Next Article in Journal
Gas Sensor Design Based on a Line Locked Tunable Fiber Laser and the Dual Path Correlation Spectroscopy Method
Previous Article in Journal
ECOAL Project—Delivering Solutions for Integrated Monitoring of Coal-Related Fires Supported on Optical Fiber Sensing Technology
 
 
Font Type:
Arial Georgia Verdana
Font Size:
Aa Aa Aa
Line Spacing:
Column Width:
Background:
Article

An On-Line Oxygen Forecasting System for Waterless Live Transportation of Flatfish Based on Feature Clustering

1
College of Information and Electrical Engineering, China Agricultural University, Beijing 100083, China
2
School of Electronic Information, Shandong Institute of Commerce and Technology, Jinan 250103, China
3
College of Engineering, Beijing Lab for Food Quality and Safety, China Agricultural University, Beijing 100083, China
4
School of Logistics, Beijing Wuzi University, Beijing 101149, China
*
Author to whom correspondence should be addressed.
Appl. Sci. 2017, 7(9), 957; https://doi.org/10.3390/app7090957
Submission received: 31 July 2017 / Revised: 4 September 2017 / Accepted: 12 September 2017 / Published: 18 September 2017

Abstract

:

Featured Application

The proposed method could be adapted into other sea fish on-line ambient monitoring and optimal regulation applications of waterless live transportation.

Abstract

Accurate prediction of forthcoming oxygen concentration during waterless live fish transportation plays a key role in reducing the abnormal occurrence, increasing the survival rate in delivery operations, and optimizing manufacturing costs. The most effective ambient monitoring techniques that are based on the analysis of historical process data when performing forecasting operations do not fully consider current ambient influence. This is likely lead to a greater deviation in on-line oxygen level forecasting in real situations. Therefore, it is not advisable for the system to perform early warning and on-line air adjustment in delivery. In this paper, we propose a hybrid method and its implementation system that combines a gray model (GM (1, 1)) with least squares support vector machines (LSSVM) that can be used effectively as a forecasting model to perform early warning effectively according to the dynamic changes of oxygen in a closed system. For accurately forecasting of the oxygen level, the fuzzy C-means clustering (FCM) algorithm was utilized for classification according to the flatfish’s physical features—i.e., length and weight—for more pertinent training. The performance of the gray model-particle swarm optimization-least squares support vector machines (GM-PSO-LSSVM) model was compared with the traditional modeling approaches of GM (1, 1) and LSSVM by applying it to predict on-line oxygen level, and the results showed that its predictions were more accurate than those of the LSSVM and grey model. Therefore, it is a suitable and effective method for abnormal condition forecasting and timely control in the waterless live transportation of flatfish.

1. Introduction

For the Chinese domestic seafood farmer, live fish sales in seafood markets provide an important avenue through which to obtain high profit margins [1,2]. As consumer demand and the marketplace to develop capacity for the supply of live seafood, the price conditions will shift the according competitive supply for specific markets. Outside of the cost of producing or capturing seafood (as in catching fisheries) the primary cost associated with conventional delivery of live sea fish to market is the freight cost of water weight [3,4,5]. For example, if live sea fish are shipped at a ratio of 1:3 to water weight, 75% of fuel and transport costs are attributed to just haul water; in addition to the cost of maintaining temperature and oxygenation or aeration [6]. Shipping live fish without water is also a proven method for relatively high survival in delivery for some sea fish, such as flatfish and Crucian carp. Sufficient margins can be obtained with lower energy consumption and very high volumes of live fish delivery; this is pertinent to economies of scale, which quickly cater for niche markets [7,8,9,10].
Many sea fish have been shipped live, however, the waterless live shipping marketplace in China has not been well established yet [11,12], and there are challenges with respect to their sensitivity to colder shipping temperatures and higher bio-energetic rates, which complicates shipping in a sealed atmosphere. In these shipping conditions, sea fish undergo an anesthetization procedure by slowly reducing water temperature before packing; thereafter they are placed on top and packed in insulated containers with a method of sealed oxygen enrichment (typically in sealed bags or fresh keeping boxes). Live sea fish are received at the destination, inspected for survival, and re-acclimated into tanks or aquarium cabinets for live sale.
With the opportunities that live shipping with waterless conditions present, this method also presents several challenges that require some practical experience and testing. The principle behind waterless shipping is to minimize metabolism (proportional to temperature) and keep sea fish in a live state with adequate oxygen with moisture, but not liquid [13,14,15,16].
With good temperature control and proper oxygen filled packaging, acceptable survival rates have been observed for shipping times over 30 h in our project. As with conventional shipping of live fish, timing is important. Full stacking of stressed fish, with decreased oxygen and temperature variation will likely result in moderate to high losses; shipping at a reasonable oxygen concentration will yield significantly higher survival rates. A lot of literature in the current study is focused on dissolved oxygen acquisition and monitoring. However, fish delivery systems often contain certain levels of oxygen that do not provide enough oxygen to satisfy the fish bodies [13,14,15,16,17,18]. To offset this predicament, the fish will shift its metabolism to use the stored oxygen of the body, however, this will cause stress response and even reduce the survival rate. Moreover, during fish shipment in closed systems, the pressurized oxygen atmosphere usually is a significant factor for high survival in waterless transportation. Oxygen deficit may occur in exceptional cases when the density of fish is too high or the transport is of longer duration than the fish can stand.
With full consideration of oxygen changes for the influence of fish survival quality, it is necessary to construct an oxygen level forecasting model as the basis of scientific adjustment measurement for sea fish live transportation. Consequently, taking the fish size and weight as well as transportation space into account, clustering these features are effective ways to classify the train subjects for further pertinent training. The gray model-particle swarm optimization-least squares support vector machines (GM-PSO-LSSVM), LSSVM, and GM mathematical models are compared for comprehensive accurate forecasting. After experiments, the mixed model GM-PSO-LSSVM is preprocessed by fuzzy clustered training that can effectively improve accuracy and provide a sound basis for early warning and adaptive controlling for live fish survival. In this paper, flatfish, which are typical sea fish, have been chosen as experimental subjects for oxygen forecasting processing.
This paper is organized as follows. Section 2 gives oxygen concentration forecasting model design for waterless delivery, and ambient sensing hardware as well as harvesting procedures. In Section 3 the performance criteria for a forecasting method that is listed and comprehensively evaluates the performance of oxygen prediction in different methods is proposed. Section 4 describes the significant results of a forecasting system for waterless transportation, and discusses the advantages and limitations of the proposed system. Finally, Section 5 summarizes the conclusions and put forward the forthcoming research directions.

2. Materials and Methods

2.1. Ambient Oxygen Concentration Forecasting Model Design

Waterless Transportation Process for Flatfish

The work flow of live sea fish delivery with cooling condition can be roughly divided into three parts: the pre-transportation processing stage, the packaging processing and monitoring stage, and the waterless live transportation and recovery stage. The more specific procedure of delivery is demonstrated as follows.
  • The pre-transportation processing stage: in this stage live fish are caught from the aquaculture pond, and the healthy fish are picked and moved to the aquatic plants for pre-transport processing. The fish to be transported must be healthy and in good condition. Weakened individuals should be eliminated from the consignment.
  • The packaging processing and monitoring stage: the hibernated fish are caught from the pond, and are carefully placed on a tray. After weighing, they are piled up in a fresh-keeping box that is equipped with observation sensors for each box. Then, the box is filled with pure oxygen and sealed, inducing a hypopnea state in live fish. The fresh-keeping box is transferred to the chill car and waterless delivery is carried out with a relatively low inside temperature from 0 to 5 °C.
  • The waterless live transportation and recovery stage: in this stage, fish are delivered in waterless conditions with low temperature and pure oxygen at the beginning of transportation. The aquatic products are maintained in dormancy at the lowest state of metabolism. At the destination of delivery, fish will be aroused gradually in the docking ponds and are expected to regain consciousness and return to their live state.
The workflow of waterless transportation for live flatfish is shown in Figure 1. Over the whole period, the quality of fish transported is a key decisive criterion. The fish to be transported must be healthy and in good condition. Weak fish are killed at a much higher rate than fish in good condition when the transport time is longer.
The most important single factor in transporting fish is providing an adequate level of oxygen [19,20]. However, an abundance of oxygen within a container does not necessarily indicate that the fish are in good condition. The ability of fish to use oxygen depends on their tolerance to stress, ambient temperature, and metabolic products such as concentrations of carbon dioxide. In a live flatfish delivery system, the fish will require more than the minimum amount since they are not in a fully resting state. Furthermore, if they are excited at loading, or there are vibrations or disturbances during transport, they may consume more amount of oxygen than we expected.
The amount of oxygen a fish consumes does not only depend on the amount of oxygen available. In closed systems, the high levels of atmospheric oxygen required to maintain the live condition are not well sensed or predicted. During long-distance delivery when the container with fish are undergoing abnormal movement, the fish may consume more oxygen at a certain level of stress response. This research applies mainly to solve such problems because an uncertain oxygen atmosphere is not suitable for maintaining a reasonable survival rate. Next, we will introduce the on-line oxygen forecasting methods.

2.2. Algorithms for Oxygen Forecasting during Waterless Transportation

There are three methods that are usually utilized in data classification or regression prediction. The fuzzy clustering algorithm is harnessed for partition and data set training in term of the properties (weight and length) of flatfish. These classified flatfish are monitored by ambient sensing devices for respiration. Information on decreases in oxygen concentration and increases in carbon dioxide as well as temperature in closed containers is saved during the long distance transportation. The GM model can predict the feature segment of the oxygen value step by step according to the current segment of acquired ambient factors with the passing of delivery time. However, the grey model cannot accurately forecast oxygen trends by not referencing the surrounding factors. It easily predicts the forthcoming acquired ambient factors. LSSVM will regress the error of forecasted oxygen value with its actual value by fully considering the dynamic ambient changes during delivery. It is effective for the GM-PSO-LSSVM model to calculate oxygen consumption level. For better improvement of accuracy and reliability, this research closely blends the grey model and the particle swarm optimized least square support vector machine technique to construct the forecasting model GM-PSO-LSSVM to predict the ambient oxygen of flatfish, requiring fewer samples while specifically solving the nonlinear problem.
Firstly, the original ambient oxygen data are preprocessed, reducing the fluctuation as well as randomness, and improving the accuracy of forecasting by increasing the regularity of training samples. Next, the forecasting is continuous to obtain information on coming ambient factors—temperature and humidity as well as carbon dioxide—and then the LSSVM model will take these predicted unknown factors that are forecasted by GM model as input data, and deviation with the actual oxygen data as output data for FCM-GM-LSSVM training. By regression learning of the forecasted error of GM (1, 1), the hybrid algorithm corrects the prediction error by calculating deviation. Moreover, the parameters of LSSVM are optimized using the global optimization ability of particle swarm optimization algorithm. It will intensify the capacity of forecasting and generalization to avoid the subjective blindness of choosing the coefficients γ and δ 2 . Finally, the strong generalization ability and high prediction accuracy of the oxygen forecasting model is testified by real waterless live transportation experiments. The combined model was validated on real traffic data and results show that the proposed combination forecasting method was effective and practicable. Consequently, it is significant basis for early warning in sea fish waterless live transportation. In addition, it will increase the controllability of survival rate.

2.2.1. Fuzzy C-Means (FCM) Clustering Algorithm

Fuzzy C-means (FCM) clustering is the most widely used algorithm for clustering problems. According to the similarity of objects, clustering is an unsupervised discrimination and classification process without prior knowledge [21,22]. The final result of clustering is that the similarity is the largest, and the similarity between classes is the smallest. Hence, we just have to obtain the minimum value of the objective function. The expression of the optimal solution is:
m i n ( J m ( U , V ) ) = m i n ( i = 1 c j = 1 n u i j m d i j 2 )
J ( U , V ) and m denote the weighted average sum from each sample to the clustering center and fuzzy weighting exponent, respectively. d i j is a distance norm. u i j is a membership degree of samples. The clustering rule of the fuzzy C-means (FCM) clustering algorithm is to calculate U and V for minimum J ( U , V ) .
Then, healthy flatfish are picked to obtain the training data set by measuring their length and weight. The FCM algorithm will be halted when some conditions are satisfied [23,24]. Then, we obtain the optimized number of clustering for the further model construction. In our project, 100 tails of fish are studied for the modeling data training and the clustering result is demonstrated as follows in Figure 2. There are four clusters after performing fuzzy C-means clustering [25,26].
When some delivered fish are in the process of the early warning operation, the system can query the training data set and categorize it to a certain cluster center by Euclidean distance. Consequently, the corresponding GM-PSO-LSSVM model forecasts on-line changes of ambient oxygen level.

2.2.2. GM (1, 1) Model

The grey model GM (1, 1) should applied in the gray prediction [27,28,29]. The application of the GM (1, 1) model is to accumulate the progression and generate the results generally. The coefficient a in this model is called the development coefficient of the system, and b is the driving coefficient. Both of these are undetermined parameters and can be obtained by least squares method. The specific formula (time response function model) from the prediction of grey model GM (1, 1) can be derived and given by Equation (2).
x ^ ( 0 ) ( k + 1 ) = a ( x ( 0 ) ( 1 ) b a ) e a k

2.2.3. LSSVM Model

A modified version of SVM called LSSVM only considers equality constraints instead of inequalities [30]. A simple review of the LSSVM for regression problems is as follows. There is a training set, { x , y } , i = 1, 2, …, N. Based on this equation, the Lagrange function is constructed as follows in Equation (3):
L ( W , b , e , α ) = 1 2 W 2 + γ i = 1 N e i 2 i = 1 N α i ( W T ϕ ( x ) + b y i + e i )
The solution to the equation can be obtained by partially differentiating with respect to W , b , α i and e i . The deduction is as the follows in Formula (4):
a = 1 ,   y = i = 1 N α ϕ ( x i ) ϕ ( x ) + b
There, W denotes the weight vector and b is the bias term. ϕ ( x ) is the nonlinear mapping function that transfers the input to a higher-dimensional feature spare. In Equation (3), e i is the error variable at time i and γ is regulation constant. In Equation (4), α i are Lagrange multipliers. Finally, ultimate forms of the LSSVM prediction function (5) and radial basis function (RBF) kernel (6) are as follows:
y = i = 1 N a i K ( x i , x ) + b
K ( x i , x ) = exp ( x x k 2 2 δ 2 )
The regularization parameter and kernel value of Gauss “less prone to improper learning” or “learning”, has great influence on the generalization ability of LSSVM and prediction. The particle swarm optimization (PSO) algorithm is used in the current study to search for the global optimum value with fewer parameters and a fast convergence speed. The operation is simple, with easy implementation. Therefore, the GM-LSSVM model uses particle swarm optimization for LSSVM parameter selection [31,32,33] to improve the prediction accuracy of this model.

2.3. Oxygen Forecasting Model for Flatfish

In this forecasting model, there are three parts of this model for on-line calculation of forthcoming acquired data series, which are based feature clustering, training for different groups, and the forecasting method. Firstly, flatfish are statistically labeled and clustered by length and weight of their properties. By doing so, flatfish of similar characteristics will be clustered in the same group which may imply an identical requirement of oxygen when they are packaged for waterless transportation. Secondly, for objects in a reasonably clustered group, LSSVM for error correction can be used for GM (1, 1) oxygen prediction. Finally, the forecasting method will acquire on-line data and calculate the rectified forecasting data series by GM-PSO-LSSVM. The procedures are as demonstrated in Figure 3. The specific process of this forecasting model is discussed in the following segment.
The specific procedure of the fuzzy clustered GM-PSO-LSSVM forecasting model that was processed as follows.
(1)
Input a set of fish feature (W, L) representing fish weight W and length L. This is the process of clustering for flatfish properties. It is partitioned with classification coefficient m and obtains N groups by validity index numbering for fuzzy clustering.
(2)
As for every group, the model can utilize the GM model for ambient factor forecasting—carbon dioxide (CO2), and temperature (T) as well as humidity (H). These data were stepwise predictions of sequence parameters.
(3)
Take the ambient factors—CO2, T, and H—as inputs of LSSVM, and the residual of actual and predicted oxygen series as outputs for training. At the same time, the model uses PSO to optimize the parameters γ and δ 2 to complete the best regression for error of oxygen prediction by GM (1, 1).
(4)
The GM-PSO-LSSVM forecasting model acquires the M segment data by utilizing the GM model to forecast the next M data of forthcoming oxygen concentration by residual compensation with full consideration of the influence of other ambient factors.
(5)
If the forecasting is not halted, the forecasting model can continuously obtain M segment data of ambient factors to perform the procedure of step 3, or to returns to step 5.
(6)
Evaluate the indices of this model by error analysis with mean absolute error (MAE), mean absolute percent error (MAPE), and root-mean-square error (RMSE).
The modeling procedures are shown in below in Figure 4. Figure 4a shows the regression training by LSSVM with ambient changes (CO2, humidity, temperature) in a series as input data and with the residual of actual and predicted data as output data. During this training process, the PSO algorithm would optimize the parameters in the regression process and move the LSSVM model closer to the optimal solution. In spite of this, the algorithm required a small sample for modeling, parallel computing, and adaptive strong ability to achieve higher precision in small sample circumstances, so as to improve the generalization ability of the model combination. In Figure 4b, the process of forecasting is to classify the given subjects which belong to a certain clustering center using its PSO-LSSVM model and the GM model for on-line prediction. The hybrid algorithm would forecast the forthcoming oxygen level of the GM (1, 1) method step by step and rectify the forecasted result by the PSO-LSSVM residual regression value. Therefore, this method was more suitable for the changing of coming ambient factors, which was more advanced than the forecasting ability of utilizing a single prediction algorithm.

2.4. Wireless Sensing System

2.4.1. Ambient Sensing Hardware

Transportation process of live flatfish with oxygen forecasting was performed by an ambient sensing device that mounted in the transporting boxes. It consists of three parts:
(1)
The sensing part of the ambient factors in the closed fresh-keeping system, which harvests the spot ambient information.
(2)
The signal processing part that preprocesses the obtained data during the processing of real-time monitoring.
(3)
Packaging of the ambient sensing data back to the gateway for intelligent training and on-line forecasting by the GM-PSO-LSSVM.
The monitoring equipment is shown in Figure 5, and has three parts: the ZigBee module (CC2530) for wireless communication, the front signal processing module (STM32F, analog to digital converter) and micro ambient sensors (SHT11, AO2, MH-Z14). The sensors are connected to the analog to digital converter by the interface ADC (Analog-to-Digital Converter) and the ADC to the microchip STM32 by the interface IO (Input-Output) mode. These dynamic sensing data are sent by the CC2530 module for on-line mobile ambient acquisition. The mobile smart gateway equipment also has wireless nodes for the construction of local networks to accomplish the wireless data harvesting task. In Table 1, the sensors measurement features are listed for monitoring and in the next section we will discuss the workflow of ambient gas data harvesting.

2.4.2. The Workflow of Ambient Oxygen Data Harvesting

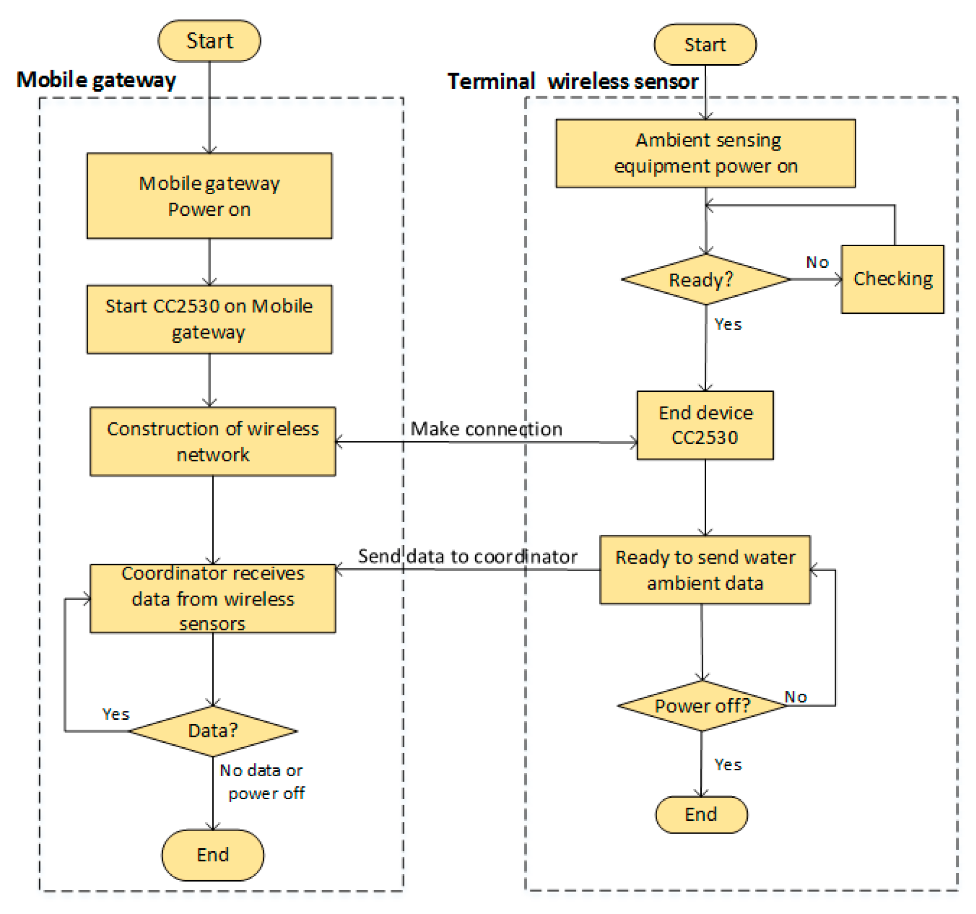
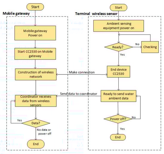
During the actual waterless live transportation, ambient observation and communication were constructed when they were beginning powered by battery or chill car power supply system. In Figure 6, the wireless ambient data harvesting procedure is demonstrated by interactive activity between mobile gateway (with wireless sensor node-Coordinator) and terminal wireless sensor devices.
Firstly, the vehicle mobile gateway was started and CC2530 as the coordinator constructed the local wireless network for distributed data acquisition. Then, the terminal ambient sensor was powered on and the monitoring device initialized. The sensing device checked for ambient sensors and judged it was ready for observation. When some sensors were in a fault state, the device waited for a solution. If they were ready for monitoring, they were to join in the local wireless sensor network to realize real-time ambient harvesting. The local data were periodically sent to a mobile gateway for processing and storage. This workflow was continued if the mobile gateway device was powered off or there was not data to receive from terminal sensing side. The interval for acquisition of ambient data was about 10 s. A too-small gathering interval would increase communication costs and reduce the efficiency of monitoring. A too-large interval for ambient on-line observation would less accurately reflect the local actual changes of ambient factors. The whole process of observation was automatically managed by wireless sensing system that was fixed in chill car.

3. Results

3.1. Performance Criteria for the Forecasting Method

In the experiment, the training software is MATLAB R2014a, the online monitoring and forecasting module is the Android 4.2 platform, and terminal data sampling node is ZStack2.0 (TI Company, Dallas, TX, USA). In order to evaluate the proposed hybrid algorithm, three error evaluation formulas were utilized to measure the prediction accuracy. These evaluation indices were the mean absolute error (MAE), the root-mean-square error (RMSE) and the mean absolute percent error (MAPE), for which small values of these indices denote high prediction performance. The indices are defined as follows (Table 2).
Where v i r e a l is the observed value for the time period t and v i p r e d i c t is the predicted value for the corresponding period. The MAE revealed how similar the predicted values were to the observed values. The RMSE measured the overall deviation between the predicted and observed values. The MAPE was a unit-free measure of accuracy for the predicted gas concentration series and was sensitive to small changes in the acquired data.

3.2. Model Performance Evaluation

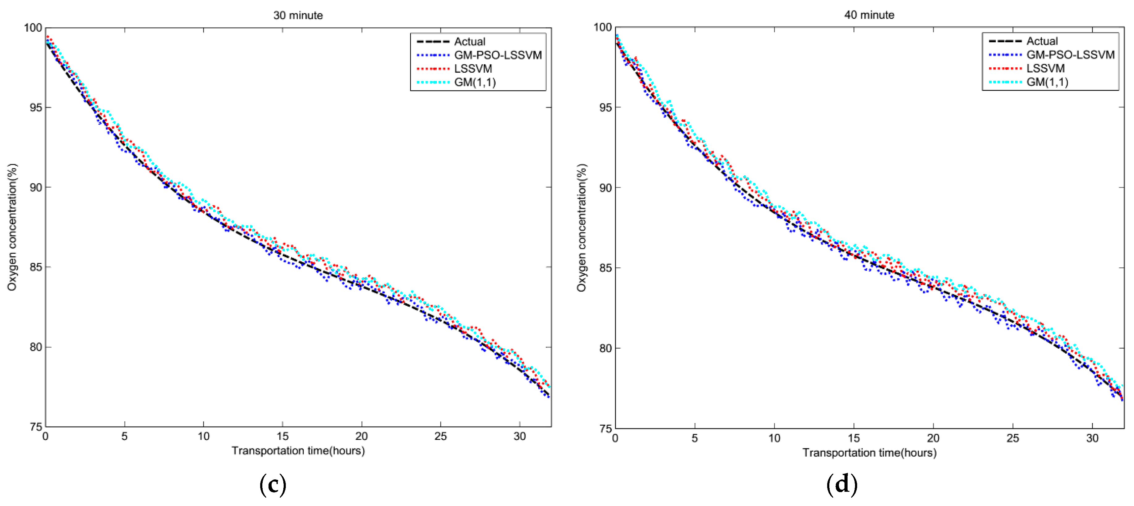
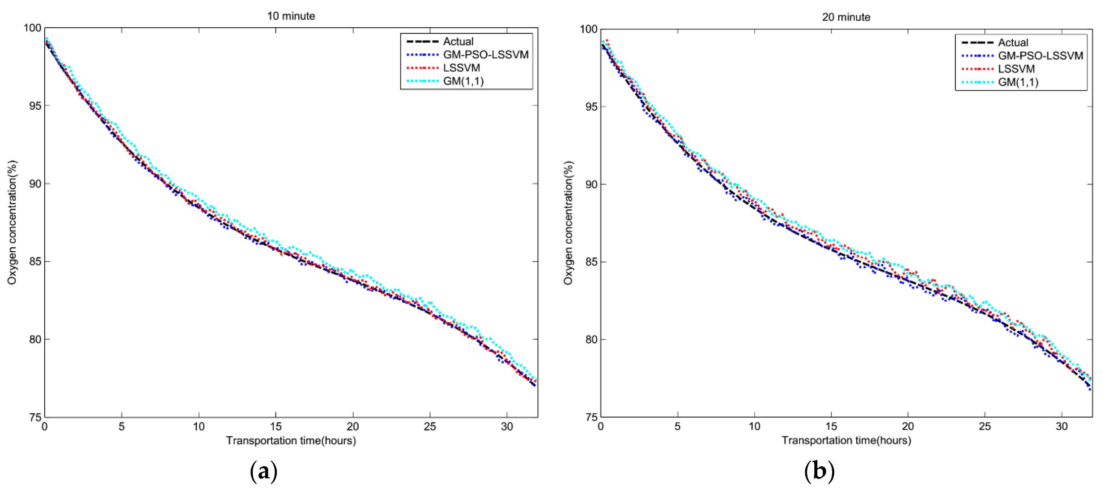
In order to analyze and evaluate the prediction performance of the GM-PSO-LSSVM for different sampling intervals, the 100 testing subjects were fuzzy clustered by the FCM algorithm by their features (length and weight). For each group, the predicted time length was divided into intervals of 10, 20, 30, and 40 min. In live flatfish waterless transportation, the abnormal oxygen consumption might occur at any stage of delivery. The prediction model could predict abnormal activity of live fish respiration in the form of oxygen level by electronic observation, about 10 to 40 min before it occurred. It thus had enough time to take countermeasures, giving an early warning as well as performing adjustment management inside the waterless shipment containers through supplying and reducing the oxygen level when some influences might possibly have caused a large consumption of oxygen. In Figure 7 the different forecasting results with different time length by utilizing GM-PSO-LSSVM and LSSVM as well as GM (1, 1) are shown. Those intelligence forecasting methods were compared with an actual oxygen time series that was acquired in flatfish waterless transportation monitoring.
After comparing the four-time length prediction, the average execution times are shown in Table 3. The average of the forecasting time was executed five times to obtain a reliable result by using the evaluation indices in Table 2. The hybrid method was slightly time-consuming, but it could satisfy the efficiency of requirements in early warning or in alerting businesses in live fish delivery.
Testing data sets were evaluated in Figure 8 for the forecasting values of the oxygen concentration with different time interval. It analyzed the forecasting error indices by the error of forecasting: (a) mean absolute error (MAE); (b) mean absolute percent error (MAPE); and (c) root-mean-square error (RMSE). In terms of the result, with the increasing of time intervals were found to increase the error between the predicted value and measured value. However, the figure shows that this model can accurately predict the oxygen concentration within time intervals of 10 min. The result of the 10-min forecasting relatively meets the requirement in waterless live transportation.
In the meanwhile, the two key stress indices (glucose, lactic acid) were collected discretely by analyzing the caudal venous blood of flatfish. The specific changes of stress during waterless live delivery are demonstrated in Table 4. At the beginning of transportation, the glucose and lactic acid were in a relative low state. With time, the glucose was kept in a stable high state. Meanwhile, lactic acid still showed the increasing trends. Therefore, reducing of oxygen might lead to certain stress responses in flatfish waterless transportation.

4. Discussion

With respect to waterless live sea fish transportation, the deployment of an on-line oxygen forecasting system for improvement of survival rates has hardly been reported in current research. It represents a novel model and form of system implementation for the improvement of such live delivery. Therefore, it very critically important to accurately obtain information on forthcoming oxygen levels to sustain flatfish survival quality. The standard LSSVM and the GM (1, 1) methods have been widely used in the prediction field. However, they have numerous drawbacks, like low generalization and poor stability. Moreover, when executing forecast operations they do not fully take the forthcoming ambient factors into account. These drawbacks in a prediction model is not accurate enough. To analyze the forecasting capacity of the hybrid model based on GM-PSO-LSSVM, the standard LSSVM and the grey model were selected for comparison with four forecasting lengths from 10 to 40 min. Ten-minute forecasting has been proven more accurate than oxygen prediction of 20 min or more. In this paper, the present methods are used in problems of relatively poor stability and low generalization to improve the forecast accuracy of on-line oxygen consumption. After grouping of testing, it was found that it is more promising to utilize the combined model GM-PSO-LSSVM for on-line forecasting operations.
In Figure 7, the four intervals (10, 20, 30, 40 min) for different prediction methods were used for testing. It shows that the proposed GM-PSO-LSSVM model has a stronger learning capacity than the GM (1, 1) method and standard LSSVM method for small samples, and it also achieves excellent generalization. The presented model provides more accurate predictions of the short time period of oxygen forecasting strategy compared with the LSSVM and GM (1, 1) methods. Thus, the GM-PSO-LSSVM can guarantee improvements in stability and accuracy, and it is a suitable and effective method for predicting the oxygen level during live flatfish waterless transportation. It can satisfy the logistical needs of early warning and the corresponding management relatively well.
The indexes MAE, MAPE, and RMSE were analyzed to study the forecasting capacity of the three models shown in Figure 8. To represent the error trend, the most recent sampled data with an interval of forecasting results were used to analyze the forecasting performance of the above models. The performance indexes were calculated and demonstrated the trend of error. As for the GM-PSO-LSSVM model in the MAE index, the forecasting accuracy has been improved on average by 20.5% and 52.3% compared with the LSSVM and GM (1, 1) methods respectively. With the situation of index MAPE, the forecasting accuracy of the hybrid model shows an improvement of 21.9% and 54.2% (on average) compared to LSSVM and GM, respectively. In the RMSE index, the forecasting error of the GM-PSO-LSSVM method has been reduced 21.4% and 51.7% compared with other methods, respectively. The accuracy of calculation is not good enough for decision-making due to the forthcoming ambient changes that may lead to instability and variation when the forecasting time is been lengthened.
Therefore, the mixed method GM-PSO-LSSVM is more accurate with 10-min prediction lengths than the traditional forecasting methods LSSVM, and GM (1, 1) which had less of a consideration of ambient changes in the process of waterless delivery, such as temperature, carbon dioxide, and humidity.

5. Conclusions

This paper designed a set of on-line ambient monitoring devices and modeled the oxygen level prediction of flatfish waterless live delivery. It was more effective to combine the grey model with PSO-LSSVM for the forecasting of forthcoming oxygen. Through the actual delivery experiments, there were several advantages through which we could deduce the following conclusions:
(1)
The accuracy using the mixed algorithm GM-PSO-LSSVM was greater than the accuracy using a single forecasting method, and it was also better than the accuracy using the optimal forecasting method.
(2)
There was more relevance prediction calculation by fuzzy clustering for pre-partitioning to closely comply with the actual characteristics of flatfish respiration in order to make the forecast model more pertinent.
(3)
The accuracy of the GM-PSO-LSSVM algorithm was better than the accuracy obtained by LSSVM and GM (1, 1) due to the full consideration of the influence of ambient changes.
We used a prediction of the oxygen consumption level during live flatfish delivery when the ambient information was simultaneously harvested in a certain closed system. This was a crucial need in delivery ambient management and on-line electronic equipment design. After deliberate design of the forecasting method according to each characteristic, the hybrid algorithm GM-PSO-LSSVM was suggested for more accurate prediction due to its adaptability and relevance. After many instances of actual delivery testing and analysis of its feasibility, it was proved that the hybrid forecasting model was quite applicable for live sea fish enterprises to follow and can reduce costs of delivery management. In the near future, our research team will further test its universal performance for other types of live sea fish transportation and find more optimized forecasting technologies.

Supplementary Materials

The Supplementary Materials are available online at https://www.mdpi.com/2076-3417/7/9/957/s1. It provided the basic material to execute the algorithm.

Acknowledgments

This research is funded by the project “S&T support plan project (2015BAD17B04-5)”. It is also funded by the projects “The intelligent monitoring equipment of fish water-free dormancy keeps live transportation” (J15LN52) and “Beijing Nova Program (2015B040)”.

Author Contributions

Xiaoshuan Zhang conceived and designed the experiments. Yongjun Zhang and Chengguo Wang performed the experiments. Yongjun Zhang and Liu Yan analyzed the data. Daoliang Li contributed materials/analysis tools. Yongjun Zhang wrote the paper. Xiaoshuan Zhang, Daoliang Li and Liu Yan contributed to the paper’s modification and refinement.

Conflicts of Interest

The authors declare no conflict of interest.

References

  1. Farrell, A.P.T. Bulk oxygen uptake measured with over 60,000 kg of adult salmon during live-haul transportation at sea. Aquaculture 2006, 254, 646–652. [Google Scholar] [CrossRef]
  2. Morris, S.; Oliver, S. Circulatory, respiratory and metabolic response to emersion and low temperature of Jasus edwardsii: Simulation studies of commercial shipping methods. Comp. Biochem. Physiol. A 1999, 122, 299–308. [Google Scholar] [CrossRef]
  3. Driedzic, W.R.; Ewart, K.V. Control of glycerol production by rainbow smelt (Osmerus mordax) to provide freeze resistance and allow foraging at low winter temperatures. Comp. Biochem. Physiol. B 2004, 139, 347–357. [Google Scholar] [CrossRef] [PubMed]
  4. Tang, S.; Brauner, C.J.; Farrell, A.P. Using bulk oxygen uptake to assess the welfare of adult Atlantic salmon, Salmo salar, during commercial live-haul transport. Aquaculture 2009, 286, 318–323. [Google Scholar] [CrossRef]
  5. Tort, L.; Padros, F.; Rotllant, J.; Crespo, S. Winter syndrome in the gilthead sea bream Sparus aurata. Immunological and histopathological features. Fish Shellfish Immunol. 1998, 8, 37–47. [Google Scholar] [CrossRef]
  6. Tang, S.; Thorarensen, H.; Brauner, C.J.; Wood, C.M.; Farrell, A.P. Modeling the accumulation of CO2 during high density, re-circulating transport of adult Atlantic salmon, Salmo salar, from observations aboard a sea-going commercial live-haul vessel. Aquaculture 2009, 296, 102–109. [Google Scholar] [CrossRef]
  7. Salin, K.R. Live transportation of Macrobrachium rosenbergii (De Man) in chilled sawdust. Aquac. Res. 2005, 36, 300–310. [Google Scholar] [CrossRef]
  8. Ibarz, A.; Padrós, F.; Gallardo, M.Á.; Fernández-Borràs, J.; Blasco, J.; Tort, L. Low-temperature challenges to gilthead sea bream culture: Review of cold-induced alterations and? Winter Syndrome? Rev. Fish Biol. Fish. 2010, 20, 539–556. [Google Scholar] [CrossRef]
  9. Mao, H.M.J.C. Proteomic Analysis of Mechanisms Responsible for the Waterless Preservation of Fenneropenaeus chinensis Based on Cold-Forced Hibernation. J. Aquat. Food Prod. Technol. 2015, 18, 531–539. [Google Scholar]
  10. Mi, H.; Qian, C.; Mao, L. Quality and biochemical properties of artificially hibernated crucian carp for waterless preservation. Fish Physiol. Biochem. 2012, 38, 1721–1728. [Google Scholar] [CrossRef] [PubMed]
  11. Balamurugan, J.; Ajith Kumar, T.T.; Prakash, S.; Bharathiamma, M.; Chellam, B.; Ramasamy, H. Clove extract: A potential source for stress free transport of fish. Aquaculture 2016, 454, 171–175. [Google Scholar] [CrossRef]
  12. Donaldson, M.R.; Cooke, S.J.; Patterson, D.A.; Macdonald, J.S. Cold shock and fish. J. Fish Biol. 2008, 73, 1491–1530. [Google Scholar] [CrossRef]
  13. Salin, K.R.; Jayasree-Vadhyar, K. Effect of different chilling rates for cold anaesthetization of Penaeus monodon (Fabricius) on the survival, duration and sensory quality under live storage in chilled sawdust. Aquac. Res. 2001, 32, 145–155. [Google Scholar] [CrossRef]
  14. Zeng, P.; Chen, T.; Shen, J. Effects of cold acclimation and storage temperature on crucian carp (Carassius auratus gibelio) in a waterless preservation. Fish Physiol. Biochem. 2014, 40, 973–982. [Google Scholar] [CrossRef] [PubMed]
  15. Lu, Y.; Wang, F.; Dong, S. Energy response of swimming crab Portunus trituberculatus to thermal variation: Implication for crab transport method. Aquaculture 2015, 441, 64–71. [Google Scholar] [CrossRef]
  16. Lorenzon, S.; Giulianini, P.G.; Martinis, M.; Ferrero, E.A. Stress effect of different temperatures and air exposure during transport on physiological profiles in the American lobster Homarus americanus. Comp. Biochem. Physiol. A 2007, 147, 94–102. [Google Scholar] [CrossRef] [PubMed]
  17. Nagayama, M.S.K.N. Tolerance and respiration of the prawn (japonicus) under cold air conditions. Aquaculture 1996, 143, 205–214. [Google Scholar]
  18. Liu, S.; Xu, L.; Li, D.; Li, Q.; Jiang, Y.; Tai, H.; Zeng, L. Prediction of dissolved oxygen content in river crab culture based on least squares support vector regression optimized by improved particle swarm optimization. Comput. Electron. Agric. 2013, 95, 82–91. [Google Scholar] [CrossRef]
  19. Liu, S.; Xu, L.; Jiang, Y.; Li, D.; Chen, Y.; Li, Z. A hybrid WA–CPSO-LSSVR model for dissolved oxygen content prediction in crab culture. Eng. Appl. Artif. Intell. 2014, 29, 114–124. [Google Scholar] [CrossRef]
  20. Zhou, K.; Yang, S. Exploring the uniform effect of FCM clustering: A data distribution perspective. Knowl.-Based Syst. 2016, 96, 76–83. [Google Scholar] [CrossRef]
  21. Liu, L.; Sun, S.Z.; Yu, H.; Yue, X.; Zhang, D. A modified Fuzzy C-Means (FCM) Clustering algorithm and its application on carbonate fluid identification. J. Appl. Geophys. 2016, 129, 28–35. [Google Scholar] [CrossRef]
  22. Zhang, Y.; Wang, W.; Zhang, X.; Li, Y. A cluster validity index for fuzzy clustering. Inf. Sci. 2008, 178, 1205–1218. [Google Scholar] [CrossRef]
  23. Wu, K.; Yang, M. A cluster validity index for fuzzy clustering. Pattern Recognit. Lett. 2005, 26, 1275–1291. [Google Scholar] [CrossRef]
  24. Askari, S.; Montazerin, N.; Fazel Zarandi, M.H. Generalized Possibilistic Fuzzy C-Means with novel cluster validity indices for clustering noisy data. Appl. Soft Comput. 2017, 53, 262–283. [Google Scholar] [CrossRef]
  25. Wang, W.; Zhang, Y. On fuzzy cluster validity indices. Fuzzy Sets Syst. 2007, 158, 2095–2117. [Google Scholar] [CrossRef]
  26. Yuan, C.; Liu, S.; Fang, Z. Comparison of China’s primary energy consumption forecasting by using ARIMA (the autoregressive integrated moving average) model and GM(1,1) model. Energy 2016, 100, 384–390. [Google Scholar] [CrossRef]
  27. Li, C.; Qin, J.; Li, J.; Hou, Q. The accident early warning system for iron and steel enterprises based on combination weighting and Grey Prediction Model GM (1, 1). Saf. Sci. 2016, 89, 19–27. [Google Scholar] [CrossRef]
  28. Xiao, X.; Guo, H.; Mao, S. The modeling mechanism, extension and optimization of grey GM (1, 1) model. Appl. Math. Model. 2014, 38, 1896–1910. [Google Scholar] [CrossRef]
  29. Yu, H.; Chen, Y.; Hassan, S.G.; Li, D. Prediction of the temperature in a Chinese solar greenhouse based on LSSVM optimized by improved PSO. Comput. Electron. Agric. 2016, 122, 94–102. [Google Scholar] [CrossRef]
  30. Gholgheysari Gorjaei, R.; Songolzadeh, R.; Torkaman, M.; Safari, M.; Zargar, G. A novel PSO-LSSVM model for predicting liquid rate of two phase flow through wellhead chokes. J. Nat. Gas Sci. Eng. 2015, 24, 228–237. [Google Scholar] [CrossRef]
  31. Long, B.; Xian, W.; Li, M.; Wang, H. Improved diagnostics for the incipient faults in analog circuits using LSSVM based on PSO algorithm with Mahalanobis distance. Neurocomputing 2014, 133, 237–248. [Google Scholar] [CrossRef]
  32. Langone, R.; Alzate, C.; De Ketelaere, B.; Vlasselaer, J.; Meert, W.; Suykens, J.A.K. LS-SVM based spectral clustering and regression for predicting maintenance of industrial machines. Eng. Appl. Artif. Intell. 2015, 37, 268–278. [Google Scholar] [CrossRef]
  33. Liu, X.; Shao, C.; Ma, H.; Liu, R. Optimal earth pressure balance control for shield tunneling based on LS-SVM and PSO. Autom. Constr. 2011, 20, 321–327. [Google Scholar] [CrossRef]
Figure 1. The process of flatfish waterless transportation.
Figure 1. The process of flatfish waterless transportation.
Applsci 07 00957 g001
Figure 2. The feature fuzzy clustering of flatfish by its size (weight and length).
Figure 2. The feature fuzzy clustering of flatfish by its size (weight and length).
Applsci 07 00957 g002
Figure 3. Oxygen concentration forecasting model of flatfish during waterless transportation. PSO: particle swarm optimization; LSSVM: least squares support vector machines; GM: gray model.
Figure 3. Oxygen concentration forecasting model of flatfish during waterless transportation. PSO: particle swarm optimization; LSSVM: least squares support vector machines; GM: gray model.
Applsci 07 00957 g003
Figure 4. Modeling procedure of GM-PSO-LSSVM forecasting with error rectification.
Figure 4. Modeling procedure of GM-PSO-LSSVM forecasting with error rectification.
Applsci 07 00957 g004
Figure 5. Hardware components for ambient data collection.
Figure 5. Hardware components for ambient data collection.
Applsci 07 00957 g005
Figure 6. The flow chart of ambient observation and wireless communication for live transportation.
Figure 6. The flow chart of ambient observation and wireless communication for live transportation.
Applsci 07 00957 g006
Figure 7. Forecasting model comparison with different predicted time length. (a) 10 min; (b) 20 min; (c) 30 min; (c) 40 min.
Figure 7. Forecasting model comparison with different predicted time length. (a) 10 min; (b) 20 min; (c) 30 min; (c) 40 min.
Applsci 07 00957 g007aApplsci 07 00957 g007b
Figure 8. The error of the forecasting (a) mean absolute error (MAE); (b) mean absolute percent error (MAPE); (c) root-mean-square error (RMSE).
Figure 8. The error of the forecasting (a) mean absolute error (MAE); (b) mean absolute percent error (MAPE); (c) root-mean-square error (RMSE).
Applsci 07 00957 g008aApplsci 07 00957 g008b
Table 1. The sensors for monitoring in flatfish waterless transportation.
Table 1. The sensors for monitoring in flatfish waterless transportation.
IDEquipment NameTypesElectronic Features
1Oxygen gas sensorAO2Response time: <5 s; output voltage: 7–13 mV;
resolution: 0.1%; accuracy: ±0.1%; range: 0–50 °C
2CO2 gas sensorMH-Z14Operating voltage: 4–6 V; range: 0–5%;
Output Voltage: 0.4–2 V; preheat time: <3 min;
response time: <30 s; operating temperature: 0–60 °C
3Temperature sensorSHT-11Range: −40–+123 °C; response time: <8 s
Table 2. The indices for prediction error (MAE, RMSE, MAPE).
Table 2. The indices for prediction error (MAE, RMSE, MAPE).
IndicesEquation
MAE 1 k i = 1 k | v i r e a l v i p r e d i c t |
MAPE 1 k i = 1 k | v i r e a l v i p r e d i c t v i r e a l |
RMSE 1 k i = 1 k ( v i r e a l v i p r e d i c t ) 2
Table 3. Forecasting execution time in different predicted time length (unit: second).
Table 3. Forecasting execution time in different predicted time length (unit: second).
Method10 min20 min30 min40 min
GM (1, 1)0.320.490.550.71
LSSVM0.310.350.470.56
GM-PSO-LSSVM0.510.740.890.97
Table 4. Changes of key stress factors during transportation.
Table 4. Changes of key stress factors during transportation.
Stress Type0 h8 h16 h24 h32 h
Glucose (mmol/L)1.25 ± 0.21.86 ± 0.35.83 ± 0.15.72 ± 0.15.78 ± 0.2
Lactic acid (mmol/L)1.4 ± 0.31.6 ± 0.22.7 ± 0.13.2 ± 0.23.9 ± 0.1
Transport duration of all trials was 32 h (p < 0.05). The sample points are 0, 8, 16, 24, 32 h.

Share and Cite

MDPI and ACS Style

Zhang, Y.; Wang, C.; Yan, L.; Li, D.; Zhang, X. An On-Line Oxygen Forecasting System for Waterless Live Transportation of Flatfish Based on Feature Clustering. Appl. Sci. 2017, 7, 957. https://doi.org/10.3390/app7090957

AMA Style

Zhang Y, Wang C, Yan L, Li D, Zhang X. An On-Line Oxygen Forecasting System for Waterless Live Transportation of Flatfish Based on Feature Clustering. Applied Sciences. 2017; 7(9):957. https://doi.org/10.3390/app7090957

Chicago/Turabian Style

Zhang, Yongjun, Chengguo Wang, Liu Yan, Daoliang Li, and Xiaoshuan Zhang. 2017. "An On-Line Oxygen Forecasting System for Waterless Live Transportation of Flatfish Based on Feature Clustering" Applied Sciences 7, no. 9: 957. https://doi.org/10.3390/app7090957

APA Style

Zhang, Y., Wang, C., Yan, L., Li, D., & Zhang, X. (2017). An On-Line Oxygen Forecasting System for Waterless Live Transportation of Flatfish Based on Feature Clustering. Applied Sciences, 7(9), 957. https://doi.org/10.3390/app7090957

Note that from the first issue of 2016, this journal uses article numbers instead of page numbers. See further details here.

Article Metrics

Back to TopTop