Abstract
The crystal structure and surface morphology of ceramics as well dielectric and thermal properties of Bi1−xErxFeO3 (where x = 0.05 − 0.20, Δх = 0.05) magnetoelectric solid solutions (SS) were investigated. The regularities of changes in phase composition, microstructure, electrical and dielectric properties of objects at room temperature are established.
1. Introduction
In connection with the recent sharp increase in the complexity of microelectronic devices caused by the need to combine various technologies for recording, storing, and processing information, attention has been paid to multifunctional materials with ferroelectric, ferroelastic, ferromagnetic, and other properties—multiferroics. A special place among them is occupied by materials based on bismuth ferrite (BiFeO3) due to the combination of magnetic and ferroelectric orderings in them, coexisting in a rather wide temperature range (TN ≈ 643 K, TC ≈ 1083 K) [1]. The crystal structure of bismuth ferrite at room temperature is characterized by rhombohedrally distorted perovskite cell with R3c space group, very close to cubic one. In the area of temperatures below the ТN bismuth ferrite has a complex spatially modulated magnetic structure of cycloid type, which suppress ferromagnetic properties [2]. One of the possible ways to destroy this modulated structure and thus to enhance the magnetic properties is substitution of bismuth by rare-earth elements (REE). Guided by the abovementioned considerations, in continuation of earlier studies [3,4], this work aims to identify the general patterns of formation of the crystal structure, microstructure, thermal and electrical properties of ceramic samples of bismuth ferrite, replaced by Er of various concentrations.
2. Materials and Methods
Objects of the present study were Bi1-хErхFeO3 type SS with 0.00 ≤ x ≤ 0.20, Δх = 0.05, obtained by two-stage solid-phase synthesis followed by sintering, by conventional ceramic technology at T1sint = 1073 K, T2sint = 1093 K, τ1,2 sint = 10 h, Tsynt = 1183 K, τ = 2 h.
The phase composition of SS Bi1−xErxFeO3 was determined by X-ray powder diffraction (CoKα radiation) with use of DRON-3 diffractometer (Bourevestnik, St. Petersburg, Russia). The parameters, a, α, and volume Vexp, of the rhombohedral perovskite cell were calculated from the reflections (200)с and (220)с using the corresponding quadratic forms [5]. Theoretical volume, Vth, was calculated by the formula [5]:
where n is the valency of cations, L is the length of the unstressed cation–oxygen bond, taking into account the coordination number of the cation in oxygen (the ionic radii on Belov-Bokiy [6]).
Investigation of surface morphology of the samples performed in reflected light on an optical microscope Neophot 21 (Carl Zeiss Jena GmbH, Jena, Germany) and on the inverted high-precision microscope Leica DMI 5000M (Leica Microsystems, Wetzlar, Germany).
Dependencies of relative dielectric permittivity, ε/ε0, were carried out in the range of frequencies from 25 to 2 × 106 Hz and in the 300–900 K temperature range with use of precision LCR meter Agilent E4980A (Agilent Technologies, Santa-Clara, CA, USA).
Thermal diffusivity (χ) was investigated at the LFA-457 “MicroFlash” facility (NETZSCH-Gerätebau GmbH, Selb, Germany), heat capacity (Ср)—by means of the differential scanning calorimeter DSC-204 F1 (NETZSCH-Gerätebau GmbH, Selb, Germany).
3. Results
Figure 1 demonstrates dependences of structural parameters SS on concentration of the modifiers.
Figure 1.
Concentration dependences of the parameters a, α, and volumes Vexp and Vth of the rhombohedral perovskite cell of Bi1−xErxFeO3 SS.
The results showed that, along with SS, the compounds Bi2Fe4O9, Bi25FeO40, and Er3Fe5O12 are formed in the samples under study, whose content increases with x. The intensity of the strong lines of these compounds at x = 0.15 and 0.20 reaches 50%.
The rhombohedral symmetry of the perovskite cell in SS is retained for all x. In Figure 1, it can be seen that Vexp (x) does not correspond to the dependence Vth (x) calculated for the Er → Bi substitution SS, a slight drop in Vexp (x) is observed only in the range 0.00 < x ≤ 0.05, with x > 0. 05 Vexp practically unchanged. From this it follows that in the structure of BiFeO3 under selected conditions for the manufacture of ceramics can dissolve less than 5 mol % Er. Therefore, in Bi1−xErxFeO3 SS, an impurity compound with the garnet structure Er3Fe5O12 is formed already at x = 0.05. The other two compounds are routine impurity phases, which cannot be eliminated during the synthesis of bismuth ferrite.
Figure 2 demonstrates microstructure elements of BiFeO3 ceramic samples before and after modifying with Er (x = 0.10; 0.20).
Figure 2.
Pictures of the microstructures of ceramic Bi1−xErxFeO3 samples. (1) BiFeO3; (2) x = 0.10; (3) x = 0.20.
Black regions with roundish or curvilinear boundaries are pores. They are localized over the surface non-uniformly. Ceramic grains (crystallites) were detected by etching their boundaries. It led to the formation of etching grooves, observed as dark lines along the boundaries of the crystallites.
Both BiFeO3 and Bi1−xErxFeO3 ceramics are polycrystalline structures with non-phase grained components. The brightest “light” crystallites represent the main phase. Gray grains are a fraction of minor phases. The average, as well as the maximum sizes of crystallites of the main “light” phase in the bismuth ferrite ceramics exceed the analogous parameters of the non-main “gray” phase. The interval of their values is also wider. When modifying, the maximum size of the crystallites of the “light” phase is somewhat reduced in the same way as their average size.
Unlike the main phase, where the formation of large crystallites is suppressed, the introduction of a modifier leads to the growth of large grains of minor phases. In addition, with an increase in the Er content, a characteristic hexagonal shape of a part of such crystallites arises, which corresponds to the garnet structure (Figure 2 and Figure 3). Thus, in the form of grains, we observe the appearance of an additional non-basic phase. The percentage of minor phases is also increasing.
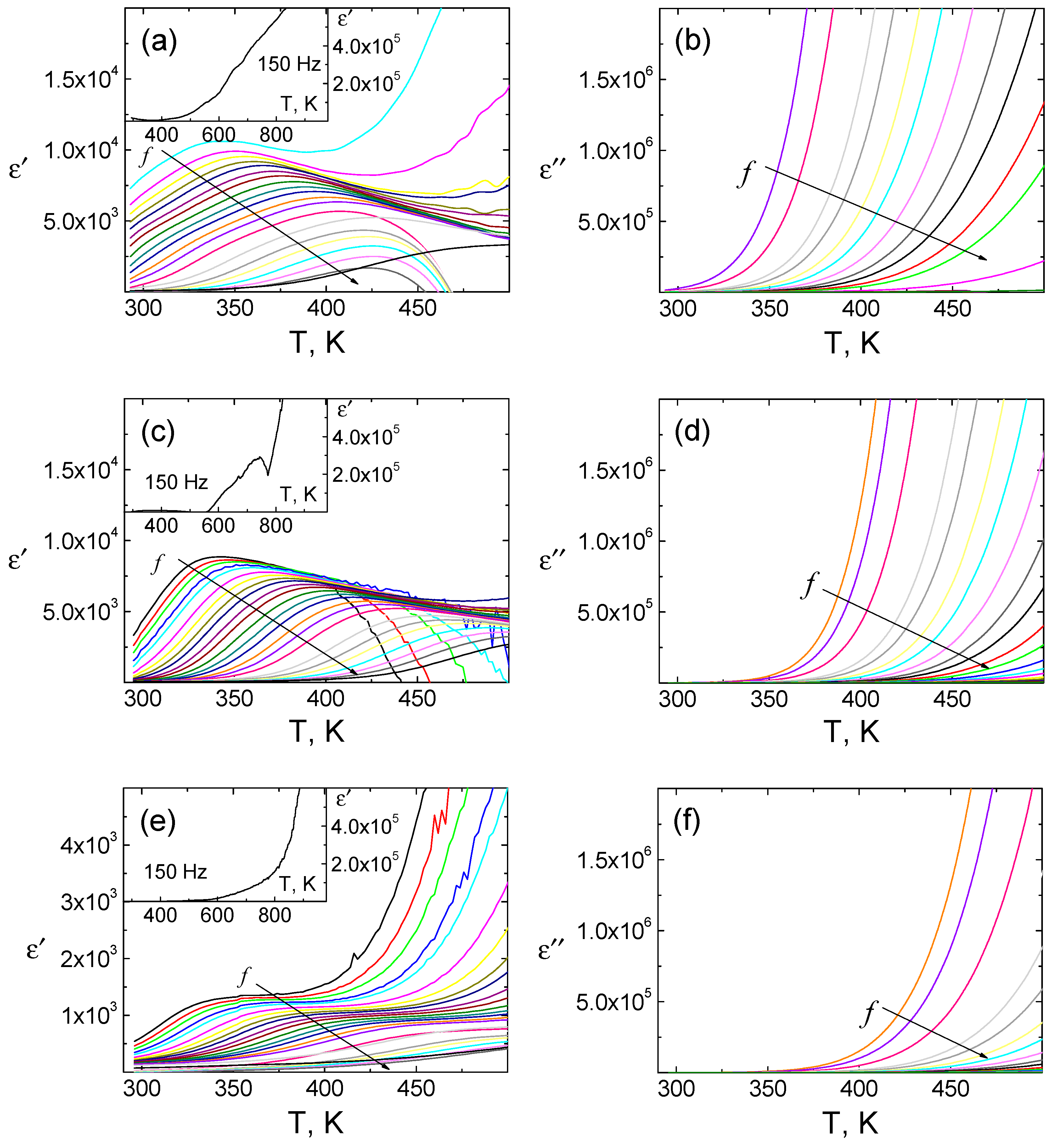
Figure 3.
The dependencies of ε’/ε0 and ε″/ε0 of Bi1−xErxFeO3 ceramic samples on the temperature in the frequency range 25–2 × 106 Hz. (Arrows show the increase in the frequency, f; (a,b) BiFeO3; (c,d) Er—x = 0.10, (e,f) x = 0.20.
The interphase boundaries in the obtained multiphase objects are realized as boundary contacts in mixtures of crystallites of different phases, and at the level of substructures formed by the smallest grains of one phase inside the grains of another. Usually it leads to weakening of the dielectric properties by increasing the internal electromechanical loss, space charge accumulation at the interfaces, micro and mesoscopic areas having different electrical properties.
The results of the dielectric dispersion study of objects are shown in Figure 3. As can be seen from the figures, in the temperature range of 300–500 K, the considered dependences experience anomalies in the form of strongly dispersion maxima of ε/ε0, which have a relaxation character. The observed phenomena are usually associated with the formation of the Maxwell-Wagner polarization [4], which occurs in heterogeneous media at the interface of volume elements with different electrical properties.
The increase in Er concentrations leads to complication of the registered dielectric spectra (their shift, enhancing the dispersion and formation of additional anomalies—ill-defined peaks in the ε/ε0(T) curves at T = 600 K (Figure 3c). A further increase in Er concentration leads to a significant decrease in the dielectric constant (Figure 3e).
The relaxation analysis, performed using the Cole-Cole relation (Figure 4), made it possible to take into account the effect of reach-through conductivity. From Figure 4b it is clearly seen that at least two relaxation processes take place in the object. When erbium is added, the relaxation spectrum of objects is simplified and described by a single process. The calculations by the Cole–Cole relation allowed us to calculate the activation energy of both relaxation processes and reach-through conductivity (see Table 1).
Figure 4.
(a,d,g)—The dependencies of ε’/ε0 and ε″/ε0 of Bi1−xErxFeO3 ceramic samples with x = 0, 0.10, 0.20, respectively, on frequency ω. (b,e,h)—Cole–Cole plots of Bi1−xErxFeO3 ceramic samples with x = 0, 0.10, 0.20, respectively. (c,f,i)—Arrhenius plots of relaxation times τ and reach-through conductivity σs of Bi1−xErxFeO3 ceramic samples with x = 0, 0.10, 0.20, respectively (Arrows show the increase in the temperature).
Table 1.
Activation energy of relaxation processes (in the case of x = 0—low-frequency process) and reach-through conductivity σs of Bi1-xErxFeO3 ceramic samples with x = 0, 0.10, 0.20, respectively, calculated by the Arrhenius law.
Figure 5 shows the temperature dependences of thermal diffusivity (χ) and specific heat (Cp) of studied ceramic samples. The heat capacity of objects increases and up to 600 K, the experimental data are in satisfactory agreement with those calculated using the Meer–Kelly formula: Cp(T) = a + bT − cT−2, where a, b, and c are constant, which are determined from the temperature dependence of the heat capacity at temperatures of 290–320 K. In the temperature range of 640–670 K, covering the region of the antiferromagnetic transition, the behavior of thermophysical characteristics is extreme with a minimum of χ and a maximum of Cp. The observed effects are in good agreement with the literature data for similar objects [7,8]. It should be noted that in solid solutions with large amount of Er temperature dependencies of Cp experience at least two maxima, one of which can be referred to antiferromagnetic phase transitions and another one can be associated with the formation of internal stresses due to the ordering of structural defects (Figure 5a).
Figure 5.
Temperature dependencies of the specific heat, Cp, (a) and thermal diffusivity, χ, (b) of studied Bi1−xErxFeO3 ceramic samples.
4. Discussion
It is well known that the introduction of large-sized rare-earth elements (REE) (with ionic radius ≥ 0.99 Å) leads to the stabilization of the Rh phase, which is probably due to the creation of the most favorable (dimensional) conditions for the existence of BiFeO3, which is known [5] as a boundary position in the perovskite family.
In the solid solutions under consideration, the Rh phase, characteristic of BiFeO3, coexists with the emerging R phase. The observed, apparently, is due to the presence of a large amount of Bi- and Fe-containing impurities, usually accompanying the formation of BiFeO3, and the ballast phases of the non-perovskite structure with the participation of REE, the number of which increases as the ionic radius of the REE decreases, as is clearly seen in Figure 2 with microphotographs of the grain structures of the studied objects. Accumulation of such phases (“gray” grains) leads to loosening of the microstructure, thickening of the boundaries of crystallites, and deformation of the habitus of grains of the main phase.
To describe the process of low-temperature dielectric relaxation, the curves lnτ(1/T) (τ—relaxation time from Cole-Cole plot) and lnσs(1/T) (σs—reach-through conductivity) were constructed (Figure 4c,f,i). All the obtained dependences satisfy the Arrhenius law with the activation energy, Ea, in the range of 0.5–0.7 eV (see Table 1), which is characteristic of Maxwell–Wagner relaxation [9] process associated with accumulation of free charges on the interface of components in spatially inhomogeneous media against the background of interlayer, interphase and intraphase rearrangements, inter alia, by the accumulation of charge in the near-electrode layer. It is clearly seen that in the case of each object the values of Ea are almost identical. One can suggest that dielectric relaxation is caused by the accumulation of free charges, which is consistent with the Maxwell–Wagner model. This assumption is also confirmed by a sharp increase in the dielectric constant and dielectric loss above the temperatures at which the described relaxation processes take place.
The reason for its development is the natural-composite structure of BiFeO3 and BiFeO3 with REE, which is formed on the basis of at least four Bi-, Fe-containing compounds (Bi2O3, Fe2O3, Bi25FeO40, Bi2Fe4O9) that practically always accompany the formation of BiFeO3 remaining in it (in different amounts) in the form of ballast phases and undergoing a series of bifurcations in the above-mentioned temperature ranges.
5. Conclusions
It was established that modifying of BiFeO3 with erbium can increase it thermal stability and decrease conductivity. With the addition of 20% of erbium, at the temperature of 365 K the reach-through conductivity of samples is reduced by an order of magnitude compared to pure bismuth ferrite. This fact should be taken into account when developing ferromagnetic materials and devices based on them.
Author Contributions
conceptualization, L.R., I.V., S.-H.C., and H.-Y.W.; methodology, L.S. and I.P.; software, A.P.; formal analysis, L.S. and V.A.; investigation, L.S., V.A., S.K., A.B., and Z.O.; writing—original draft preparation, A.P.; writing—review and editing, I.P.; visualization, A.P.; project administration, L.R.; funding acquisition, L.R., S.-H.C., and H.-Y.W.
Funding
This research was funded by the Ministry of Education and Science of the Russian Federation, grant numbers 3.6371.2017/8.9 and 3.6439.2017/8.9; and by the Ministry of Science and Technology of the Republic of China, grant number MOST 105-2923-E-992-302-MY3.
Acknowledgments
The dielectric spectroscopy measurements were performed using the equipment of the Shared Research Facility Centre of Research Institute of Physics, Southern Federal University.
Conflicts of Interest
The funders had no role in the design of the study; in the collection, analyses, or interpretation of data; in the writing of the manuscript, or in the decision to publish the results.
References
- Smolenskii, G.A.; Chupis, I.E. Ferroelectromagnets. Sov. Phys. Usp. 1982, 25, 415–448. [Google Scholar] [CrossRef]
- Zvezdin, A.K.; Pyatakov, A.P. Phase transitions and the giant magnetoelectric effect in multiferroics. Phys.-Uspekhi 2004, 47, 416–421. [Google Scholar] [CrossRef]
- Verbenko, I.A.; Gufan, Y.M.; Kubrin, S.P.; Amirov, A.A.; Pavelko, A.A.; Aleshin, V.A.; Shilkina, L.A.; Razumovskaya, O.N.; Reznichenko, L.A.; Osipenko, I.A.; et al. The crystal and grain structure and physical properties of Bi 1 − x A x FeO3 (A = La, Nd) solid solutions. Bull. Russ. Acad. Sci. Phys. 2010, 74, 1141–1143. [Google Scholar] [CrossRef]
- Khasbulatov, S.V.; Pavelko, A.A.; Shilkina, L.A.; Reznichenko, L.A.; Gadjiev, G.G.; Bakmaev, A.G.; Magomedov, M.-R.M.; Omarov, Z.M.; Aleshin, V.A. Phase composition, microstructure, and thermophysical and dielectric properties of multiferroic Bi1−xDyxFeO3. Thermophys. Aeromech. 2016, 23, 445–450. [Google Scholar] [CrossRef]
- Fesenko, E.G. Perovskite Family and Ferroelectricity; Atomizdat: Moscow, Russia, 1972; p. 248. [Google Scholar]
- Bokiy, G.B. Introduction to Crystal Chemistry; MGU: Moscow, Russia, 1954. [Google Scholar]
- Amirov, A.A.; Batdalov, A.B.; Kallaev, S.N.; Omarov, Z.M.; Verbenko, I.A.; Razumovskaya, O.N.; Reznichenko, L.A.; Shilkina, L.A. Specific features of the thermal, magnetic, and dielectric properties of multiferroics BiFeO3 and Bi0.95La0.05FeO3. Phys. Solid State 2009, 51, 1189–1192. [Google Scholar] [CrossRef]
- Kallaev, S.N.; Bakmaev, A.G.; Reznichenko, L.A. Thermal diffusion and heat conductivity of BiFeO3 and Bi0.95La0.05FeO3 multiferroics at high temperatures. JETP Lett. 2013, 97, 470–472. [Google Scholar] [CrossRef]
- Turik, A.V.; Radchenko, G.S. Maxwell-Wagner relaxation of elastic constants of layered polar dielectrics. Phys. Solid State 2003, 45, 1060–1064. [Google Scholar] [CrossRef]
© 2018 by the authors. Licensee MDPI, Basel, Switzerland. This article is an open access article distributed under the terms and conditions of the Creative Commons Attribution (CC BY) license (http://creativecommons.org/licenses/by/4.0/).




