Amorphous InGaZnO Thin Film Transistor Fabricated with Printed Silver Salt Ink Source/Drain Electrodes
Abstract
:1. Introduction
2. Experimental
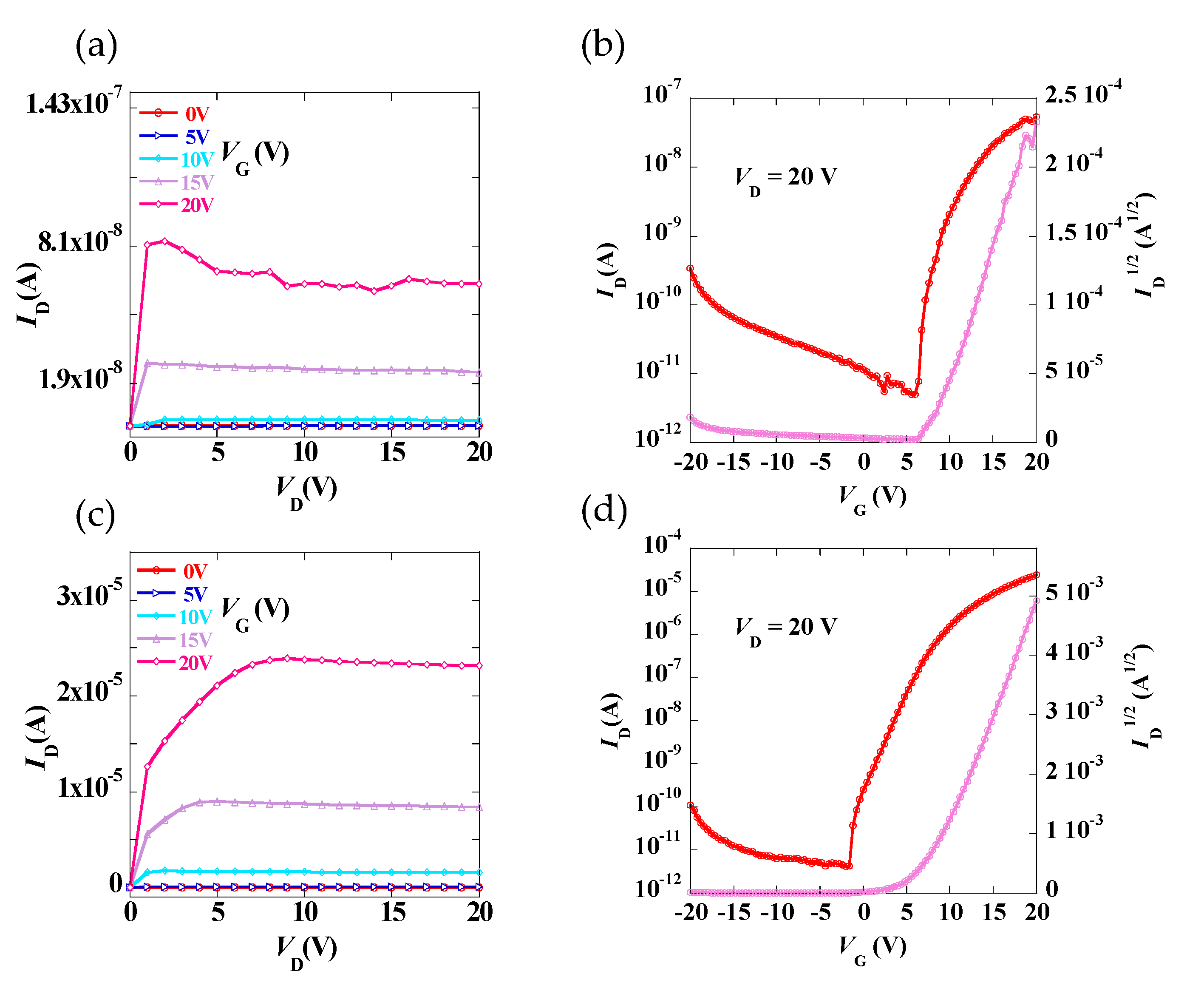
3. Results and Discussion
4. Conclusions
Supplementary Materials
Acknowledgment
Author Contributions
Conflicts of Interest
References
- Street, R.A. Thin-Film Transistors. Adv. Mater. 2009, 21, 2007–2022. [Google Scholar] [CrossRef]
- Ito, M.; Miyazaki, C.; Ishizaki, M.; Kon, M.; Ikeda, N.; Okubo, T.; Matsubara, R.; Hatta, K.; Ugajin, Y.; Sekine, N. Application of amorphous oxide TFT to electrophoretic display. J. Non-Cryst. Solids 2008, 354, 2777–2782. [Google Scholar] [CrossRef]
- Mo, Y.G.; Kim, M.; Kang, C.K.; Jeong, J.H.; Park, Y.S.; Choi, C.G.; Kim, H.D.; Kim, S.S. Amorphous-oxide TFT backplane for large-sized AMOLED TVs. J. Soc. Inf. Disp. 2012, 19, 16–20. [Google Scholar] [CrossRef]
- Subramanian, V.; Chang, J.B.; de la Fuente Vornbrock, A.; Huang, D.C. Printed electronics for low-cost electronic systems: technology status and application development. In Proceedings of the ESSDERC 2008 38th European Solid-State Device Research Conference, Edinburgh, UK, 15–19 September 2008; pp. 17–24. [Google Scholar]
- Kim, D.; Jeong, S.; Lee, S.; Park, B.K.; Moon, J. Organic thin film transistor using silver electrodes by the ink-jet printing technology. Thin Solid Films 2007, 515, 7692–7696. [Google Scholar] [CrossRef]
- Sowade, E.; Mitra, K.Y.; Ramon, E.; Martinez-Domingo, C.; Villani, F.; Loffredo, F.; Gomes, H.L.; Baumann, R.R. Up-scaling of the manufacturing of all-inkjet-printed organic thin-film transistors: Device performance and manufacturing yield of transistor arrays. Org. Electron. 2016, 30, 237–246. [Google Scholar] [CrossRef]
- Tao, R.; Ning, H.; Fang, Z.; Chen, J.; Cai, W.; Zhou, Y.; Zhu, Z.; Yao, R.; Peng, J. Homogeneous Surface Profiles of Inkjet-Printed Silver Nanoparticle Films by Regulating Their Drying Microenvironment. J. Phys. Chem. C 2017, 121, 8992–8998. [Google Scholar] [CrossRef]
- Tang, W.; Feng, L.; Zhao, J.; Cui, Q.; Chen, S.; Guo, X. Inkjet printed fine silver electrodes for all-solution-processed low-voltage organic thin film transistors. J. Mater. Chem. C 2014, 2, 1995–2000. [Google Scholar] [CrossRef]
- Teng, K.; Vest, R. Liquid Ink Jet Printing with MOD Inks for Hybrid Microcircuits. IEEE Trans. Compon. Hybrids Manuf. Technol. 1987, 10, 545–549. [Google Scholar] [CrossRef]
- Gamerith, S.; Klug, A.; Scheiber, H.; Scherf, U.; Moderegger, E.; List, E.J.W. Direct Ink-Jet Printing of Ag–Cu Nanoparticle and Ag-Precursor Based Electrodes for OFET Applications. Adv. Funct. Mater. 2007, 17, 3111–3118. [Google Scholar] [CrossRef]
- Vaseem, M.; Lee, K.M.; Hong, A.; Hahn, Y.B. Inkjet Printed Fractal-Connected Electrodes with Silver Nanoparticle Ink. ACS Appl. Mater. Interface 2012, 4, 3300–3307. [Google Scholar] [CrossRef] [PubMed]
- Lee, H.; Chou, K.; Huang, K. Inkjet printing of nanosized silver colloids. Nanotechnology 2005, 16, 2436–2441. [Google Scholar] [CrossRef] [PubMed]
- Sondi, I.; Goia, D.V.; Matijevi, E. Preparation of highly concentrated stable dispersions of uniform silver nanoparticles. J. Colloid Interface Sci. 2003, 260, 75–81. [Google Scholar] [CrossRef]
- Nie, X.; Wang, H.; Zou, J. Inkjet printing of silver citrate conductive ink on PET substrate. Appl. Surf. Sci. 2012, 261, 554–560. [Google Scholar] [CrossRef]
- Jahn, S.F.; Blaudeck, T.; Baumann, R.R.; Jakob, A.; Ecorchard, P.; Rüffer, T.; Lang, H.; Schmidt, P. Inkjet Printing of Conductive Silver Patterns by Using the First Aqueous Particle-Free MOD Ink without Additional Stabilizing Ligands. Chem. Mater. 2010, 22, 3067–3071. [Google Scholar] [CrossRef]
- Wu, Y.; Li, Y.; Ong, B.S. A Simple and Efficient Approach to a Printable Silver Conductor for Printed Electronics. J. Am. Chem. Soc. 2007, 129, 1862–1863. [Google Scholar] [CrossRef] [PubMed]
- Sowade, E.; Kang, H.; Mitra, K.Y.; Weiß, O.J.; Weber, J.; Baumann, R.R. Correction: Roll-to-roll infrared (IR) drying and sintering of an inkjet-printed silver nanoparticle ink within 1 second. J. Mater. Chem. C 2015, 3, 11974. [Google Scholar] [CrossRef]
- Dearden, A.L.; Smith, P.J.; Shin, D.; Reis, N.; Derby, B.; O’Brien, P. A Low Curing Temperature Silver Ink for Use in Ink-Jet Printing and Subsequent Production of Conductive Tracks. Macromol. Rapid Commun. 2005, 26, 315–318. [Google Scholar] [CrossRef]
- Smith, P.J.; Shin, D.Y.; Stringer, J.E.; Derby, B.; Reis, N. Direct ink-jet printing and low temperature conversion of conductive silver patterns. J. Mater. Sci. 2006, 41, 4153–4158. [Google Scholar] [CrossRef]
- Ueoka, Y.; Nishibayashi, T.; Ishikawa, Y.; Yamazaki, H.; Osada, Y.; Horita, M.; Uraoka, Y. Analysis of printed silver electrode on amorphous indium gallium zinc oxide. Jpn. J. Appl. Phys. 2014, 53, 3E–4E. [Google Scholar] [CrossRef]
- Ning, H.; Chen, J.; Fang, Z.; Tao, R.; Cai, W.; Yao, R.; Hu, S.; Zhu, Z.; Zhou, Y.; Yang, C.; et al. Direct Inkjet Printing of Silver Source/Drain Electrodes on an Amorphous InGaZnO Layer for Thin-Film Transistors. Materials 2017, 10, 51. [Google Scholar] [CrossRef] [PubMed]
- Secor, E.B.; Smith, J.; Marks, T.J.; Hersam, M.C. High-Performance Inkjet-Printed Indium-Gallium-Zinc-Oxide Transistors Enabled by Embedded, Chemically Stable Graphene Electrodes. ACS Appl. Mater. Interface 2016, 8, 17428–17434. [Google Scholar] [CrossRef] [PubMed]
- Ueoka, Y.; Ishikawa, Y.; Bermundo, J.; Yamazaki, H.; Urakawa, S.; Osada, Y.; Horita, M.; Uraoka, Y. Effect of contact material on amorphous InGaZnO thin-film transistor characteristics. Jpn. J. Appl. Phys. 2014, 53, 3C–4C. [Google Scholar] [CrossRef]
- Yabuta, H.; Sano, M.; Abe, K.; Aiba, T.; Den, T.; Kumomi, H.; Nomura, K.; Kamiya, T.; Hosono, H. High-mobility thin-film transistor with amorphous InGaZnO4 channel fabricated by room temperature rf-magnetron sputtering. Appl. Phys. Lett. 2006, 89, 112123. [Google Scholar] [CrossRef]
- Dong, Y.; Li, X.; Liu, S.; Zhu, Q.; Li, J.; Sun, X. Facile synthesis of high silver content MOD ink by using silver oxalate precursor for inkjet printing applications. Thin Solid Films 2015, 589, 381–387. [Google Scholar] [CrossRef]





© 2017 by the authors. Licensee MDPI, Basel, Switzerland. This article is an open access article distributed under the terms and conditions of the Creative Commons Attribution (CC BY) license (http://creativecommons.org/licenses/by/4.0/).
Share and Cite
Yang, C.; Fang, Z.; Ning, H.; Tao, R.; Chen, J.; Zhou, Y.; Zheng, Z.; Yao, R.; Wang, L.; Peng, J.; et al. Amorphous InGaZnO Thin Film Transistor Fabricated with Printed Silver Salt Ink Source/Drain Electrodes. Appl. Sci. 2017, 7, 844. https://doi.org/10.3390/app7080844
Yang C, Fang Z, Ning H, Tao R, Chen J, Zhou Y, Zheng Z, Yao R, Wang L, Peng J, et al. Amorphous InGaZnO Thin Film Transistor Fabricated with Printed Silver Salt Ink Source/Drain Electrodes. Applied Sciences. 2017; 7(8):844. https://doi.org/10.3390/app7080844
Chicago/Turabian StyleYang, Caigui, Zhiqiang Fang, Honglong Ning, Ruiqiang Tao, Jianqiu Chen, Yicong Zhou, Zeke Zheng, Rihui Yao, Lei Wang, Junbiao Peng, and et al. 2017. "Amorphous InGaZnO Thin Film Transistor Fabricated with Printed Silver Salt Ink Source/Drain Electrodes" Applied Sciences 7, no. 8: 844. https://doi.org/10.3390/app7080844
APA StyleYang, C., Fang, Z., Ning, H., Tao, R., Chen, J., Zhou, Y., Zheng, Z., Yao, R., Wang, L., Peng, J., & Song, Y. (2017). Amorphous InGaZnO Thin Film Transistor Fabricated with Printed Silver Salt Ink Source/Drain Electrodes. Applied Sciences, 7(8), 844. https://doi.org/10.3390/app7080844

