar] [CrossRef]
- Wang, R.; Han, L.H.; Zhao, X.L.; Rasmussen, K.J.R. Experimental behavior of concrete filled double steel tubular (CFDST) members under low velocity drop weight impact. Thin-Walled Struct. 2015, 97, 279–295. [Google Scholar] [CrossRef]
- Aghdamy, S.; Thambiratnam, D.P.; Dhanasekar, M.; Saiedi, S. Effects of structure-related parameters on the response of concrete- filled double-skin steel tube columns to lateral impact. Thin-Walled Struct. 2016, 108, 351–368. [Google Scholar] [CrossRef]
- Zeng, L.; Xiao, Y.; Chen, Y.; Jin, S.; Xie, W.; Li, X. Seismic damage evaluation of concrete-encased steel frame-reinforced concrete core tube buildings based on dynamic characteristics. Appl. Sci. 2017, 7, 314. [Google Scholar] [CrossRef]
- Chen, Z.Y.; Luo, J.Q.; Pan, X.W. The Properties of Concrete-Filled Steel Tube as Members of Protective Structure; The Earthquake Resistant and Explosion Relief Lab at Tsinghua University: Beijing, China, 1986. (In Chinese) [Google Scholar]
- Bambach, M.R. Design of hollow and concrete filled steel and stainless steel tubular columns for transverse impact loads. Thin-Walled Struct. 2011, 49, 1251–1260. [Google Scholar] [CrossRef]
- Bambach, M.R.; Jama, H.; Zhao, X.L.; Grzebieta, R.H. Hollow and concrete filled steel hollow sections under transverse impact loads. Eng. Struct. 2008, 30, 2859–2870. [Google Scholar] [CrossRef]
- Wang, R.; Han, L.H.; Hou, C.C. Behavior of concrete filled steel tubular (CFST) members under lateral impact: Experiment and FEA model. J. Constr. Steel Res. 2013, 80, 188–201. [Google Scholar] [CrossRef]
- Wang, R.; Han, L.H.; Tao, Z. Behavior of FRP-concrete-steel double skin tubular members under lateral impact: Experimental study. Thin-Walled Struct. 2015, 95, 363–373. [Google Scholar] [CrossRef]
- Wang, R.; Han, L.H.; Zhao, X.L.; Rasmussen, K.J.R. Analytical behavior of concrete filled double steel tubular (CFDST) members under lateral impact. Thin-Walled Struct. 2016, 101, 130–140. [Google Scholar] [CrossRef]
- Han, L.H.; Hou, C.C.; Zhao, X.L.; Rasmussen, K.J.R. Behaviour of high-strength concrete filled steel tubes under transverse impact loading. J. Constr. Steel Res. 2014, 92, 25–39. [Google Scholar] [CrossRef]
- Alam, M.I.; Fawzia, S.; Zhao, X.L. Numerical investigation of CFRP strengthened full scale CFST columns subjected to vehicular impact. Eng. Struct. 2016, 126, 292–310. [Google Scholar] [CrossRef]
- Alam, M.I.; Fawzia, S.; Zhao, X.L.; Remennikov, A.M.; Bambach, M.R.; Elchalakani, M. Performance and dynamic behaviour of FRP strengthened CFST members subjected to lateral impact. Eng. Struct. 2017, 147, 160–176. [Google Scholar] [CrossRef]
- Yang, Y.F.; Zhang, Z.C.; Fu, F. Experimental and numerical study on square RACFST members under lateral impact loading. J. Constr. Steel Res. 2015, 111, 43–56. [Google Scholar] [CrossRef]
- Shakir, A.S.; Guan, Z.W.; Jones, S.W. Lateral impact response of the concrete filled steel tube columns with and without CFRP strengthening. Eng. Struct. 2016, 116, 148–162. [Google Scholar] [CrossRef]
- Chen, Y.; Wan, J.; Wang, K.; Han, S. Residual axial bearing capacity of square steel tubes after lateral impact. J. Constr. Steel Res. 2017, 137, 325–341. [Google Scholar] [CrossRef]
- Wan, J.; Chen, Y.; Wang, K.; Han, S. Residual strength of CHS short steel columns after lateral impact. Thin-Walled Struct. 2017, 118, 23–36. [Google Scholar] [CrossRef]
- ABAQUS. ABAQUS Standard User’s Manual; Version 6.16; Dassault Systèmes Corp.: Providence, RI, USA, 2016. [Google Scholar]
- Tao, Z.; Wang, Z.B.; Yu, Q. Finite element modelling of concrete-filled steel tube columns under axial compression. J. Constr. Steel Res. 2013, 89, 121–131. [Google Scholar] [CrossRef]
- Classen, M.; Stark, A.; Hegger, J. Steel-HSC composite beams with partial shear connection and miniaturized limited-slip-capacity connectors. Steel Constr. 2018, 11, 94–103. [Google Scholar] [CrossRef]
- ACI 318 Committee. Building Code Requirements for Structural Concrete; American Concrete Institute: Farmington Hills, MI, USA, 2014. [Google Scholar]
- Birtel, V.; Mark, P. Parameterised finite element modelling of RC beam shear failure. In Proceedings of the 2006 ABAQUS Users’ Conference, Cambridge, MA, USA, 23–25 May 2006; pp. 95–108. [Google Scholar]
- Rabbat, B.G.; Russell, H.G. Friction coefficient of steel on concrete or grout. J. Struct. Eng. 1985, 111, 505–515. [Google Scholar] [CrossRef]
- Classen, M.; Herbrand, M.; Kueres, D.; Hegger, J. Derivation of design rules for innovative shear connectors in steel concrete composites by systematic use of nonlinear Finite Element Analysis (FEA). Struct. Concr. 2015, 4, 646–655. [Google Scholar]
- Gallwoszus, J. Concrete fatigue in composite dowels. Struct. Concr. 2016, 17, 63–73. [Google Scholar]
- Aghdamy, S.; Thambiratnam, D.P.; Dhanasekar, M.; Saiedi, S. Computer analysis of impact behavior of concrete filled steel tube columns. Adv. Eng. Softw. 2015, 89, 52–63. [Google Scholar] [CrossRef]

















| Sample | D × t (mm) | L (mm) | D/t | H (m) | Δo (mm) | Δr (mm) | Pu (kN) |
|---|---|---|---|---|---|---|---|
| C159×6-R26.5-H0 | 159 × 6 | 2250 | 26.5 | 0 | 0 | 18.5 | 1747.2 |
| C159×6-R26.5-H2 | 159 × 6 | 2250 | 26.5 | 2 | 29 | 71.7 | 1433.3 |
| C159×6-R26.5-H3 | 159 × 6 | 2250 | 26.5 | 3 | 41 | 88.5 | 1343.2 |
| C159×6-R26.5-H4 | 159 × 6 | 2250 | 26.5 | 4 | 52 | 102.2 | 1134.8 |
| C159×8-R19.9-H0 | 159 × 8 | 2250 | 19.9 | 0 | 0 | 16.8 | 2168.6 |
| C159×8-R19.9-H2 | 159 × 8 | 2250 | 19.9 | 2 | 15.5 | 65.6 | 1977.8 |
| C159×8-R19.9-H3 | 159 × 8 | 2250 | 19.9 | 3 | 27.8 | 82.4 | 1656.6 |
| C159×8-R19.9-H4 | 159 × 8 | 2250 | 19.9 | 4 | 46 | 99.8 | 1541.6 |
| C219×6-R36.5-H0 | 219 × 6 | 2250 | 36.5 | 0 | 0 | 7.8 | 3242.2 |
| C219×6-R36.5-H2 | 219 × 6 | 2250 | 36.5 | 2 | 12.5 | 52.4 | 3053.8 |
| C219×6-R36.5-H3 | 219 × 6 | 2250 | 36.5 | 3 | 16.1 | 63.6 | 2998.8 |
| C219×6-R36.5-H4 | 219 × 6 | 2250 | 36.5 | 4 | 28.2 | 74.2 | 2827.6 |
| C219×8-R27.4-H0 | 219 × 8 | 2250 | 27.4 | 0 | 0 | 5.8 | 3691.2 |
| C219×8-R27.4-H2 | 219 × 8 | 2250 | 27.4 | 2 | 10.8 | 50.7 | 3689.2 |
| C219×8-R27.4-H3 | 219 × 8 | 2250 | 27.4 | 3 | 13.4 | 58.5 | 3598.2 |
| C219×8-R27.4-H4 | 219 × 8 | 2250 | 27.4 | 4 | 17 | 64.6 | 3551.6 |
| D × t (mm) | fcu (N/mm2) | fy (N/mm2) | Es (N/mm2) |
|---|---|---|---|
| 159 × 6 | 31.2 | 294.8 | 2.06 × 105 |
| 159 × 8 | 31.2 | 291.2 | 2.09 × 105 |
| 219 × 6 | 31.2 | 294.8 | 2.06 × 105 |
| 219 × 8 | 31.2 | 291.2 | 2.09 × 105 |
© 2018 by the authors. Licensee MDPI, Basel, Switzerland. This article is an open access article distributed under the terms and conditions of the Creative Commons Attribution (CC BY) license (http://creativecommons.org/licenses/by/4.0/).
Share and Cite
Du, G.; Andjelic, A.; Li, Z.; Lei, Z.; Bie, X. Residual Axial Bearing Capacity of Concrete-Filled Circular Steel Tubular Columns (CFCSTCs) after Transverse Impact. Appl. Sci. 2018, 8, 793. https://doi.org/10.3390/app8050793
Du G, Andjelic A, Li Z, Lei Z, Bie X. Residual Axial Bearing Capacity of Concrete-Filled Circular Steel Tubular Columns (CFCSTCs) after Transverse Impact. Applied Sciences. 2018; 8(5):793. https://doi.org/10.3390/app8050793
Chicago/Turabian StyleDu, Guofeng, Anja Andjelic, Zhao Li, Zhen Lei, and Xuemeng Bie. 2018. "Residual Axial Bearing Capacity of Concrete-Filled Circular Steel Tubular Columns (CFCSTCs) after Transverse Impact" Applied Sciences 8, no. 5: 793. https://doi.org/10.3390/app8050793
APA StyleDu, G., Andjelic, A., Li, Z., Lei, Z., & Bie, X. (2018). Residual Axial Bearing Capacity of Concrete-Filled Circular Steel Tubular Columns (CFCSTCs) after Transverse Impact. Applied Sciences, 8(5), 793. https://doi.org/10.3390/app8050793

