Application of RFID to Soil-Erosion Research
Abstract
:1. Introduction
2. Materials and Methods
3. Results
3.1. Experiment 1
3.2. Experiment 2
3.2.1. Survey of In-Situ Particles
3.2.2. Recording of Particles after the Rainfall Event
4. Analysis and Discussion
4.1. Experiment 1
4.2. Experiment 2
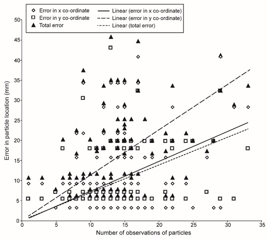
4.2.1. Survey of In-Situ Particles
4.2.2. Recording of Particles after the Rainfall Event
5. Conclusions
Author Contributions
Funding
Acknowledgments
Conflicts of Interest
References
- Pimentel, D.; Harvey, C.; Resosudarmo, P.; Sinclair, K.; Kurz, D.; McNair, M.; Crist, S.; Shpritz, L.; Fitton, L.; Saffouri, R.; et al. Environmental and economic costs of soil erosion and conservation benefits. Science 1995, 267, 1117–1123. [Google Scholar] [CrossRef] [PubMed]
- Trimble, S.W.; Cosson, P.U.S. Soil Erosion Rates—Myth and Reality. Science 2000, 289, 248–250. [Google Scholar] [CrossRef] [PubMed]
- Parsons, A.J.; Foster, I.D.L. What can we learn about soil erosion from the use of 137Cs? Earth Sci. Rev. 2011, 108, 101–113. [Google Scholar] [CrossRef]
- Evans, R.; Boardman, J. Assessment of water erosion in farmers’ fields in the UK. In Conserving Soil Resources: European Perspectives; Rickson, J., Ed.; CAB International: Wallingford, UK, 1994; pp. 13–24. [Google Scholar]
- Guzman Guzman, G.; Quinton, J.N.; Nearing, M.A.; Mabit, L.; Gómez, J.A. Sediment tracers in water erosion studies: Current approaches and challenges. J. Soils Sediments 2013, 13, 816–833. [Google Scholar] [CrossRef]
- Hardy Hardy, R.A.; James, M.R.; Pates, J.M.; Quinton, J.N. Using real time particle tracking to understand soil particle movements during rainfall events. Catena 2017, 150, 32–38. [Google Scholar] [CrossRef]
- Parsons, A.J.; Onda, Y.; Noguchi, T.; Patin, J.; Cooper, J.; Wainwright, J.; Sakai, N. The use of RFID in soil-erosion research. Earth Surf. Proc. Landf. 2014, 39, 1693–1696. [Google Scholar] [CrossRef]
- Cooper, J.R.; Wainwright, J.; Parsons, A.J.; Onda, Y.; Fukuwara, T.; Obana, E.; Kitchener, B.; Long, E.J.; Hargrave, G.H. A new approach for simulating the distribution of soil particles by water erosion: A marker-in-cell model. Water Res. Res. 2012, 117, F04027. [Google Scholar] [CrossRef]
- Barai, S.; Sau, B.; Mukhopadhyaya, K. Localization and mapping of passive RFID tags using recognition area of an RFID reader. In Proceedings of the 9th International Conference of Microwaves, Antenna, Propagation and Remote Sensing ICMARS-2013, Jodhpur, India, 11–14 December 2013; pp. 194–199. [Google Scholar]
- Long, E.J.; Hargrave, G.K.; Cooper, J.R.; Kitchener, B.G.B.; Parsons, A.J.; Hewett, C.; Wainwright, J. Experimental investigation into the impact of a liquid droplet onto a granular bed using 3D, time-resolved, particle tracking. Phys. Rev. E 2014, 89, 032201. [Google Scholar] [CrossRef] [PubMed]
- Parsons, A.J.; Stromberg, S.G.L.; Greener, M. Sediment-transport competence of rain-impacted interrill overland flow. Earth Surf. Proc. Landf. 1998, 23, 365–375. [Google Scholar] [CrossRef]
- Chapuis, M.; Bright, C.J.; Hufnagel, J.; MacVicar, B. Detection ranges and uncertainty of passive Radio Frequency Identification (RFID) transponders for sediment tracking in gravel rivers and coastal environments. Earth Surf. Proc. Landf. 2014, 39, 2109–2120. [Google Scholar] [CrossRef]
- Parsons, A.J.; Wainwright, J.; Fukuwara, T.; Onda, Y. Using sediment travel distance to estimate medium-term erosion rates: A 16-year record. Earth Surf. Proc. Landf. 2010, 35, 1694–1700. [Google Scholar] [CrossRef]
- Abrahams, A.D.; Parsons, A.J.; Luk, S.-H. The effect of spatial variability in overland flow on the downslope pattern of soil loss on a semi-arid hillslope, southern Arizona. Catena 1991, 18, 255–270. [Google Scholar] [CrossRef]
- Parsons, A.J.; Wainwright, J.; Abrahams, A.D. Tracing sediment movement in interrill overland flow on a semi-arid grassland hillslope using magnetic susceptibility. Earth Surf. Proc. Landf. 1993, 18, 721–732. [Google Scholar] [CrossRef]
- Wainwright, J.; Parsons, A.J.; Müller, E.N.; Brazier, R.E.; Powell, D.M.; Fenti, B. A transport-distance approach to scaling erosion rates: 1. Background and model development. Earth Surf. Proc. Landf. 2008, 33, 813–826. [Google Scholar] [CrossRef]
- Wainwright, J.; Parsons, A.J.; Müller, E.N.; Brazier, R.E.; Powell, D.M.; Fenti, B. A transport-distance approach to scaling erosion rates: 3. Evaluating scaling characteristics of MAHLERAN. Earth Surf. Proc. Landf. 2008, 33, 1113–1138. [Google Scholar] [CrossRef]









© 2018 by the authors. Licensee MDPI, Basel, Switzerland. This article is an open access article distributed under the terms and conditions of the Creative Commons Attribution (CC BY) license (http://creativecommons.org/licenses/by/4.0/).
Share and Cite
Parsons, A.; Cooper, J.; Onda, Y.; Sakai, N. Application of RFID to Soil-Erosion Research. Appl. Sci. 2018, 8, 2511. https://doi.org/10.3390/app8122511
Parsons A, Cooper J, Onda Y, Sakai N. Application of RFID to Soil-Erosion Research. Applied Sciences. 2018; 8(12):2511. https://doi.org/10.3390/app8122511
Chicago/Turabian StyleParsons, Anthony, James Cooper, Yuichi Onda, and Naoki Sakai. 2018. "Application of RFID to Soil-Erosion Research" Applied Sciences 8, no. 12: 2511. https://doi.org/10.3390/app8122511
APA StyleParsons, A., Cooper, J., Onda, Y., & Sakai, N. (2018). Application of RFID to Soil-Erosion Research. Applied Sciences, 8(12), 2511. https://doi.org/10.3390/app8122511

