Magnetic Field Effect of Near-Field Radiative Heat Transfer for SiC Nanowires/Plates
Abstract
1. Introduction
2. Theoretical Formulation
2.1. Geometry and Radiative Properties of SiC Nanowires
2.2. Effective Medium Theory
3. Results and Discussion
3.1. Spectral Heat Fluxes and Transmission Coefficient
3.2. Effect of Structure Parameters
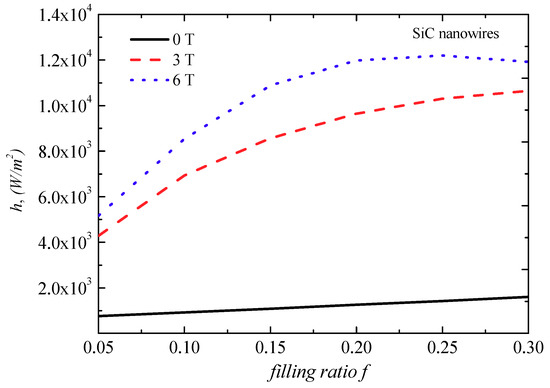
3.2.1. Filling Ratio
3.2.2. Gap Distance
4. Conclusions
Author Contributions
Funding
Conflicts of Interest
References
- Planck, M. The Theory of Heat Radiation; Dover: New York, NY, USA, 1991. [Google Scholar]
- Fu, C.; Zhang, Z.M. Nanoscale radiation heat transfer for silicon at different doping levels. Int. J. Heat Mass Transfer 2005, 49, 1703–1718. [Google Scholar] [CrossRef]
- Guha, B.; Otey, C.; Poitras, C.B.; Fan, S. Near-field Radiative Cooling of Nanostructures. Nano Lett. 2012, 12, 4546–4550. [Google Scholar] [CrossRef] [PubMed]
- Basu, S.; Wang, L.P. Near-field radiative heat transfer between doped silicon nanowire arrays. Appl. Phys. Lett. 2013, 102, 053101. [Google Scholar] [CrossRef]
- Park, Z.M.; Zhang, Z. Fundamentals and Applications of Near field Radiative Energy Transfer. Front. Heat Mass Transfer 2013, 4, 1083. [Google Scholar] [CrossRef]
- Joulain, K.; Mulet, J.-P.; Marquier, F.; Carminati, R.; Greffet, J.-J. Surface electromagnetic waves thermally excited: Radiative heat transfer, coherent properties and Casimir forces revisited in the near heat. Surf. Sci. Rep. 2005, 57, 59–112. [Google Scholar] [CrossRef]
- Shen, S.; Narayanaswamy, A.; Petersen, G. Surface Phonon Polaritons Mediated Energy Transfer between Nanoscale Gaps. Nano Lett. 2009, 9, 2909–2913. [Google Scholar] [CrossRef] [PubMed]
- Francoeur, M.; Basu, S.; Petersen, S.J. Electric and Magnetic Surface Polariton Mediated Near field Radiative Heat Transfer between Metamaterials Made of Silicon Carbide Particles. Opt. Express 2011, 19, 18774–18788. [Google Scholar] [CrossRef] [PubMed]
- Song, B.; Thompson, D.; Fiorino, A.; Ganjeh, Y.; Reddy, P.; Meyhofer, E. Radiative heat conductances between dielectric and metallic parallel plates with nanoscale gaps. Nat. Nanotechnol. 2016, 11, 509–514. [Google Scholar] [CrossRef] [PubMed]
- St-Gelais, R.; Zhu, L.; Fan, S.; Lipson, M. Near-field radiative heat transfer between parallel structures in the deep subwacelength regime. Nat. Nanotechnol. 2016, 11, 515–519. [Google Scholar] [CrossRef] [PubMed]
- Guo, Y.; Cortes, C.L.; Molesky, S.; Jacob, Z. Broadband super-Planckian thermal emission from hyperbolic metamaterials. Appl. Phys. Lett. 2012, 101, 131106. [Google Scholar] [CrossRef]
- Chin, J.Y.; Steinle, T.; Wehlus, T.; Dregely, D.; Weiss, T.; Belotelov, V.I.; Stritzker, B.; Giessen, H. Nonreciprocal plasmonics enables giant enhancement of thinfilm Faradayrotation. Nat. Commun. 2013, 4, 1599. [Google Scholar] [CrossRef] [PubMed]
- Messina, R.; Ben-Abdallah, P. Graphene-based photovoltaic cells for near-field thermal energy conversion. Sci. Rep. 2016, 3, 1383. [Google Scholar] [CrossRef] [PubMed]
- Basu, S.; Zhang, Z.M.; Fu, C.J. Review of near-field thermal radiation and its application to energy conversion. Int. J. Energy Res. 2009, 33, 1203–1232. [Google Scholar] [CrossRef]
- Park, K.; Basu, S.; King, W.P.; Zhang, Z.M. Performance analysis of near-field thermophotovoltaic devices considering absorption distribution. J. Quant. Spectrosc. Radiat. Transfer 2008, 109, 305–316. [Google Scholar] [CrossRef]
- Wang, L.P.; Zhang, Z.M. Thermal rectification enabled by near-field radiative heat transfer between intrinsic silicon and other materials. Nanoscale Microscale Thermophys. Eng. 2013, 17, 337–348. [Google Scholar] [CrossRef]
- Dransfeld, K.; Xu, J. The heat transfer between a heated tip and a substrate: Fast thermal microscopy. J. Microsc. 1988, 152, 35–42. [Google Scholar] [CrossRef]
- Greenm, M.A. Time-asymmetric photovoltaics. Nano Lett. 2012, 12, 5985–5988. [Google Scholar] [CrossRef] [PubMed]
- Gu, W.H.; Chang, S.J.; Fan, F.; Zhang, X.Z. InSb based subwavelength array for terahertz wave focusing. Wuli Xuebao 2016, 65, 010701. [Google Scholar]
- Tabert, C.J.; Nicol, E.J. Valley-spin polarization in the magneto-optical response of silicone and other similar 2D crystals. Phys. Rec. Lett. 2013, 110, 197402. [Google Scholar] [CrossRef] [PubMed]
- Wu, H.H.; Huang, Y.; Zhu, K.Y. Near field radiative transfer between magneto-dielectric uniaxial anisotropic media. Opt. Lett. 2015, 40, 4532–4535. [Google Scholar] [CrossRef] [PubMed]
- Song, J.; Cheng, Q. Near-field radiative heat transfer between grapheme and anisotropic magneto-dielectric hyperbolic metamaterials. Phys. Rev. B 2016, 94, 125419. [Google Scholar] [CrossRef]
- Basu, S.; Lee, B.J.; Zhang, Z.M. Near Field radiation calculated with an improved dielectric function model for doped silicon. J. Heat Transfer 2010, 132, 023302. [Google Scholar] [CrossRef]
- Yang, Y.; Sabbaghi, P.; Wang, L. Effect of magnetic polaritons in SiC deep gratings on near field radiative transfer. Int. J. Heat Mass Transfer 2017, 108, 851–859. [Google Scholar] [CrossRef]
- Wang, H.; Wu, H.; Zhou, J.Q. Nonreciprocal Optical Properties based on Magneto-optical materials: N-InAs, GaAs and HgCdTe. J. Quant. Spectrosc. RA 2018, 206, 254–259. [Google Scholar] [CrossRef]
- Wang, H.; Wu, H.; Shen, Z.Y. Nonreciprocal optical properties of thermal radiation with SiC grating magneto-optical materials. Opt. Express 2017, 25, 19609–19618. [Google Scholar] [CrossRef] [PubMed]
- Palik, E.D. Handbook of Optical Constants of Solids; Academic Press: San Diego, CA, USA, 1985; Volume 1. [Google Scholar]
- Wang, H.; Liu, X.L.; Wang, L.P.; Zhang, Z.M. Anisotropic optical properties of silicon nanowire arrays based on the effective medium approximation. Int. J. Therm. Sci. 2013, 65, 62–69. [Google Scholar] [CrossRef]
- Liu, X.L.; Zhang, R.Z.; Zhang, Z.M. Near field radiative heat transfer with doped-silicon nanostructured metamaterical. Int. J. Heat Mass Transfer 2014, 73, 389–398. [Google Scholar] [CrossRef]








© 2018 by the authors. Licensee MDPI, Basel, Switzerland. This article is an open access article distributed under the terms and conditions of the Creative Commons Attribution (CC BY) license (http://creativecommons.org/licenses/by/4.0/).
Share and Cite
Shen, Z.; Wu, H.; Wang, H. Magnetic Field Effect of Near-Field Radiative Heat Transfer for SiC Nanowires/Plates. Appl. Sci. 2018, 8, 2023. https://doi.org/10.3390/app8112023
Shen Z, Wu H, Wang H. Magnetic Field Effect of Near-Field Radiative Heat Transfer for SiC Nanowires/Plates. Applied Sciences. 2018; 8(11):2023. https://doi.org/10.3390/app8112023
Chicago/Turabian StyleShen, Zhiyuan, Hao Wu, and Han Wang. 2018. "Magnetic Field Effect of Near-Field Radiative Heat Transfer for SiC Nanowires/Plates" Applied Sciences 8, no. 11: 2023. https://doi.org/10.3390/app8112023
APA StyleShen, Z., Wu, H., & Wang, H. (2018). Magnetic Field Effect of Near-Field Radiative Heat Transfer for SiC Nanowires/Plates. Applied Sciences, 8(11), 2023. https://doi.org/10.3390/app8112023

