Effect of Structure and Chemical Activation on the Adsorption Properties of Green Clay Minerals for the Removal of Cationic Dye
Abstract
1. Introduction
2. Materials and Methods
2.1. Materials
2.2. Adsorption Studies
2.3. Preparation and Purification of the Adsorbent
2.4. Preparation and Analysis of Oriented Aggregates of Clay
2.5. Acid Activation of Raw Material
3. Characterization
4. Results and Discussions
4.1. Determination of Non-Clay Minerals
4.2. Observation by Scanning Electron Microscope (SEM)
4.3. Determination of the Phyllitic Phases by X-ray Diffraction
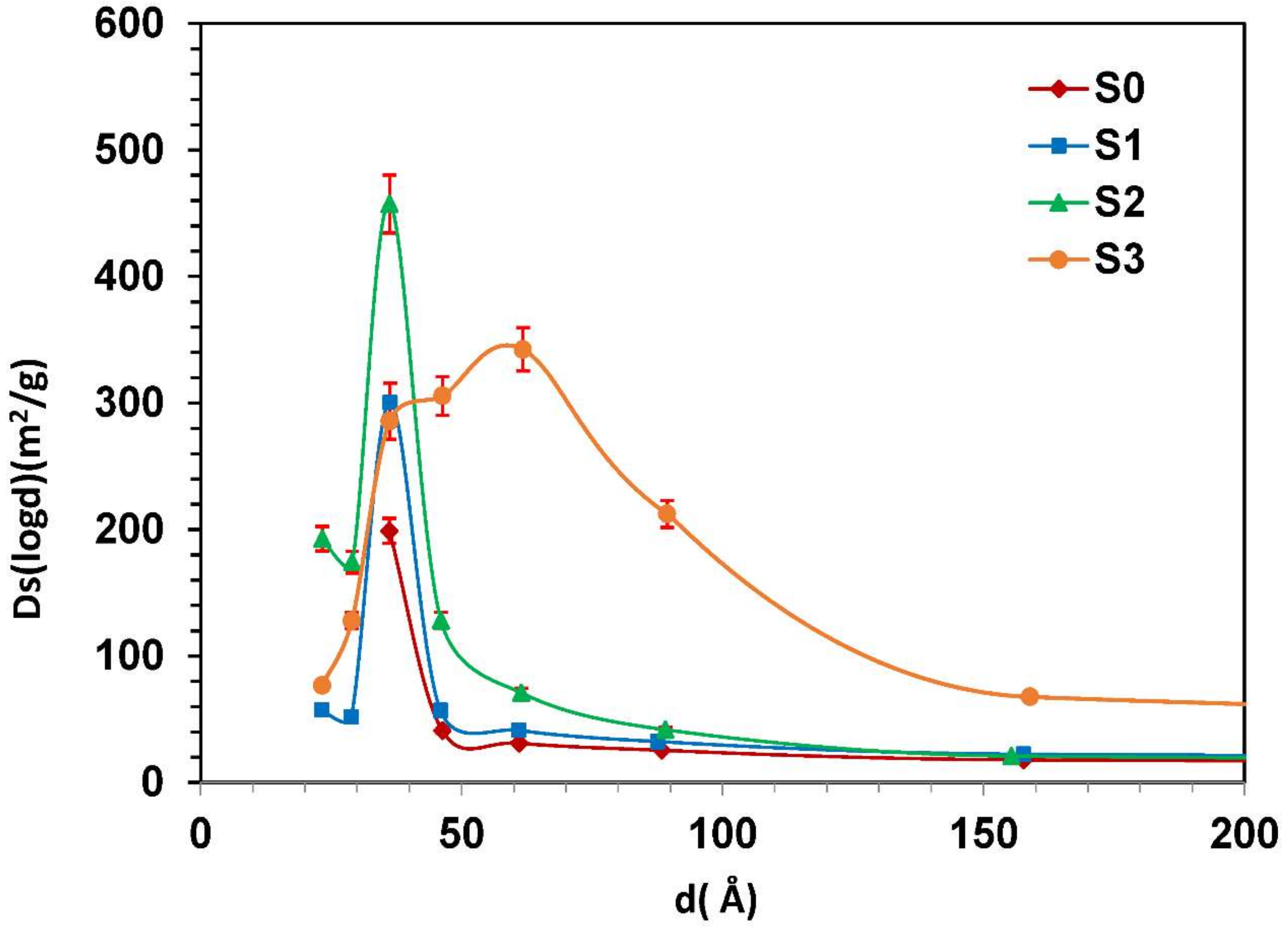
4.4. Effect of Acid-Activation
4.5. Adsorption Equilibrium Studies of Methylene Blue (MB)
5. Conclusions
Author Contributions
Funding
Acknowledgments
Conflicts of Interest
References
- Fonseca, C.G.; Vaiss, V.S.; Wypych, F.; Diniz, R.; Leitão, A.A. Investigation of the initial stages of the montmorillonite acid-activation processusing DFT calculations. Appl. Clay Sci. 2018, 165, 170–178. [Google Scholar] [CrossRef]
- Arus, V.A.; Nousir, S.; Sennour, R.; Shiao, T.Z.; Nistor, I.D.; Roy, R.; Azzouz, A. Intrinsic affinity of acid-activated bentonite towardshydrogen and carbondioxide. Int. J. Hydrogen Energy 2018, 43, 7964–7972. [Google Scholar] [CrossRef]
- Vryzas, Z.; Kelessidis, V.C.; Nalbantian, L.; Zaspalis, V.; Gerogiorgis, D.I.; Wubulikasimu, Y. Effect of temperature on the rheological properties of neat aqueous Wyoming sodium bentonite dispersions. Appl. Clay Sci. 2017, 136, 26–36. [Google Scholar] [CrossRef]
- Bouazizi, A.; Saja, S.; Achiou, B.; Ouammou, M.; Calvo, J.I.; Aaddane, A.; Younssi, S.A. Elaboration and characterization of a new flat ceramic MF membrane made from natural Moroccan bentonite. Application to treatment of industrial wastewater. Appl. Clay Sci. 2016, 133, 33–40. [Google Scholar] [CrossRef]
- Garshasbi, V.; Jahangiri, M.; Anbia, M. Equilibrium CO2 adsorption on zeolite 13X prepared from natural clays. Appl. Clay Sci. 2017, 393, 225–233. [Google Scholar]
- Elmoubarki, R.; Mahjoubi, F.Z.; Tounsadi, H.; Moustadrafa, J.; Abdennouri, M.; Zouhri, A.; El Albani, A.; Barka, N. Adsorption of textile dyes on raw and decanted Moroccan clays: Kinetics, equilibrium and thermodynamics. Water Resour. Ind. 2015, 9, 16–29. [Google Scholar] [CrossRef]
- Carrado, K.A.; Komadel, P. Acid Activation of Bentonites and Polymer-Clay Nanocomposites. Elements 2009, 5, 111–116. [Google Scholar] [CrossRef]
- Zhua, J.; Zhanga, P.; Wang, Y.; Wena, K.; Sua, X.; Zhua, R.; Hea, H.; Xie, Y. Effect of acid activation of palygorskite on theirtoluene adsorption behaviors. Appl. Clay Sci. 2018, 159, 60–67. [Google Scholar] [CrossRef]
- Novakovic, T.; Rozic, L.; Petrovic, S.; Rosic, A. Synthesis and characterization of acid-activated Serbian smectite clays obtained by statistically designed experiments. Chem. Eng. J. 2008, 37, 436–442. [Google Scholar] [CrossRef]
- Javed, S.H.; Zahir, A.; Khan, A.; Afzal, S.; Mansha, M. Adsorption of Mordant Red 73 dye on acid activated bentonite: Kinetics and thermodynamic study. J. Mol. Liq. 2018, 254, 398–405. [Google Scholar] [CrossRef]
- Liu, Y.; Gates, W.P.; Bouazza, A. Acid induced degradation of the bentonite component used in geosynthetic clay liners. Geotext. Geomembr. 2013, 36, 71–80. [Google Scholar] [CrossRef]
- Gannouni, A.; Bellagi, A.; Bagane, M. Preparation of activated clay for the bleaching of olive oil. Ann. Chim. Sci. Mat. 1999, 24, 407–416. [Google Scholar] [CrossRef]
- Komadel, P.; Madejova, J. Acid Activation of Clay Minerals. In Handbook of Clay Science; Bergaya, F., Theng, B.K.G., Lagaly, G., Eds.; Elsevier Science: Amsterdam, The Netherlands, 2006; pp. 263–287. [Google Scholar]
- Jedli, H.; Brahmi, J.; Hedfi, H.; Mbarek, M.; Bouzgarrou, S.; Slimi, K. Adsorption kinetics and thermodynamics properties of Supercritical CO2 on activated clay. J. Pet. Sci. Eng. 2018, 166, 476–481. [Google Scholar] [CrossRef]
- Amari, A.; Chlendi, M.; Gannouni, A.; Bellagi, A. Experimental and theoretical studies of VOC adsorption on acid-activated bentonite in a fixed-bed adsorber. Ind. Eng. Chem. Res. 2010, 49, 11587–11593. [Google Scholar] [CrossRef]
- Moraes, D.S.; Miranda, L.C.R.; Angélica, R.S.; Filho, G.N.R.; Zamian, J.R. Functionalization of bentonite and vermiculite after the creation of structural defects through an acid leaching process. J. Braz. Chem. Soc. 2018, 29, 320–327. [Google Scholar] [CrossRef]
- Sidorenko, A.Y.; Kravtsova, A.V.; Aho, A.; Heinmaa, I.; Kuznetsovad, T.F.; Murzin, D.Y.; Agabekova, V.E. Catalytic isomerization of α-pineneoxide in the presence of acid-modified clays. J. Mol. Catal. 2018, 448, 18–29. [Google Scholar] [CrossRef]
- Zhansheng, W.U.; Chun, L.I.; Xifang, S.; Xiaolin, X.; Bin, D.; Jine, L.; Hongsheng, Z. Characterization, acid activation and bleaching performance of bentonite from Xinjiang. Chin. J. Chem. Eng. 2006, 14, 253–258. [Google Scholar]
- Anirudhan, T.S.; Ramachandran, M. Adsorptive removal of basic dyes from aqueous solutions by surfactant modified bentonite clay (organo clay): Kinetic and competitive adsorption isotherm. Process Saf. Environ. Prot. 2015, 95, 215–225. [Google Scholar] [CrossRef]
- Yan, Z.; Fu, L.; Yang, H.; Ouyang, J. Amino-functionalized hierarchical porous SiO2-AlOOH composite nanosheets with enhanced adsorption performance. J. Hazard. Mater. 2018, 344, 1090–1100. [Google Scholar] [CrossRef] [PubMed]
- Bergaya, F.; Lagaly, G. Surface modification of clay minerals. Appl. Clay Sci. 2001, 19, 1–3. [Google Scholar] [CrossRef]
- Bergaya, F.; Theng, B.K.G.; Lagaly, G. Modified Clays and Clay Minerals. In Handbook of Clay Science; Bergaya, F., Theng, B.K.G., Lagaly, G., Eds.; Elsevier Science: Amsterdam, The Netherlands, 2006; pp. 261–262. [Google Scholar]
- Hart, M.P.; Brown, D.R. Surface acidities and catalytic activities of acid-activated clays. J. Mol. Catal. A Chem. 2004, 212, 315–321. [Google Scholar] [CrossRef]
- Mikhail, S.; Zaki, T.; Khalil, L. Desulfurization by an economically adsorption technique. Appl. Catal. A 2002, 227, 265–278. [Google Scholar] [CrossRef]
- Taylor, D.R.; Jenkins, D.B.; Ungermann, C.B. Bleaching with alternative layered minerals: A comparison with acid activated montmorillonite for bleaching soybean. J. Am. Oil Chem. Soc. 1989, 66, 334–341. [Google Scholar] [CrossRef]
- Rhodes, C.N.; Brown, D.R. Structural characterization and optimization of acid-treated montmorillonite and high-porosity silica supports for ZnCl2 alkylation catalysts. J. Chem. Soc. Faraday Trans. 1992, 88, 2269–2274. [Google Scholar] [CrossRef]
- Komadel, P. Chemically modified smectites. Clay Miner. 2003, 38, 127–138. [Google Scholar] [CrossRef]
- Mokaya, R.; Jones, W. Pillared clays and pillared acid-activated Clays: A comparative study of physical, acidic, and catalytic properties. J. Catal. 1995, 53, 76–85. [Google Scholar] [CrossRef]
- Pardo, L.; Cecilia, J.A.; Moreno, C.L.; Hernández, V.; Pozo, M.; Bentabol, M.J.; Franco, F. Influence of the Structure and Experimental Surfaces Modifications of 2:1 Clay Minerals on the Adsorption Properties of Methylene Blue. Minerals 2018, 8, 359. [Google Scholar] [CrossRef]
- Şahin, O.; Kaya, M.; Saka, C. Plasma-surface modification on bentonite clay to improve the performance of adsorption of methylene blue. Appl. Clay Sci. 2015, 116–117, 46–53. [Google Scholar] [CrossRef]
- Guerra, D.J.L.; Mello, I.; Freitas, L.R.; Resende, R.; Silva, R.A.R. Equilibrium, thermodynamic, and kinetic of Cr (VI) adsorption using a modified and unmodified bentonite clay. Int. J. Min. Sci. Technol. 2014, 24, 525–535. [Google Scholar] [CrossRef]
- Hu, P.; Wang, J.; Huang, R. Simultaneous removal of Cr(VI) and Amido black 10B (AB10B) from aqueous solutions using quaternized chitosan coated bentonite. Int. J. Biol. Macromol. 2016, 92, 694–701. [Google Scholar] [CrossRef] [PubMed]
- Brown, G.; Brindley, G.W. X-Ray Diffraction Procedures for Clay Minerals Identification. In Crystal Structures of Clay Minerals and their X-Ray Identification; Brindley, G.W., Brown, G., Eds.; Mineralogical Society: London, UK, 1980; pp. 305–360. [Google Scholar]
- Fiore, S.; Cuadros, J.; Huertas, F.J. Interstratified Clay Minerals: Origin, Characterization and Geochemical Significance; Digilabs: Bari, Italy, 2013. [Google Scholar]
- Reynolds, R.C. Interstratified Clay Minerals. In Handbook of Crystal Structures of Clay Minerals and Their X-ray Identification; Brindley, G.W., Brown, G., Eds.; Mineralogical Society: London, UK, 1980; pp. 249–303. [Google Scholar]
- Temuujin, J.; Jadambaa, T.; Burmaa, G.; Erdenechimeg, S.; Amarsanaa, J.; MacKenzie, K.J.D. Characterisation of acid activated montmorillonite clay from Tuulant (Mongolia). Ceram. Int. 2004, 30, 251–255. [Google Scholar] [CrossRef]
- Shinoda, T.; Onaka, M.; Izumi, Y. Proposed models of mesopore structures in sulfuric acid-treated montmorillonites and K10. Chem. Lett. 1995, 24, 495–496. [Google Scholar] [CrossRef]
- Khalil, A.A.; Abo, O.; El-Wafa, S.; Sallam, A.; ElKorashy, S.A. Characterization of some Sinai clay deposits. Mag. Verfahrenstech. 1988, 12, 396–400. [Google Scholar]
- Sing, K.; Everet, D.; Haul, R.; Moscou, L.; Pierotti, R.; Rouquerol, J.; Siemieniewska, T. Reporting physisorption data for gas/solid systems with special reference to the determination of surface area and porosity. Pure Appl. Chem. 1985, 57, 603. [Google Scholar] [CrossRef]
- Jovanovic, N.; Janackovic, J. Pore structure and adsorption properties of an acid-activated bentonite. Appl. Clay Sci. 1991, 6, 59–68. [Google Scholar] [CrossRef]
- Barett, E.P.; Joyner, L.C.; Halenda, P.P. The determination of pore volume and area distribution in porous substances. I. Computation from nitrogen isotherms. J. Am. Chem. Soc. 1951, 73, 373–380. [Google Scholar]
- Almeida, C.A.P.; Debacher, N.A.; Downsc, A.J.; Cotteta, L.; Mello, C.A.D. Removal of methylene blue from colored effluents by adsorption on montmorillonite clay. J. Colloid Interface Sci. 2009, 332, 46–53. [Google Scholar] [CrossRef] [PubMed]
- Al-Futaisi, A.; Jamrah, A.; Al-Hanai, R. Aspects of cationic dye molecule adsorption to palygorskite. Desalination 2007, 214, 327–342. [Google Scholar] [CrossRef]
- Malash, G.F.; El-Khaiary, M.I. Methylene blue adsorption by the waste of Abu-Tartour phosphate rock. J. Colloid Interface Sci. 2010, 348, 537–545. [Google Scholar] [CrossRef] [PubMed]
- Mouzdahir, Y.E.; Elmchaouri, A.; Mahboub, R.; Gil, A.; Korili, S.A. Adsorption of methylene blue from aqueous solutions on a Moroccan clay. J. Chem. Eng. Data 2007, 52, 1621–1625. [Google Scholar] [CrossRef]
- Li, Z.; Chang, O.H.; Jiang, W.T.; Jean, J.S.; Hong, H. Mechanism of methylene blue removal from water by swelling clays. Chem. Eng. J. 2011, 168, 1193–1200. [Google Scholar] [CrossRef]












| Samples | MgO | Fe2O3 | Al2O3 | SiO2 | SO3 | CaO | K2O | Na2O | P2O5 | TiO2 | ZnO | L.I. at 975 °C |
|---|---|---|---|---|---|---|---|---|---|---|---|---|
| S0 | 1.46 | 6.07 | 14.27 | 49.87 | 0.77 | 7.00 | 1.09 | 0.53 | 0.19 | 1.41 | 0.18 | 17.62 |
| S1 | 1.23 | 5.56 | 13.58 | 50.82 | 0.76 | 0.86 | 1.03 | 0.23 | 0.06 | 1.62 | 0.37 | 16.54 |
| S2 | 0.98 | 4.89 | 12.38 | 52.69 | 0.75 | 0.58 | 0.97 | 0.11 | 0.01 | 1.80 | 0.51 | 15.27 |
| S3 | 0.43 | 1.89 | 9.40 | 67.63 | 0.68 | 0.14 | 0.61 | 0.13 | 0.01 | 2.26 | 0.24 | 11.24 |
| Samples | Total Pore Volume (10−2 cm3/g) | Average Pore Diameter (Å) | BET Surface Area. SBET (m²/g) |
|---|---|---|---|
| S0 | 13.74 | 79.56 | 69.00 |
| S1 | 17.20 | 72.92 | 94.36 |
| S2 | 22.26 | 60.76 | 146.50 |
| S3 | 45.58 | 98.9 | 184.40 |
| Samples | Langmuir Constants | |||
|---|---|---|---|---|
| qmax (mg/g) | KL (L/mg) | δq | ∆q (%) | |
| S0 | 241.91 | 11.019 | 9.77 × 10−3 | 2.63 |
| S1 | 198.36 | 2.096 | 2.29 × 10−3 | 1.82 |
| S2 | 168.59 | 5.115 | 0.19 × 10−3 | 0.13 |
| S3 | 93.42 | 0.577 | 5.00 × 10−3 | 2.42 |
© 2018 by the authors. Licensee MDPI, Basel, Switzerland. This article is an open access article distributed under the terms and conditions of the Creative Commons Attribution (CC BY) license (http://creativecommons.org/licenses/by/4.0/).
Share and Cite
Amari, A.; Gannouni, H.; Khan, M.I.; Almesfer, M.K.; Elkhaleefa, A.M.; Gannouni, A. Effect of Structure and Chemical Activation on the Adsorption Properties of Green Clay Minerals for the Removal of Cationic Dye. Appl. Sci. 2018, 8, 2302. https://doi.org/10.3390/app8112302
Amari A, Gannouni H, Khan MI, Almesfer MK, Elkhaleefa AM, Gannouni A. Effect of Structure and Chemical Activation on the Adsorption Properties of Green Clay Minerals for the Removal of Cationic Dye. Applied Sciences. 2018; 8(11):2302. https://doi.org/10.3390/app8112302
Chicago/Turabian StyleAmari, Abdelfattah, Hatem Gannouni, Mohammad I. Khan, Mohammed K. Almesfer, Abubakr M. Elkhaleefa, and Abdelaziz Gannouni. 2018. "Effect of Structure and Chemical Activation on the Adsorption Properties of Green Clay Minerals for the Removal of Cationic Dye" Applied Sciences 8, no. 11: 2302. https://doi.org/10.3390/app8112302
APA StyleAmari, A., Gannouni, H., Khan, M. I., Almesfer, M. K., Elkhaleefa, A. M., & Gannouni, A. (2018). Effect of Structure and Chemical Activation on the Adsorption Properties of Green Clay Minerals for the Removal of Cationic Dye. Applied Sciences, 8(11), 2302. https://doi.org/10.3390/app8112302
