The Influence of Dynamic Tissue Properties on HIFU Hyperthermia: A Numerical Simulation Study
Abstract
1. Introduction
2. Theory
2.1. Acoustic Model for Ultrasound Wave Propagation
2.2. Thermal Energy Model for Tissue Heating
2.3. Dynamic Tissue Propertiesc
2.4. Description of the Simulation
3. Result and Discussion
3.1. Dynamic Acoustic Absorption Coefficient
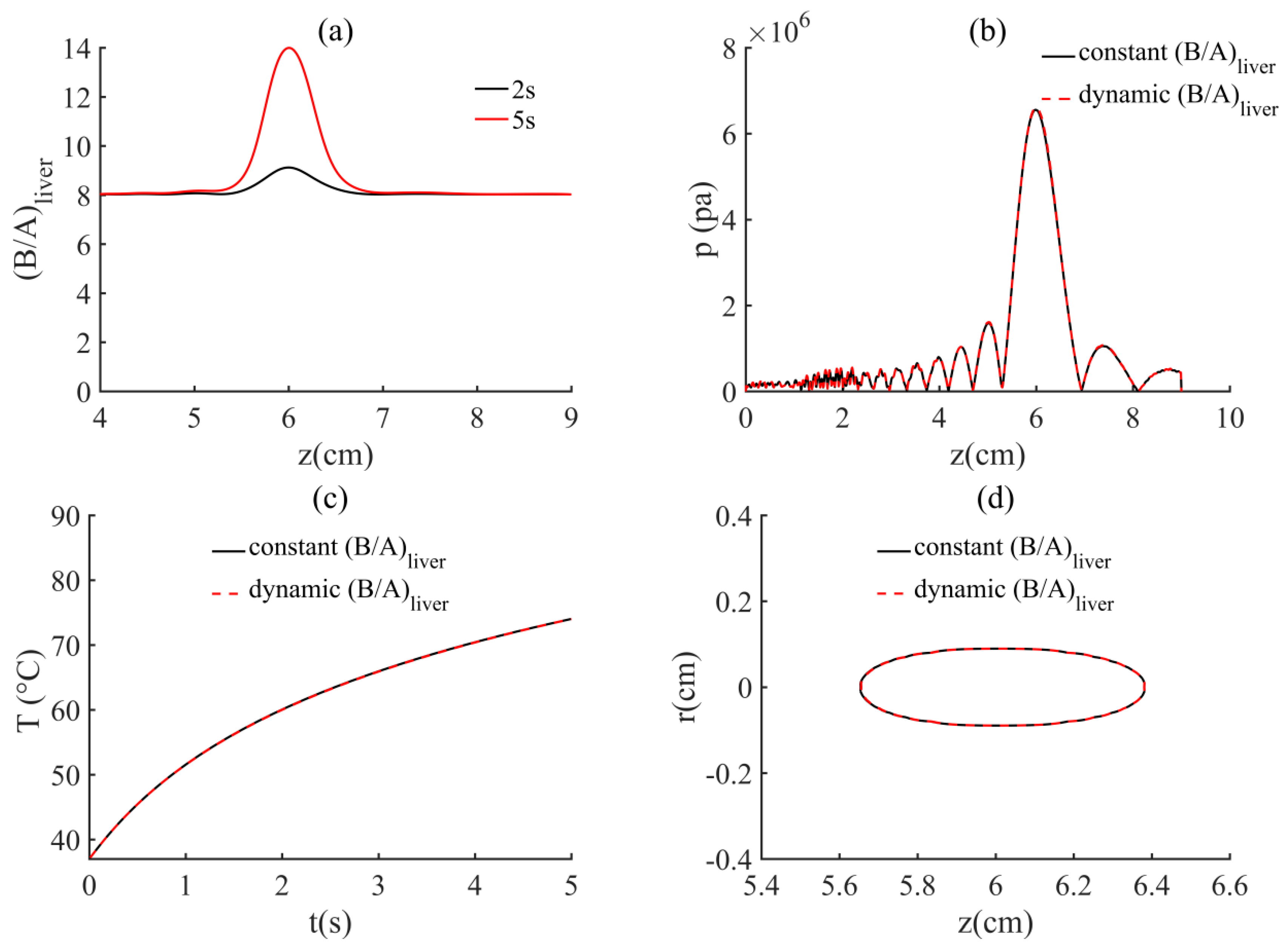
3.2. Dynamic Non-linearity Parameter
3.3. Dynamic Sound Speed, Specific Heat Capacity, Thermal Conductivity, and Density
3.4. Dynamic Blood Perfusion
3.5. Considering All Dynamic Tissue Properties
4. Conclusions
Author Contributions
Acknowledgments
Conflicts of Interest
References
- Chen, W.; Sun, K.; Zheng, R.; Zeng, H.; Zhang, S.; Xia, C.; Yang, Z.; Li, H.; Zou, X.; He, J. Cancer incidence and mortality in China, 2014. Chin. J. Cancer Res. 2018, 30, 1–12. [Google Scholar] [CrossRef] [PubMed]
- Cranston, D. A review of high intensity focused ultrasound in relation to the treatment of renal tumours and other malignancies. Ultrason. Sonochem. 2015, 27, 654–658. [Google Scholar] [CrossRef] [PubMed]
- Manthe, R.L.; Foy, S.P.; Krishnamurthy, N.; Sharma, B.; Labhasetwar, V. Tumor Ablation and Nanotechnology. Mol. Pharm. 2010, 7, 1880–1898. [Google Scholar] [CrossRef] [PubMed]
- Zhou, Y. Acoustic power measurement of high-intensity focused ultrasound transducer using a pressure sensor. Med. Eng. Phys. 2015, 37, 335–340. [Google Scholar] [CrossRef] [PubMed]
- Xiao, J.; Sun, T.; Zhang, S.; Ma, M.; Yang, X.; Zhou, J.; Zhu, J.; Wang, F. HIFU, a noninvasive and effective treatment for chyluria: 15 years of experience. Surg. Endosc. 2018, 32, 3064–3069. [Google Scholar] [CrossRef] [PubMed]
- Nover, A.B.; Hou, G.Y.; Han, Y.; Wang, S.; O’Connell, G.D.; Ateshian, G.A.; Konofagou, E.E.; Hung, C.T. High intensity focused ultrasound as a tool for tissue engineering: Application to cartilage. Med. Eng. Phys. 2016, 38, 192–198. [Google Scholar] [CrossRef] [PubMed]
- Huang, C.W.; Sun, M.K.; Chen, B.T.; Shieh, J.; Chen, C.S.; Chen, W.S. Simulation of thermal ablation by high-intensity focused ultrasound with temperature-dependent properties. Ultrason. Sonochem. 2015, 27, 456–465. [Google Scholar] [CrossRef] [PubMed]
- Qian, K.; Li, C.; Ni, Z.; Tu, J.; Guo, X.; Zhang, D. Uniform tissue lesion formation induced by high-intensity focused ultrasound along a spiral pathway. Ultrasonics 2017, 77, 38–46. [Google Scholar] [CrossRef] [PubMed]
- Guntur, S.R.; Choi, M.J. Influence of Temperature-Dependent Thermal Parameters on Temperature Elevation of Tissue Exposed to High-Intensity Focused Ultrasound: Numerical Simulation. Ultrasound Med. Biol. 2015, 41, 806–813. [Google Scholar] [CrossRef] [PubMed]
- Damianou, C.A.; Sanghvi, N.T.; Fry, F.J.; Maass-Moreno, R. Dependence of ultrasonic attenuation and absorption in dog soft tissues on temperature and thermal dose. J. Acoust. Soc. Am. 1997, 102, 628–634. [Google Scholar] [CrossRef] [PubMed]
- Bamber, J.C.; Hill, C.R. Ultrasonic attenuation and propagation speed in mammalian tissues as a function of temperature. Ultrasound Med. Biol. 1979, 5, 149–157. [Google Scholar] [CrossRef]
- Choi, M.J.; Guntur, S.R.; Lee, J.M.; Paeng, D.G.; Lee, K.I.L.; Coleman, A. Changes in Ultrasonic Properties of Liver Tissue In Vitro During Heating-Cooling Cycle Concomitant with Thermal Coagulation. Ultrasound Med. Biol. 2011, 37, 2000–2012. [Google Scholar] [CrossRef] [PubMed]
- Guntur, S.R.; Lee, K.I.; Paeng, D.G.; Coleman, A.J.; Choi, M.J. Temperature-Dependent Thermal Properties of Ex Vivo Liver Undergoing Thermal Ablation. Ultrasound Med. Biol. 2013, 39, 1771–1784. [Google Scholar] [CrossRef] [PubMed]
- Hallaj, I.M.; Cleveland, R.O.; Hynynen, K. Simulations of the thermo-acoustic lens effect during focused ultrasound surgery. J. Acoust. Soc. Am. 2001, 109, 2245–2253. [Google Scholar] [CrossRef] [PubMed]
- Christopher, W.C.; Kullervo, H. Bio-acoustic thermal lensing and nonlinear propagation in focused ultrasound surgery using large focal spots: A parametric study. Phys. Med. Biol. 2002, 47, 1911–1928. [Google Scholar]
- Doinikov, A.A.; Novell, A.; Calmon, P.; Bouakaz, A. Simulations and measurements of 3-D ultrasonic fields radiated by phased-array transducers using the westervelt equation. IEEE Trans. Ultrason. Ferroelectr. Freq. Control 2014, 61, 1470–1477. [Google Scholar] [CrossRef] [PubMed]
- Solovchuk, M.A.; Sheu, T.W.H.; Thiriet, M.; Lin, W.L. On a computational study for investigating acoustic streaming and heating during focused ultrasound ablation of liver tumor. Appl. Therm. Eng. 2013, 56, 62–76. [Google Scholar] [CrossRef]
- Liu, G.; Jayathilake, P.G.; Khoo, B.C. Perturbation method for the second-order nonlinear effect of focused acoustic field around a scatterer in an ideal fluid. Ultrasonics 2014, 54, 576–585. [Google Scholar] [CrossRef] [PubMed]
- Mur, G. Absorbing Boundary Conditions for the Finite-Difference Approximation of the Time-Domain Electromagnetic-Field Equations. IEEE Trans. 1981, -23. [Google Scholar] [CrossRef]
- Pennes, H.H. Analysis of tissue and arterial blood temperatures in the resting human forearm. J. Appl. Physiol. 1948, 1, 93–122. [Google Scholar] [CrossRef] [PubMed]
- Sapareto, S.A.; Dewey, W.C. Thermal dose determination in cancer therapy. Int. J. Radiat. Oncol. 1984, 10, 787–800. [Google Scholar] [CrossRef]
- Jiang, S.; Zhang, X. Effects of dynamic changes of tissue properties during laser-induced interstitial thermotherapy (LITT). Laser Med. Sci. 2005, 19, 197–202. [Google Scholar] [CrossRef] [PubMed]
- Shibib, K.S.; Munshid, M.A.; Lateef, H.A. The effect of laser power, blood perfusion, thermal and optical properties of human liver tissue on thermal damage in LITT. Laser Med. Sci. 2017, 32, 2039–2046. [Google Scholar] [CrossRef] [PubMed]
- Zhou, J.; Chen, J.K.; Zhang, Y. Simulation of Laser-Induced Thermotherapy Using a Dual-Reciprocity Boundary Element Model with Dynamic Tissue Properties. IEEE Trans. Biomed. Eng. 2010, 57, 238–245. [Google Scholar] [CrossRef] [PubMed]
- London, R.A.; Glinsky, M.E.; Zimmerman, G.B.; Bailey, D.S.; Eder, D.C.; Jacques, S.L. Laser–tissue interaction modeling with LATIS. Appl. Opt. 1997, 36, 9068–9074. [Google Scholar] [CrossRef] [PubMed]
- Hallaj, I.M.; Cleveland, R.O. FDTD simulation of finite-amplitude pressure and temperature fields for biomedical ultrasound. J. Acoust. Soc. Am. 1999, 105, L7–L12. [Google Scholar] [CrossRef] [PubMed]
- Yang, D.; Converse, M.C.; Mahvi, D.M.; Webster, J.G. Expanding the Bioheat Equation to Include Tissue Internal Water Evaporation During Heating. IEEE Trans. Biomed. Eng. 2007, 54, 1382–1388. [Google Scholar] [CrossRef] [PubMed]
- Roggan, A.; Mueller, G.J. Two-dimensional computer simulations for real-time irradiation planning of laser-induced interstitial thermotherapy (LITT). In Medical Applications of Lasers II; International Society for Optics and Photonics: Lille, France, 1994; pp. 242–253. [Google Scholar]










| Material | β | |||
|---|---|---|---|---|
| Water | 1000 | 1500 | 3.5 | |
| Liver | 1036 | 1596 | 3.5 | 5 |
| Material | |||
|---|---|---|---|
| Water | 0.6 | 4180 | 0 |
| Liver | 0.5 | 3560 | 18.2 |
© 2018 by the authors. Licensee MDPI, Basel, Switzerland. This article is an open access article distributed under the terms and conditions of the Creative Commons Attribution (CC BY) license (http://creativecommons.org/licenses/by/4.0/).
Share and Cite
Tan, Q.; Zou, X.; Ding, Y.; Zhao, X.; Qian, S. The Influence of Dynamic Tissue Properties on HIFU Hyperthermia: A Numerical Simulation Study. Appl. Sci. 2018, 8, 1933. https://doi.org/10.3390/app8101933
Tan Q, Zou X, Ding Y, Zhao X, Qian S. The Influence of Dynamic Tissue Properties on HIFU Hyperthermia: A Numerical Simulation Study. Applied Sciences. 2018; 8(10):1933. https://doi.org/10.3390/app8101933
Chicago/Turabian StyleTan, Qiaolai, Xiao Zou, Yajun Ding, Xinmin Zhao, and Shengyou Qian. 2018. "The Influence of Dynamic Tissue Properties on HIFU Hyperthermia: A Numerical Simulation Study" Applied Sciences 8, no. 10: 1933. https://doi.org/10.3390/app8101933
APA StyleTan, Q., Zou, X., Ding, Y., Zhao, X., & Qian, S. (2018). The Influence of Dynamic Tissue Properties on HIFU Hyperthermia: A Numerical Simulation Study. Applied Sciences, 8(10), 1933. https://doi.org/10.3390/app8101933
