Comparison of Water Curtain Effectiveness in the Elimination of Airborne Vapours of Ammonia, Acetone, and Low-Molecular Aliphatic Alcohols
Abstract
:1. Introduction
2. Experimental Part
2.1. Materials
2.2. Research Methodology
3. Results and Discussion
- [A]:
- concentration of vapours of the tested substance in the chamber [ppm]
- G:
- coefficient of jet geometry understood as a volume covered by the jet of the curtain in relation to the volume of the measurement chamber
- k:
- actual constant of the rate of absorption process [m−2 s−1]
- kp:
- apparent constant of the rate of absorption process [s−1]
- kG:
- geometric constant of the rate of absorption process [m−2 s−1]
- Sw:
- absorption surface generated in a time unit [m2 s−1]
- tf:
- time of droplet passage through gas cloud [s]
- q:
- effectiveness of the water curtain in time unit [m3/s]
- Vk:
- average volume of single droplet [m3]
- R:
- average radius of single droplet [m]
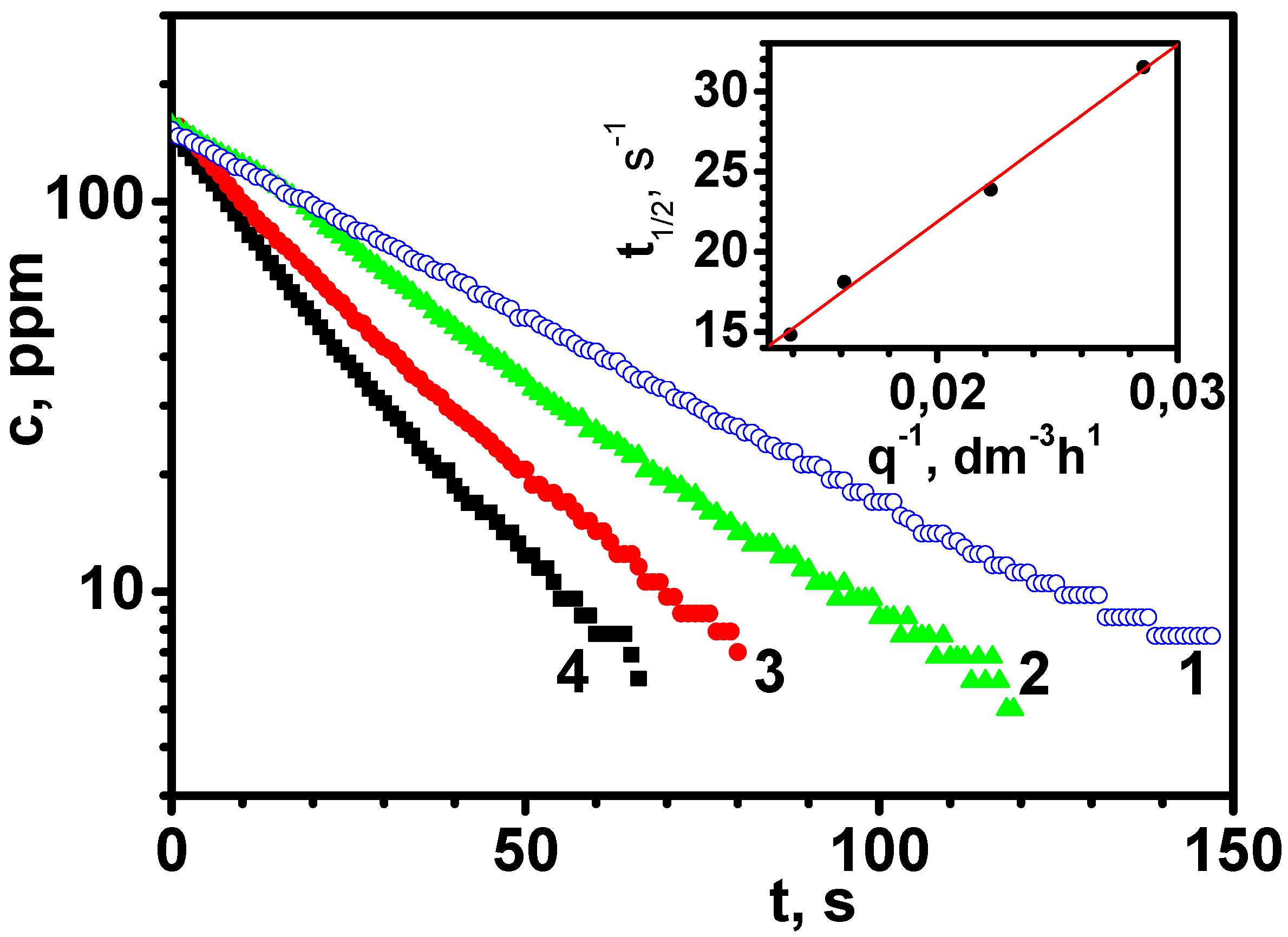
3.1. Ammonia
3.2. Alcohols
3.3. Acetone
4. Conclusions
Author Contributions
Funding
Conflicts of Interest
References
- Shen, X.; Zhang, J.; Hua, M.; Pan, X. Experimental research on decontamination effect of water curtain containing compound organic acids on the leakage of ammonia. Proc. Safety Environ. Prot. 2017, 105, 250–261. [Google Scholar] [CrossRef]
- Hua, M.; Shen, X.; Zhang, J.; Pan, X. Protective water curtain ammonia absorption efficency enhancement by inorganic acid and surfactants additives. Proc. Saf. Environ. Prot. 2018, 116, 737–744. [Google Scholar] [CrossRef]
- Dandrieux, A.; Dusserre, G.; Ollivier, J.; Fournet, H. Effectiveness of water curtains to protect firemen in case of an accidental release of ammonia: Comparison of the effectiveness for two different release rates of ammonia. J. Loss Prev. Ind. 2001, 14, 349–355. [Google Scholar] [CrossRef]
- Isnard, O.; Soulhac, L.; Dusserre, G. Numerical simulation of ammonia dispersion around a water curtain. J. Loss Prev. Ind. 1999, 12, 471–477. [Google Scholar] [CrossRef]
- Hua, M.; Qi, M.; Yue, T.; Pi, X.; Pan, X.; Jiang, J.C. Experimental research on water curtain scavenging ammonia dispersion in confined space. Procedia Eng. 2018, 211, 256–261. [Google Scholar] [CrossRef]
- Cheng, C.; Tan, W.; Du, H.; Liu, L. A modified steady-state model for evaluation of ammonia concentrations behind a water curtain. J. Loss Prev. Ind. 2015, 36, 120–124. [Google Scholar] [CrossRef]
- Węsierski, T.; Majder-Łopatka, M.; Matuszkiewicz, R.; Porowski, R. Study on the effectiveness of water curtains to control of ammonia vapors during its uncontrolled release. Przem. Chem. 2012, 91, 1424–1426. (In Polish) [Google Scholar]
- Bara, A.; Dusserre, G. The use of water curtains to protect firemen in case of heavy gas dispersion. J. Loss Prev. Ind. 1997, 10, 179–183. [Google Scholar] [CrossRef]
- Dandrieux, A.; Dusserre, G.; Ollivier, J. Small scale field experiments of chlorine dispersion. J. Loss Prev. Ind. 2002, 15, 5–10. [Google Scholar] [CrossRef]
- Fthenakis, V.M.; Blewitt, D.N. Mitigation of hydrofluoric acid release: Simulation of the performance of water spraying systems. J. Loss Prev. Ind. 1993, 6, 209–218. [Google Scholar] [CrossRef]
- Węsierski, T. Effectiveness of water curtains during fighting against vapors of saturated linear low molecular mass alcohols during its uncontrolled release. Przem. Chem. 2015, 94, 728–730. (In Polish) [Google Scholar]
- Rana, M.A.; Mannan, M.S. Forced dispersion of LNG vapor with water curtain. J. Loss Prev. Ind. 2010, 23, 768–772. [Google Scholar] [CrossRef]
- Rana, M.A.; Cormier, B.R.; Suardin, J.A.; Zhang, Y.; Mannan, M.S. Experimental study of effective water spray curtain application in dispersing liquefied natural gas vapor clouds. Proc. Saf. Prog. 2008, 27, 345–353. [Google Scholar] [CrossRef]
- Rana, M.A.; Mannan, M.S. Water Curtain Application for Forced Dispersion of LNG Vapor. In Proceedings of the O’Connor 9th Topical Conference on Natural Gas Utilization, AIChE Spring National Meeting, Tampa, FL, USA, 26–30 April 2009. [Google Scholar]
- Rana, M.A.; Guo, Y.; Mannan, M.S. Use of water spray curtain to disperse LNG vapor clouds. J. Loss Prev. Ind. 2010, 23, 77–88. [Google Scholar] [CrossRef]
- Qi, M.; Yue, T.; Hua, M.; Pan, X.; Jiang, J. Experimental research on water curtain diluting heavy gas dispersion in limited space with no ventilation. J. Loss Prev. Ind. 2016, 43, 471–478. [Google Scholar] [CrossRef]
- Thomas, P.H. Absorption and Scattering of Radiation by Water Sprays of Large Drops. Br. J. Appl. Phys. 1952, 3, 385–393. [Google Scholar] [CrossRef]
- Fthenakis, V.M.; Schatz, K.W.; Rohatgi, U.S.; Zakkay, V. Computation of Flow Fields Induced by Water Spraying of an Unconfined Gaseous Plume. J. Fluids Eng. 1993, 115, 742–750. [Google Scholar] [CrossRef]
- Twomey, S. Atmospheric Aerosols; Elsevier Scientific Publishing Company: Amsterdam, The Netherlands, 1977. [Google Scholar]
- Galus, Z. Fundamentals of Electrochemical Analysis; Horwood: Warsaw, Poland, 1994. [Google Scholar]
- Laviron, E. Influence de l’adsorption du dépolarisant ou d’un produit de la réaction électrochimique sur les réaction électrochimique sur les courants polarographiques. Bull. Soc. Chim. Fr. 1968, 5, 2256–2260. [Google Scholar]











| co | q | kp | t1/2 |
|---|---|---|---|
| Ppm | dm3 h−1 | s−1 | S |
| 4950 | 95 | 0.0413 | 16.78 |
| 2860 | 95 | 0.0521 | 13.29 |
| 550 | 95 | 0.0549 | 12.62 |
| 147 | 72 | 0.0467 | 14.84 |
| 156 | 62 | 0.0383 | 18.11 |
| 144 | 45 | 0.0290 | 23.88 |
| 152 | 35 | 0.0220 | 31.51 |
| q | kp | t1/2 | |
|---|---|---|---|
| dm3 h−1 | s−1 | s | |
| Methanol | 35 | 0.00506 | 137 |
| Ethanol | 35 | 0.00163 | 425 |
| 1-propanol | 35 | 0.00132 | 523 |
| 1-buthanol | 35 | 0.00089 | 782 |
| q, dm3 h−1 | kp, s−1 | t1/2, s |
|---|---|---|
| 25 | 0.00399 | 174 |
| 35 | 0.00450 | 154 |
| 43 | 0.00495 | 140 |
| 57 | 0.00570 | 122 |
© 2018 by the authors. Licensee MDPI, Basel, Switzerland. This article is an open access article distributed under the terms and conditions of the Creative Commons Attribution (CC BY) license (http://creativecommons.org/licenses/by/4.0/).
Share and Cite
Węsierski, T.; Majder-Łopatka, M. Comparison of Water Curtain Effectiveness in the Elimination of Airborne Vapours of Ammonia, Acetone, and Low-Molecular Aliphatic Alcohols. Appl. Sci. 2018, 8, 1971. https://doi.org/10.3390/app8101971
Węsierski T, Majder-Łopatka M. Comparison of Water Curtain Effectiveness in the Elimination of Airborne Vapours of Ammonia, Acetone, and Low-Molecular Aliphatic Alcohols. Applied Sciences. 2018; 8(10):1971. https://doi.org/10.3390/app8101971
Chicago/Turabian StyleWęsierski, Tomasz, and Małgorzata Majder-Łopatka. 2018. "Comparison of Water Curtain Effectiveness in the Elimination of Airborne Vapours of Ammonia, Acetone, and Low-Molecular Aliphatic Alcohols" Applied Sciences 8, no. 10: 1971. https://doi.org/10.3390/app8101971
APA StyleWęsierski, T., & Majder-Łopatka, M. (2018). Comparison of Water Curtain Effectiveness in the Elimination of Airborne Vapours of Ammonia, Acetone, and Low-Molecular Aliphatic Alcohols. Applied Sciences, 8(10), 1971. https://doi.org/10.3390/app8101971

