Morphological Identification of Lepidii Seu Descurainiae Semen and Adulterant Seeds Using Microscopic Analysis
Abstract
1. Introduction
2. Materials and Methods
2.1. Plant Materials
2.2. External Morphology
2.3. Statistical Analyses
2.4. Mucilage Reaction
2.5. Micromorphology
3. Results
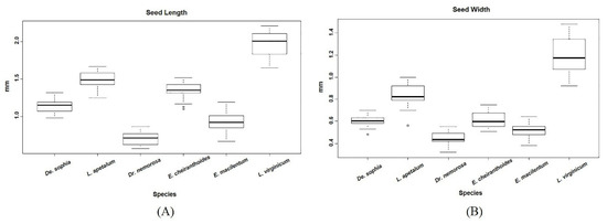
3.1. Morphological Characteristics of Seeds
3.2. Mucilage Reaction
3.3. Micromorphological Characteristics
3.4. Identification Key Based on Seed Morphology and Micromorphology
- 1.
- Seeds ovoid, obovate-to-oblong in shape; linear-elliptic to linear-triangular in cross-section; dull.
- 2.
- Seeds 0.57–0.86 × 0.32–0.55 mm; no mucilage reaction; simple reticulate ornamentation; concave, smooth periclinal cell wall -------------------------------------------------------- Draba nemorosa
- 2.
- Seeds 1.25–2.21 × 0.56–1.48 mm; moderate mucilage reaction; reticulate-papillate ornamentation; coarse folded central papillae on periclinal cell wall.
- 3.
- Seeds 1.25–1.67 × 0.56–1.00 mm; wing-like appendage absent or narrow; nearly indistinct and convex anticlinal cell wall; narrow papillae (9.4–16.0 μm in diameter) -------------------------------------------------------------------------------------------------------------------- Lepidium apetalum
- 3.
- Seeds 1.65–2.21 × 0.92–1.48 mm; wing-like appendage wide; slightly raised and strongly convex anticlinal cell wall; wide papillae (24.6–36.5 μm in diameter) ------------------------------------------------------------------------------------------------------- Lepidium virginicum
- 1.
- Seeds oblong or obliquely oblong-to-obovate pyriform in shape; not linear-elliptic in cross-section; somewhat shiny.
- 4.
- Seeds circular-to-elliptic in cross-section; weak mucilage reaction; simple reticulate ornamentation; smooth periclinal cell wall ------------------------------------------- Descurainia sophia
- 4.
- Seeds triangular-to-trapezoid in cross-section; no mucilage reaction; reticulate-tuberculate ornamentation; globular central tuberculae on periclinal cell wall.
- 5.
- Seeds obliquely oblong-to-obovate, pyriform in shape, circular or ovate in cross-section; slightly raised and convex anticlinal cell wall; narrow tuberculae (5.0–9.2 μm in diameter) ------------------------------------------------------------------------------------ Erysimum cheiranthoides
- 5.
- Seeds oblong in shape, triangular-to-trapezoid in cross-section; raised and strongly convex anticlinal cell wall; wide tuberculae (9.1–17.2 μm in diameter) ------------------------------------------------------------------------------------------------------------ Erysimum macilentum
4. Discussion
4.1. Morphological Characteristics of Seeds
4.2. Mucilage Reaction
4.3. Micromorphological Characteristics
5. Conclusions
Author Contributions
Funding
Acknowledgments
Conflicts of Interest
References
- Korea Institute of Oriental Medicine. Defining Dictionary for Medicinal Herbs. 2018. Available online: http://boncho.kiom.re.kr/codex (accessed on 4 April 2018).
- Yang, S.; Kim, W.J.; Choi, G.; Yeo, S.M.; Moon, B.C. Morphological authentication studies on the original plants of Lepidii seu Descurainiae Semen. Korean Herb. Med. Inf. 2016, 4, 27–35. [Google Scholar]
- Chinese Pharmacopoeia Commission. Pharmacopoeia of the People’s Republic of China; Medical Science and Technology Press: Beijing, China, 2015; ISBN 978-7506789295. [Google Scholar]
- Committee on Chinese Medicine and Pharmacy. Taiwan Herbal Pharmacopeia, 2nd ed.; English Version; Ministry of Health and Welfare: Taipei, Taiwan, 2013; pp. 155–156. [Google Scholar]
- Hou, J.P.; Jin, Y. The Healing Power of Chinese Herbs and Medicinal Recipes; The Haworth Integrative Healing Press: New York, NY, USA, 2005; pp. 376–378. ISBN 978-0789022028. [Google Scholar]
- Park, J.C.; Choi, G. Review on herbal medicinal materials in the Korean Pharmacopoeia and the Korean Herbal Pharmacopoeia. Korean Herb. Med. Inf. 2016, 4, 9–35. [Google Scholar]
- Pharmacopoeia Committee of the DPRK. Pharmacopoeia of Democratic People’s Republic of Korea, 7th ed.; Medicine and Science Press: Pyeongyang, Korea, 2011. [Google Scholar]
- Smith, F.P.; Stuart, G.A. Chinese Medicinal Herbs; Georgetown Press: San Francisco, CA, USA, 1973. [Google Scholar]
- Choopani, R.; Ghourchian, A.; Hajimehdipoor, H.; Kamalinejad, M.; Ghourchian, F. Effect of Descurainia sophia (L.) Webb ex Prantl on adult functional constipation: A prospective pilot study. J. Evid. Based Complement. Altern. Med. 2017, 22, 646–651. [Google Scholar] [CrossRef] [PubMed]
- Chu, K.; Xu, W.; Li, H.; Chen, L.; Zhang, Y.; Tang, X. Extraction of Lepidium apetalum seed oil using supercritical carbon dioxide and anti-oxidant activity of the extracted oil. Molecules 2011, 16, 10029–10045. [Google Scholar] [PubMed]
- Nimrouzi, M.; Zarshenas, M.M. Phytochemical and pharmacological aspects of Descurainia sophia Webb ex Prantl: Modern and traditional applications. Avicenna J. Phytomed. 2016, 6, 266–272. [Google Scholar] [PubMed]
- Zhou, N.; Sun, Y.P.; Zheng, X.K.; Wang, Q.H.; Yang, Y.Y.; Bai, Z.Y.; Kuang, H.X.; Feng, W.S. A metabolomics-based strategy for the mechanism exploration of traditional Chinese medicine: Descurainia sophia seeds extract and fractions as a case study. J. Evid. Based Complement. Altern. Med. 2017, 2017, 2845173. [Google Scholar] [CrossRef] [PubMed]
- Choi, G. List of Fake Korean Medicinal Herbs; Korea Institute of Oriental Medicine: Daejeon, Korea, 2016; p. 75. ISBN 978-89-5970-249-7. [Google Scholar]
- Korea Food and Drug Administration (KFDA). Coloured Illustrations for Discrimination of Herbal Medicine; Homibooks: Daejeon, Korea, 2009; pp. 196–197. [Google Scholar]
- National Institute of Food and Drug Safety Evaluation. The Dispensatory on the Visual and Organoleptic Examination of Herbal Medicine; National Institute of Food and Drug Safety Evaluation: Cheongwon, Korea, 2012; pp. 552–553. [Google Scholar]
- Moon, B.C.; Kim, W.J.; Yang, S.; Park, I.; Yeo, S.M.; Noh, P. Molecular authentication of Lepidii seu Descurainiae Semen by the development of matK amplification primers and analysis of sequences. Korean J. Herbol. 2018, 33, 25–35. [Google Scholar]
- Ji, C.Y.; Kim, T.J.; Lee, S.H.; Kim, Y.S.; Lee, G.S.; Kim, J.H.; Choi, G.; Ju, Y.S. Identification of morphological appearance of fine seed herbs using stereoscope (Report I)—Celosiae Semen, Celoisae Cristatae Semen, Cuscutae Semen, Perillae Semen. J. Korean Med. 2013, 34, 1–12. [Google Scholar] [CrossRef]
- Kim, Y.S.; Ju, Y.S. Identification of morphological appearance of minute seed herbs using stereoscope (Report II)—Alli Tuberosi Semen, Alli Fistulosi Semen, Malvae Semen, Abutili Semen, Plantaginis Semen, Schizonepetae Semen. Korean J. Herbol. 2016, 31, 61–66. [Google Scholar] [CrossRef]
- Van der Valk, J.M.A.; Leon, C.J.; Nesbitt, M. Macroscopic authentication of Chinese materia medica (CMM): A UK market study of seeds and fruits. J. Herb. Med. 2017, 8, 40–51. [Google Scholar] [CrossRef]
- Ryding, O. Myxocarpy in the Nepetoideae (Lamiaceae) with notes on myxodiaspory in general. Syst. Geogr. Plants 2001, 71, 503–514. [Google Scholar] [CrossRef]
- Appel, O.; Al-Shehbaz, I.A. Generic limits and taxonomy of Hornungia, Pritzelago, and Hymenolobus (Brassicaceae). Novon 1997, 7, 338–340. [Google Scholar] [CrossRef]
- Beier, B.A.; Chase, M.; Thulin, M. Phylogenetic relationships and taxonomy of subfamily Zygophylloideae (Zygophyllaceae) based on molecular and morphological data. Plant Syst. Evol. 2003, 240, 11–39. [Google Scholar] [CrossRef]
- Karaismailoğlu, M.C. Seed mucilage contents in some taxa of Aubrieta Adans. genus (Brassicaceae) and their systematic importance. Turk. J. Life Sci. 2017, 2, 145–148. [Google Scholar]
- Kreitschitz, A.; Vallés, J. Achene morphology and slime structure in some taxa of Artemisia L. and Neopallasia L. (Asteraceae). Flora 2007, 202, 570–580. [Google Scholar] [CrossRef]
- Vaughan, J.G.; Whitehouse, J.M. Seed structure and the taxonomy of the Cruciferae. Bot. J. Linn. Soc. 1971, 64, 383–409. [Google Scholar] [CrossRef]
- Western, T.L. The sticky tale of seed coat mucilages: Production, genetics, and role in seed germination and dispersal. Seed Sci. Res. 2012, 22, 1–25. [Google Scholar] [CrossRef]
- Young, J.A.; Evans, R.A. Mucilaginous seed coats. Weed Sci. 1973, 21, 2–54. [Google Scholar]
- Barreto, L.C.; Echternacht, L.; Garcia, Q.S. Seed coat sculpture in Comanthera (Eriocaulaceae) and its implications on taxonomy and phylogenetics. Plant Syst. Evol. 2013, 299, 1461–1469. [Google Scholar] [CrossRef]
- Barthlott, W. Epidermal and seed surface characters of plants: Systematic applicability and some evolutionary aspects. Nord. J. Bot. 1981, 1, 345–355. [Google Scholar] [CrossRef]
- Bona, M. Seed-coat microsculpturing of Turkish Lepidium (Brassicaceae) and its systematic application. Turk. J. Bot. 2013, 37, 662–668. [Google Scholar] [CrossRef]
- Khalik, K.A.; Van der Maesen, L.J.G. Seed morphology of some tribes of Brassicaceae (implications for taxonomy and species identification for the flora of Egypt). Blumea 2002, 47, 363–383. [Google Scholar]
- Koul, K.K.; Nagpal, R.; Raina, S.N. Seed coat microsculpturing in Brassica and allied Genera (Subtribes Brassicinae, Raphaninae, Moricandiinae). Ann. Bot. 2000, 86, 385–397. [Google Scholar] [CrossRef]
- Lu, L.U.; Fritsch, P.W.; Bush, C.M.; Dong, L.N.; Wang, H.; Li, D.Z. Systematic implications of seed coat diversity in Gaultherieae (Ericaceae). Bot. J. Linn. Soc. 2010, 162, 477–495. [Google Scholar] [CrossRef]
- Song, J.H.; Kim, J.M.; Ok, M.K.; Hong, S.P. Comparative seed morphology of the tribe Alsineae (Caryophyllaceae) in Korea and its taxonomic implications. Korean J. Plant Taxon. 2015, 45, 369–379. [Google Scholar] [CrossRef]
- Wickham, H. ggplot2: Elegant Graphics for Data Analysis; Springer: New York, NY, USA, 2009. [Google Scholar]
- Cheo, T.Y.; Lou, L.I.; Yang, G.; Al-Shehbaz, I.A. Lepidium Linnaeus (Brassicaceae). In Flora of China; Wu, Z.Y., Raven, P.H., Eds.; Science Press and Missouri Botanical Garden Press: St. Louis, CA, USA; Beijing, China, 2001; Volume 8, pp. 28–33. [Google Scholar]
- Malviya, R.; Srivastava, P.; Kulkarni, G.T. Applications of mucilages in drug delivery—A review. Adv. Biol. Res. 2011, 5, 1–7. [Google Scholar]
- Prajapati, V.D.; Jani, G.K.; Moradiya, N.G.; Randeria, N.P. Pharmaceutical applications of various natural gums, mucilages and their modified forms. Carbohydr. Polym. 2013, 92, 1685–1699. [Google Scholar] [CrossRef] [PubMed]
- Wadhwa, J.; Nair, A.; Kumria, R. Potential of plant mucilages in pharmaceuticals and therapy. Curr. Drug. Deliv. 2013, 10, 198–207. [Google Scholar] [CrossRef] [PubMed]





| Scientific Name | Collection Site | Collection Date | Voucher No. |
|---|---|---|---|
| Descurainia sophia (L.) Webb ex Prantl * | Pyeongtaek, Gyeonggi, Korea | 11 May 2016 | MBC_KIOM-2016-049 |
| Muju, Jeonbuk, Korea | 31 May 2016 | MBC_KIOM-2016-072 | |
| Gurye, Jeonnam, Korea | 2 June 2016 | KWJ_KIOM-2016-025 | |
| Danyang, Chungbuk, Korea | 23 May 2017 | MBC_KIOM-2017-029 | |
| Lepidium apetalum Willd. * | Antu, Yanbian, Jilin, China | 30 June 2016 | MBC_KIOM-2016-088 |
| Draba nemorosa L. † | Anseong, Gyeonggi, Korea | 12 May 2017 | MBC_KIOM-2016-057 |
| Hapcheon, Gyeongnam, Korea | 7 May 2017 | MBC_KIOM-2016-029 | |
| Yuseong, Daejeon, Korea | 19 April 2016 | CGY_KIOM-2016-2 | |
| Erysimum cheiranthoides L. † | Danyang, Chungbuk, Korea | 15 July 2016 | KIOM201601017294 |
| Danyang, Chungbuk, Korea | 28 July 2016 | MBC_KIOM-2016-228 | |
| Erysimum macilentum Bunge † | Gurye, Jeonnam, Korea | 10 May 2016 | MBC_KIOM-2016-040 |
| Andong, Gyeongbuk, Korea | 25 May 2016 | CGY_KIOM-2016-008 | |
| Lepidium virginicum L. † | Sancheong, Gyeongnam, Korea | 6 May 2016 | MBC_KIOM-2016-027 |
| Buan, Jeonbuk, Korea | 1 June 2016 | MBC_KIOM-2016-075 | |
| Anseong, Gyeonggi, Korea | 12 May 2016 | MBC_KIOM-2016-059 |
| Scientific Name | Shape | Cross-Sectional Shape | WA a | Color b | Average Length (mm) | Average Width (mm) | Average 1000-Seed Weight (g) | MR c |
|---|---|---|---|---|---|---|---|---|
| Descurainia sophia | Oblong | Circular-to-elliptic | Absent | Br to RBr/S | 1.14 | 0.60 | 0.155 | + |
| Lepidium apetalum | Ovoid, obovate-to-oblong | Linear-elliptic to linear-triangular | Absent or narrow | Br to RBr/D | 1.49 | 0.84 | 0.224 | ++ |
| Draba nemorosa | Oblong-to-ovoid | Linear-elliptic | Absent | Br to RBr/D | 0.71 | 0.44 | 0.035 | - |
| Erysimum cheiranthoides | Obliquely oblong-to-obovate, pyriform | Circular or ovate | Absent | PBr to RBr/S | 1.35 | 0.62 | 0.165 | - |
| Erysimum macilentum | Oblong | Triangular-to- trapezoid | Absent | PBr to RBr/S | 1.01 | 0.50 | 0.106 | - |
| Lepidium virginicum | Ovoid, obovate-to-oblong | Linear-elliptic to linear-triangular | Wide | Br to RBr/D | 1.98 | 1.19 | 0.413 | ++ |
| Scientific Name | Ornamentation (Type) | Epidermal Cell Pattern | Anticlinal Cell Wall | Periclinal Cell Wall |
|---|---|---|---|---|
| Descurainia sophia | Simple reticulate (I-1) | Irregular, rounded-to-polygonal | Raised, straight to slightly sinuous, thick, smooth-to-fine folds | Concave, smooth |
| Lepidium apetalum | Reticulate-papillate (III-1) | Isodiametric, polygonal | Nearly indistinct, straight, thin, smooth-to-fine folds | Convex, coarse folded narrow central papillae, radiate-striate |
| Draba nemorosa | Simple reticulate (I-2) | Isodiametric, tetra-to-hexagonal | Raised, straight, thick, smooth or coarse folded papillae | Concave, smooth |
| Erysimum cheiranthoides | Reticulate-tuberculate (II-1) | Isodiametric, penta-to-hexagonal | Slightly raised, straight, thick, smooth-to-fine folds | Convex, globular narrow central tuberculae, radiate-striate |
| Erysimum macilentum | Reticulate-tuberculate (II-2) | Isodiametric, tetra-to-hexagonal | Raised, straight, thick, smooth-to-fine folds | Strongly convex, globular wide central tuberculae, radiate-striate |
| Lepidium virginicum | Reticulate-papillate (III-2) | Isodiametric, polygonal | Slightly raised, straight, thin, smooth-to-fine folds | Strongly convex, coarse folded wide central papillae, radiate-striate |
© 2018 by the authors. Licensee MDPI, Basel, Switzerland. This article is an open access article distributed under the terms and conditions of the Creative Commons Attribution (CC BY) license (http://creativecommons.org/licenses/by/4.0/).
Share and Cite
Song, J.-H.; Moon, B.C.; Choi, G.; Yang, S. Morphological Identification of Lepidii Seu Descurainiae Semen and Adulterant Seeds Using Microscopic Analysis. Appl. Sci. 2018, 8, 2134. https://doi.org/10.3390/app8112134
Song J-H, Moon BC, Choi G, Yang S. Morphological Identification of Lepidii Seu Descurainiae Semen and Adulterant Seeds Using Microscopic Analysis. Applied Sciences. 2018; 8(11):2134. https://doi.org/10.3390/app8112134
Chicago/Turabian StyleSong, Jun-Ho, Byeong Cheol Moon, Goya Choi, and Sungyu Yang. 2018. "Morphological Identification of Lepidii Seu Descurainiae Semen and Adulterant Seeds Using Microscopic Analysis" Applied Sciences 8, no. 11: 2134. https://doi.org/10.3390/app8112134
APA StyleSong, J.-H., Moon, B. C., Choi, G., & Yang, S. (2018). Morphological Identification of Lepidii Seu Descurainiae Semen and Adulterant Seeds Using Microscopic Analysis. Applied Sciences, 8(11), 2134. https://doi.org/10.3390/app8112134

