An Efficient Synthesis of Novel Pyrazole-Based Heterocycles as Potential Antitumor Agents
Abstract
1. Introduction
2. Results and Discussion
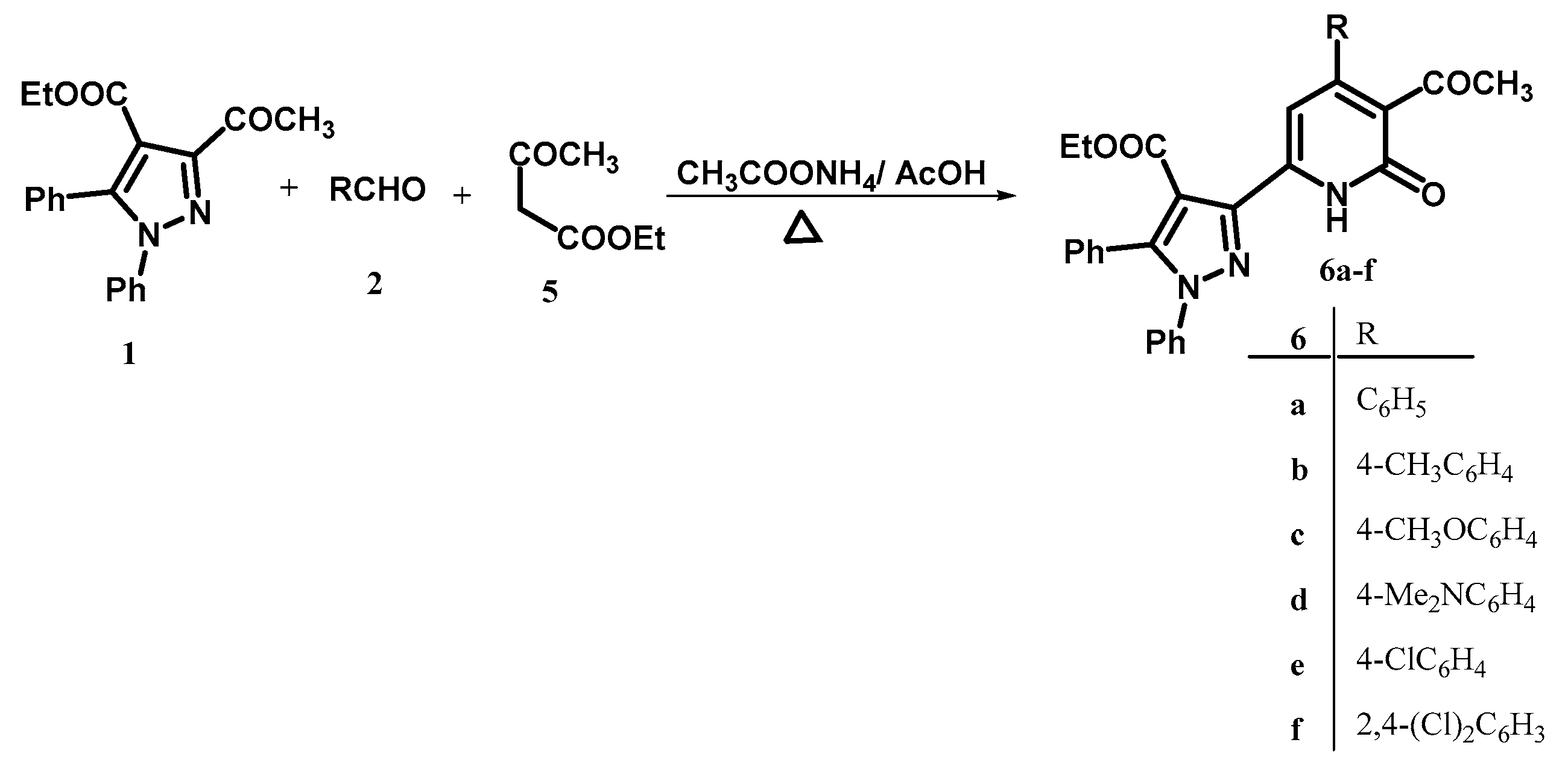
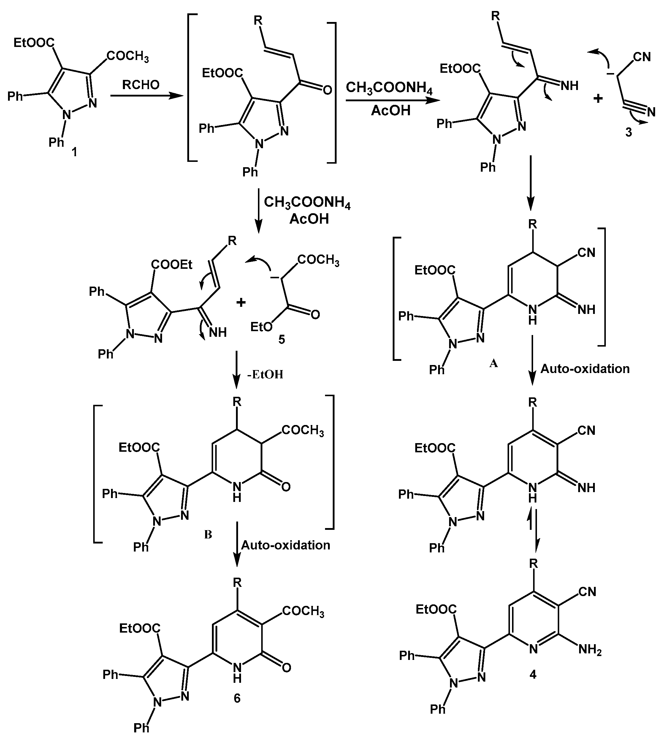
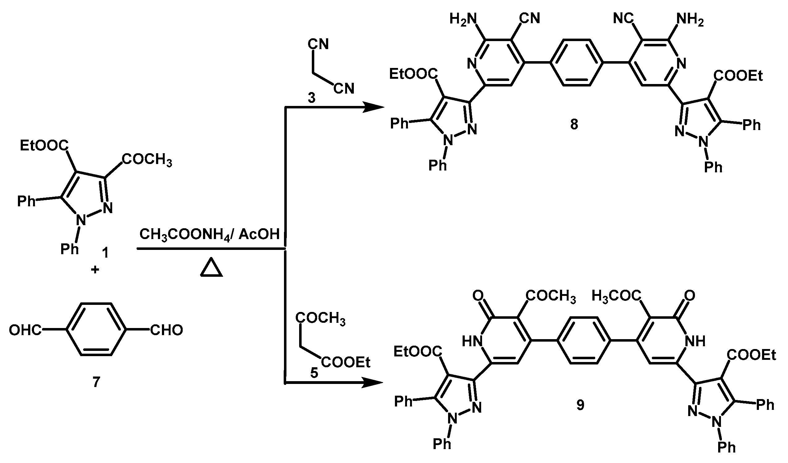
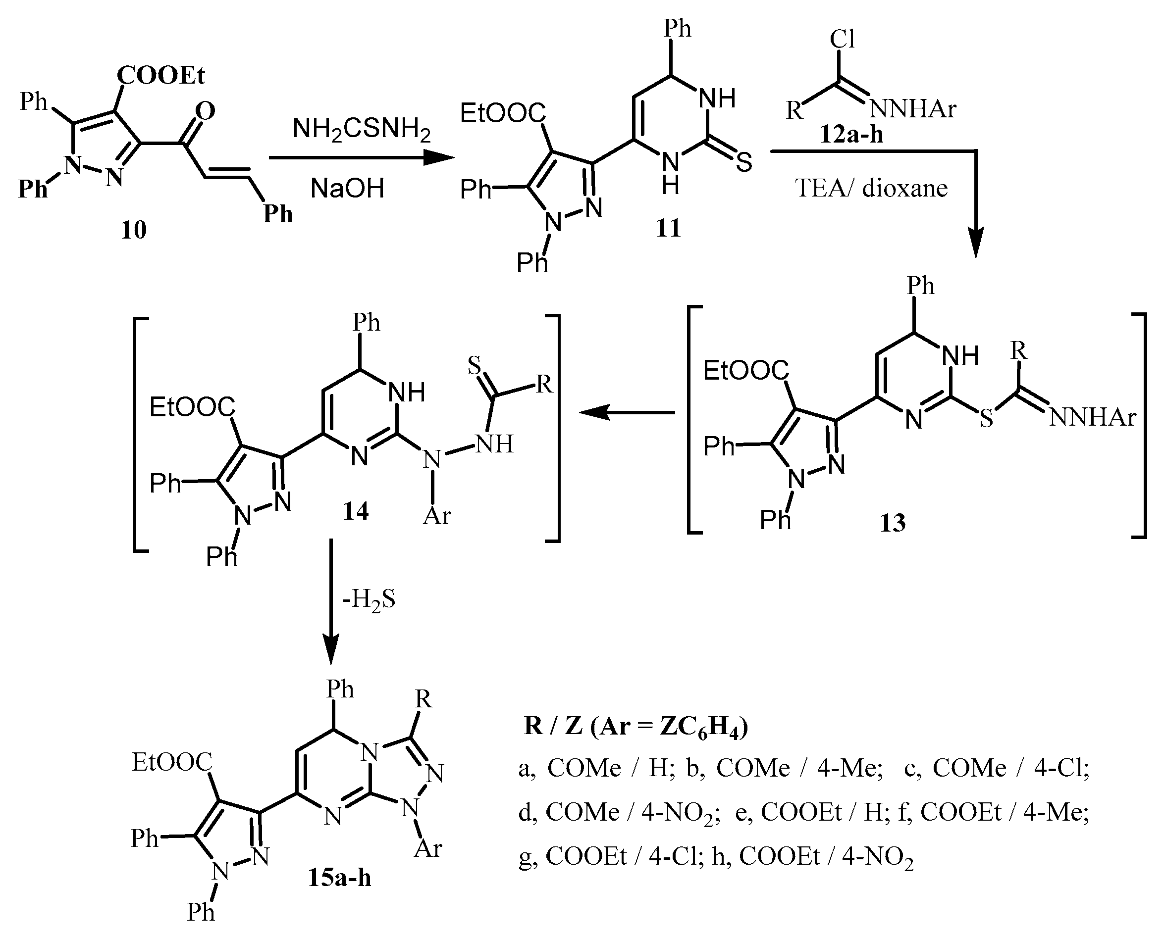
2.1. Chemistry
2.2. Antitumor Activity
Structural Activity Relationship SAR
3. Experimental
3.1. Chemistry
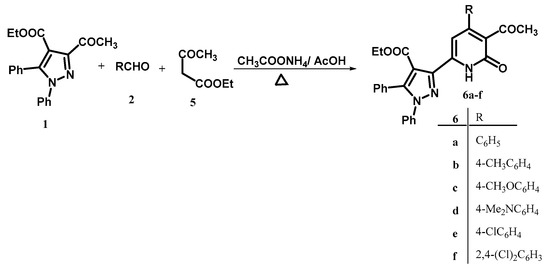
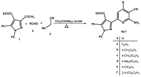
3.1.1. Synthesis of Tetra-Substituted Pyridine Derivatives (4a–f and 6a–f)
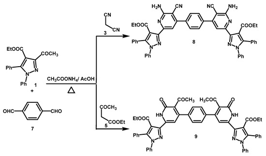
3.1.2. Synthesis of Bipyridine Derivatives 8 and 9
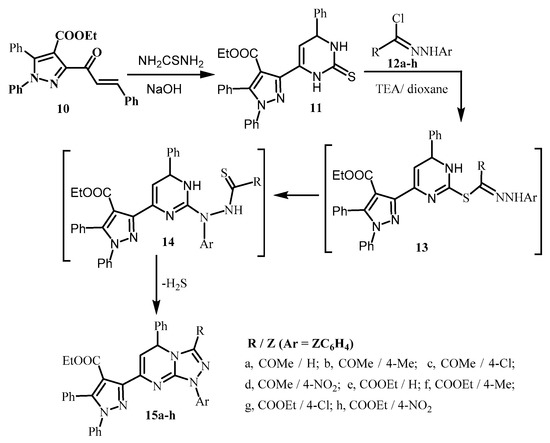
3.1.3. Synthesis of 1,5-Diphenyl-1,5-dihydro-[1,2,4]triazolo[4,3-a]pyrimidine derivatives 15a–h
3.2. Cytotoxic Activity
4. Conclusions
Acknowledgments
Author Contributions
Conflicts of Interest
References
- Kam, D.; Kim, K.; Kim, H.-S.; Liu, H.K. Studies on film formation on cathodes using pyrazole derivatives as electrolyte additives in the Li-ion battery. Electrochem. Commun. 2009, 11, 1657–1660. [Google Scholar] [CrossRef]
- Keter, F.K.; Darkwa, J. Perspective: The potential of pyrazole-based compounds in medicine. Biometals 2012, 25, 9–21. [Google Scholar] [CrossRef] [PubMed]
- Yutilov, Y.M.; Smolyar, N.N.; Minkina, L.V. Synthesis of 3-(3′′-Aminobenzoylamido)-1-(2′,4′,6′-trichlorophenyl)pyrazol-5-one, an intermediate in the synthesis of the purple component of color photographic materials. Russ. J. Appl. Chem. 2005, 78, 278–280. [Google Scholar] [CrossRef]
- Tingle, C.C.; Rother, J.A.; Dewhurst, C.F.; Lauer, S.; King, W.J. Fipronil: Environmental fate, ecotoxicology, and human health concerns. Rev. Environ. Contam. Toxicol. 2003, 176, 1–66. [Google Scholar] [PubMed]
- Metwally, M.A.; Abdel-Galil, E.; Metwally, A.; Amer, F.A. New azodisperse dyes with thiazole, thiophene, pyridone and pyrazolone moiety for dyeing polyester fabrics. Dyes Pigment. 2012, 92, 902–908. [Google Scholar] [CrossRef]
- Aly, H.M.; El-Gazzar, M.G. Novel pyrazole derivatives as anticancer and radiosensitizing agents. Arzneimittelforschung 2012, 62, 105–112. [Google Scholar] [CrossRef] [PubMed]
- Puthiyapurayil, P.; Poojary, B.; Chikkanna, C.; Buridipad, S.K. Design, synthesis and biological evaluation of a novel series of 1,3,4-oxadiazole bearing N-methyl-4-(trifluoromethyl) phenyl pyrazole moiety as cytotoxic agents. Eur. J. Med. Chem. 2012, 53, 203–210. [Google Scholar] [CrossRef] [PubMed]
- Hassan, G.S.; Kadry, H.H.; Abou-Seri, S.M.; Ali, M.M.; Mahmoud, A.E. Synthesis and in vitro cytotoxic activity of novel pyrazolo[3,4-d]pyrimidines and related pyrazole hydrazones toward breast adenocarcinoma MCF-7 cell line. Bioorg. Med. Chem. 2011, 19, 6808–6817. [Google Scholar] [CrossRef] [PubMed]
- El-Zahar, M.I.; El-Karim, S.S.A.; Haiba, M.E.; Khedr, M.A. Synthesis, antitumor activity and molecular docking study of novel benzofuran-2-yl pyrazole pyrimidine derivatives. Acta Pol. Pharm. 2011, 68, 357–373. [Google Scholar] [PubMed]
- El-Gamal, M.I.; Sim, T.B.; Hong, J.H.; Cho, J.-H.; Yoo, K.H.; Oh, C.-H. Synthesis of 1H-pyrazole-1-carboxamide derivatives and their antiproliferative activity against melanoma cell line. Arch. Pharm. 2011, 344, 197–204. [Google Scholar] [CrossRef] [PubMed]
- Sharshira, E.M.; Hamada, N.M.M. Synthesis and antimicrobial evaluation of some pyrazole derivatives. Molecules 2012, 17, 4962–4971. [Google Scholar] [CrossRef] [PubMed]
- Ragavan, R.V.; Vijayakumar, V.; Kumari, N.S. Synthesis and antimicrobial activities of novel 1,5-diaryl pyrazoles. Eur. J. Med. Chem. 2010, 45, 1173–1180. [Google Scholar] [CrossRef] [PubMed]
- Ouyang, G.; Chen, Z.; Cai, X.-J.; Song, B.-A.; Bhadury, P.S.; Yang, S.; Jin, L.-H.; Xue, W.; Hu, D.-Y.; Zeng, S. Synthesis and antiviral activity of novel pyrazole derivatives containing oxime esters group. Bioorg. Med. Chem. 2008, 16, 9699–9707. [Google Scholar] [CrossRef] [PubMed]
- Sanchez-Moreno, M.; Gomez-Contreras, F.; Navarro, P.; Marin, C.; Ramirez-Macias, I.; Olmo, F.; Sanz, A.M.; Campayo, L.; Cano, C.; Yunta, M.J. In vitro leishmanicidal activity of imidazole- or pyrazole-based benzo[g]phthalazine derivatives against Leishmania infantum and Leishmania braziliensis species. J. Antimicrob. Chemoth. 2012, 67, 387–397. [Google Scholar] [CrossRef] [PubMed]
- El-Din, M.M.M.; Senbel, A.M.; Bistawroos, A.A.; El-Mallah, A.; El-Din, N.A.N.; Bekhit, A.A.; El Razik, H.A.A. A novel COX-2 inhibitor pyrazole derivative proven effective as an anti-inflammatory and analgesic drug. Basic Clin. Pharmacol. 2011, 108, 263–273. [Google Scholar] [CrossRef] [PubMed]
- Raffa, D.; Migliara, O.; Maggio, B.; Plescia, F.; Cascioferro, S.; Cusimano, M.G.; Tringali, G.; Cannizzaro, C.; Plescia, F. Pyrazolobenzotriazinone derivatives as COX inhibitors: Synthesis, biological activity, and molecularmodeling studies. Arch. Pharm. Chem. Life Sci. 2010, 10, 631–638. [Google Scholar] [CrossRef] [PubMed]
- Tomazetti, J.; Avila, D.S.; Ferreira, A.P.; Martins, J.S.; Souza, F.R.; Royer, C. Baker yeast-induced fever in young rats: Characterization and validation of an animal model for antipyretics screening. J. Neurosci. Methods 2005, 147, 29–35. [Google Scholar] [CrossRef] [PubMed]
- Dekhane, D.V.; Pawar, S.S.; Gupta, S.; Shingare, M.S.; Patil, C.R.; Thore, S.N. Synthesis and anti-inflammatory activity of some new 4,5-dihydro-1,5-diaryl-1H-pyrazole-3-substituted-heteroazole derivatives. Bioorg. Med. Chem. Lett. 2011, 21, 6527–6532. [Google Scholar] [CrossRef] [PubMed]
- Agrawal, R.; Jain, P.; Dikshit, S.N. Apixaban: A new player in the anticoagulant class. Curr. Drug Targets 2012, 13, 863–875. [Google Scholar] [CrossRef] [PubMed]
- Backhouse, K.; Sarac, I.; Shojaee-Moradie, F.; Stolinski, M.; Robertson, M.D.; Frost, G.S.; Bell, J.D.; Thomas, E.L.; Wright, J.; Russell-Jones, D.; et al. Fatty acid flux and oxidation are increased by rimonabant in obese women. Metabolis 2012, 61, 1220–1223. [Google Scholar] [CrossRef] [PubMed]
- Ranu, B.C.; Jana, R.; Sowmiah, S. An improved procedure for the three-component synthesis of highly substituted pyridines using ionic liquid. J. Org. Chem. 2007, 72, 3152–3154. [Google Scholar] [CrossRef] [PubMed]
- Abbas, I.M.; Gomha, S.M.; Elaasser, M.M.; Bauomi, M.A. Synthesis and biological evaluation of new pyridines containing imidazole moiety as antimicrobial and anticancer agents. Turk. J. Chem. 2015, 39, 334–346. [Google Scholar] [CrossRef]
- Xu, W.C.; Zhou, Q.; Ashendel, C.L.; Chang, C.T.; Chang, C.J. Novel protein kinase C inhibitors: Synthesis and PKC inhibition of β-substituted polythiophene derivatives. Bioorg. Med. Chem. Lett. 1999, 9, 2279–2282. [Google Scholar] [CrossRef]
- Zhao, L.X.; Moon, Y.S.; Basnet, A.; Kim, E.K.; Jahng, Y.; Park, J.G.; Jeong, T.C.; Cho, W.J.; Choi, S.U.; Lee, C.O.; et al. The discovery and synthesis of novel adenosine receptor (A2A) antagonists. Bioorg. Med. Chem. Lett. 2004, 14, 1333–1336. [Google Scholar] [CrossRef] [PubMed]
- Zhao, L.X.; Sherchan, J.; Park, J.K.; Jahng, Y.; Jeong, B.S.; Jeong, T.C.; Lee, C.S.; Lee, E.S. Synthesis, cytotoxicity and structure-activity relationship study of terpyridines. Arch. Pharm. Res. 2006, 29, 1091–1095. [Google Scholar] [CrossRef] [PubMed]
- Son, J.K.; Zhao, L.X.; Basnet, A.; Thapa, P.; Karki, R.; Na, Y.; Jahng, Y.; Jeong, T.C.; Jeong, B.S.; Lee, C.S.; et al. Synthesis of 2,6-diaryl-substituted pyridines and their antitumor activities. Eur. J. Med. Chem. 2008, 43, 675–682. [Google Scholar] [CrossRef] [PubMed]
- Thapa, P.; Karki, R.; Choi, H.Y.; Choi, J.H.; Yun, M.; Jeong, B.S.; Jung, M.J.; Nam, J.M.; Na, Y.; Cho, W.J.; et al. Synthesis of 2-(thienyl-2-yl or -3-yl)-4-furyl-6-aryl pyridine derivatives and evaluation of their topoisomerase I and II inhibitory activity, cytotoxicity, and structure–activity relationship. Bioorg. Med. Chem. 2010, 18, 2245–2254. [Google Scholar] [CrossRef] [PubMed]
- Jeong, B.S.; Choi, H.Y.; Thapa, P.; Karki, R.; Lee, E.; Nam, J.M.; Na, Y.; Ha, E.-M.; Kwon, Y.; Lee, E.S. Synthesis, Topoisomerase I and II Inhibitory activity, cytotoxicity, and structure-activity relationship study of rigid analogues of 2,4,6-trisubstituted pyridine containing 5,6-dihydrobenzo[h]quinoline moiety. Bull. Korean Chem. Soc. 2011, 32, 303–306. [Google Scholar] [CrossRef]
- Eryazici, I.; Moorefield, C.N.; Newkome, G.R. Square-Planar Pd(II), Pt(II), and Au(III) Terpyridine Complexes: Their Syntheses, Physical Properties, Supramolecular Constructs, and Biomedical Activities. Chem. Rev. 2008, 108, 1834–1895. [Google Scholar] [CrossRef] [PubMed]
- Patel, K.K.; Plummer, E.A.; Darwish, M.; Rodger, A.; Hannon, M.J. Aryl substituted ruthenium bis-terpyridine complexes: Intercalation and groove binding with DNA. J. Inorg. Biochem. 2002, 91, 220–229. [Google Scholar] [CrossRef]
- Weber, L. The application of multi-component reactions in drug discovery. Curr. Med. Chem. 2002, 9, 2085–2093. [Google Scholar] [CrossRef] [PubMed]
- Hulme, C.; Gore, V. Multi-component reactions: Emerging chemistry in drug discovery from xylocain to crixivan. Curr. Med. Chem. 2003, 10, 51–80. [Google Scholar] [CrossRef] [PubMed]
- Nair, V.; Rajesh, C.; Vinod, A.U.; Bindu, S.; Sreekanth, A.R.; Mathen, J.S.; Balagopal, L. Strategies for heterocyclic construction via novel multicomponent reactions based on isocyanides and nucleophilic carbenes. Acc. Chem. Res. 2003, 36, 899–907. [Google Scholar] [CrossRef] [PubMed]
- Andrade, C.K.Z.; Barreto, A.S.; Silva, W.A. Microwave assisted solvent-, support- and catalyst-free synthesis of enaminones. Ark. Arch. Org. Chem. 2008, xii, 226–232. [Google Scholar]
- Bortolini, O.; D’Agostino, M.; De Nino, A.; Maiuolo, L.; Nardi, M.; Sindona, G. Solvent-free, microwave assisted 1,3-cycloaddition of nitrones with vinyl nucleobases for the synthesis of N,O-nucleosides. Tetrahedron 2008, 64, 8078–8081. [Google Scholar] [CrossRef]
- Ganesan, S.; Muthuraaman, B.; Madhavan, J.; Mathew, V.; Maruthamuthu, P.; Suthanthiraraj, S.A. The use of 2,6-bis (N-pyrazolyl) pyridine as an efficient dopant in conjugation with poly(ethylene oxide) for nanocrystalline dye-sensitized solar cells. Electrochim. Acta 2008, 53, 7903–7907. [Google Scholar] [CrossRef]
- Manikandan, P.; Padmakumar, K.; Justin Thomas, K.R.; Varghese, B.; Onodera, H.; Manoharan, P.T. Lattice-Dictated Conformers in Bis(pyrazolyl)pyridine-Based Iron(II) Complexes: Mössbauer, NMR, and Magnetic Studies. Inorg. Chem. 2001, 40, 6930–6939. [Google Scholar] [CrossRef] [PubMed]
- Jameson, D.L.; Goldsby, K.A. 2,6-bis(N-pyrazolyl)pyridines: The convenient synthesis of a family of planar tridentate N3 ligands that are terpyridine analogs. J. Org. Chem. 1990, 55, 4992–4994. [Google Scholar] [CrossRef]
- Zoppellaro, G.; Enkelmann, V.; Geies, A.; Baumgarten, M. A Multifunctional High-Spin Biradical Pyrazolylbipyridine-bisnitronylnitroxide. Org. Lett. 2004, 6, 4929–4932. [Google Scholar] [CrossRef] [PubMed]
- Prakash, O.; Hussain, K.; Kumar, R.; Wadhwa, D.; Sharma, C.; Aneja, K.R. Synthesis and antimicrobial evaluation of new1,4-dihydro-4-pyrazolylpyridines and 4-Pyrazolylpyridines. Org. Med. Chem. Lett. 2011, 1, 1–7. [Google Scholar] [CrossRef] [PubMed]
- Motaung, M.P.; Ajibade, P.A. Ru(II) and Co(II) Complexes of bis(pyrazolyl)pyridine and pyridine-2,6-dicarboxylic Acid: Synthesis, Photo Physical Studies and Evaluation of Solar Cell Conversion Efficiencies. Int. J. Electrochem. Sci. 2015, 10, 8087–8096. [Google Scholar]
- Zoppellaro, G.; Geies, G.; Enkelmann, V.; Baumgarten, M. 2,6-Bis(pyrazolyl)pyridine Functionalised with Two Nitronylnitroxide and Iminonitroxide Radicals. Eur. J. Org. Chem. 2004, 2004, 2367–2374. [Google Scholar] [CrossRef]
- Gomha, S.M.; Salah, T.A.; Abdelhamid, A.O. Synthesis, characterization and pharmacological evaluation of some novel thiadiazoles and thiazoles incorporating pyrazole moiety as potent anticancer agents. Monatsh. Chem. 2015, 146, 149–158. [Google Scholar] [CrossRef]
- Gomha, S.M.; Abdel-aziz, H.M. Synthesis and antitumor activity of 1,3,4-thiadiazole derivatives bearing coumarine ring. Heterocycles 2015, 91, 583–592. [Google Scholar] [CrossRef]
- Dawood, K.M.; Gomha, S.M. Synthesis and anti-cancer activity of 1,3,4-thiadiazole and 1,3-thiazole derivatives having 1,3,4-oxadiazole moiety. J. Heterocycl. Chem. 2015, 52, 1400–1405. [Google Scholar] [CrossRef]
- Abbas, I.M.; Gomha, S.M.; Elneairy, M.A.A.; Elaasser, M.M.; Mabrouk, B.K.A. Antimicrobial and anticancer evaluation of novel synthetic tetracyclic system through Dimroth rearrangement. J. Serb. Chem. Soc. 2015, 80, 1251–1264. [Google Scholar]
- Gomha, S.M.; Abbas, I.M.; Elneairy, M.A.A.; Elaasser, M.M.; Mabrouk, B.K.A. Synthesis and biological evaluation of novel fused triazolo[4,3-a] pyrimidinones. Turk. J. Chem. 2015, 39, 510–531. [Google Scholar]
- Gomha, S.M.; Zaki, Y.H.; Abdelhamid, A.O. Utility of 3-acetyl-6-bromo-2H-chromen-2-one for synthesis of new heterocycles as potential anticancer agents. Molecules 2015, 20, 21826–21839. [Google Scholar] [CrossRef] [PubMed]
- Gomha, S.M.; Riyadh, S.M.; Mahmmoud, E.A.; Elaasser, M.M. Chitosan-grafted-poly(4-vinylpyridine) as a novel copolymer basic catalyst for synthesis of arylazothiazoles and 1,3,4-thiadiazoles under microwave irradiation. Chem. Heterocycl. Comp. 2015, 51, 1030–1038. [Google Scholar] [CrossRef]
- Gomha, S.M.; Salah, T.A.; Hassaneen, H.M.E.; Abdel-aziz, H.; Khedr, M.A. Synthesis, characterization and molecular docking of novel bioactive thiazolyl-thiazole derivatives as promising cytotoxic antitumor drug. Molecules 2016, 21, 3. [Google Scholar] [CrossRef] [PubMed]
- Gomha, S.M.; Badrey, M.G.; Edrees, M.M. Heterocyclization of a bis-thiosemicarbazone of 2,5-diacetyl-3,4-disubstituted-thieno[2,3-b]thiophene bis-thiosemicarbazones leading to bis-thiazoles and bis-1,3,4-thiadiazoles as anti-breast cancer agents. J. Chem. Res. 2016, 40, 120–125. [Google Scholar] [CrossRef]
- Gomha, S.M.; Abdallah, M.A.; Mourad, M.A.; Elaasser, M.M. Application of Mannich and Michael reactions in synthesis of pyridopyrimido[2,1-b][1,3,5]thiadiazinones and pyridopyrimido[2,1-b][1,3]thiazinones and their biological activity. Heterocycles 2016, 92, 688–699. [Google Scholar] [CrossRef]
- Ibrahim, M.K.; El-Ghandour, A.H.H.; Abou-hadeed, K.; Abdelhafiz, I.S. Utility of hydzidoyl chlorides: Synthesis of new pyrazoles, pyrazolo[3,4-d]pyridazines, pyrazolo[4,5-b]pyridines and pyrazolo[4,5-d]pyrimidine derivatives. J. Ind. Chem. Soc. 1992, 69, 378–380. [Google Scholar]
- Gomha, S.M.; Abdalla, M.A.; Abdelaziz, M.; Serag, N. Eco-friendly one-pot synthesis and antiviral evaluation of pyrazolyl chalcones and pyrazolines of medicinal interest. Turk. J. Chem. 2016, 40, 484–498. [Google Scholar] [CrossRef]
- Shawali, A.S.; Gomha, S.M. A new entry for short and regioselective synthesis of [1,2,4]triazolo[4,3-b][1,2,4]-triazin-7(1H)-one. Adv. Synth. Catal. 2000, 342, 599–604. [Google Scholar] [CrossRef]
- Gomha, S.M.; Riyadh, S.M.; Abbas, I.M.; Bauomi, M.A. Synthetic utility of ethylidenethiosemicarbazide: Synthesis and and anti-cancer activity of 1,3-thiazines and thiazoles with imidazole moiety. Heterocycles 2012, 87, 341–356. [Google Scholar]






| Compound No. | X | Y | Z | IC50 (nM) | General Structure |
|---|---|---|---|---|---|
| Doxorubicin | - | - | - | 0.08 ± 0.07 | ![]() |
| 4a | H | CN | NH2 | 9.7 ± 0.85 | |
| 4b | Me | CN | NH2 | 1.9 ± 0.16 | |
| 4e | Cl | CN | NH2 | 17.2 ± 0.83 | |
| 6a | H | MeCO | OH | 12.3 ± 0.37 | |
| 6b | Me | MeCO | OH | 2.4 ± 0.29 | |
| 6e | Cl | MeCO | OH | 22.3 ± 0.36 |
© 2017 by the authors. Licensee MDPI, Basel, Switzerland. This article is an open access article distributed under the terms and conditions of the Creative Commons Attribution (CC BY) license (http://creativecommons.org/licenses/by/4.0/).
Share and Cite
Abdallah, M.A.; Gomha, S.M.; Abbas, I.M.; Kazem, M.S.H.; Alterary, S.S.; Mabkhot, Y.N. An Efficient Synthesis of Novel Pyrazole-Based Heterocycles as Potential Antitumor Agents. Appl. Sci. 2017, 7, 785. https://doi.org/10.3390/app7080785
Abdallah MA, Gomha SM, Abbas IM, Kazem MSH, Alterary SS, Mabkhot YN. An Efficient Synthesis of Novel Pyrazole-Based Heterocycles as Potential Antitumor Agents. Applied Sciences. 2017; 7(8):785. https://doi.org/10.3390/app7080785
Chicago/Turabian StyleAbdallah, Magda A., Sobhi M. Gomha, Ikhlass M. Abbas, Mariam S. H. Kazem, Seham S. Alterary, and Yahia N. Mabkhot. 2017. "An Efficient Synthesis of Novel Pyrazole-Based Heterocycles as Potential Antitumor Agents" Applied Sciences 7, no. 8: 785. https://doi.org/10.3390/app7080785
APA StyleAbdallah, M. A., Gomha, S. M., Abbas, I. M., Kazem, M. S. H., Alterary, S. S., & Mabkhot, Y. N. (2017). An Efficient Synthesis of Novel Pyrazole-Based Heterocycles as Potential Antitumor Agents. Applied Sciences, 7(8), 785. https://doi.org/10.3390/app7080785


