Comparative Study of Stator Configurations of a Permanent Magnet Linear Oscillating Actuator for Orbital Friction Vibration Actuator
Abstract
:1. Introduction
2. Design Principle and Topology of PM LOA
3. Influence of Stator Configuration on Thrust Force
3.1. Goal and Method of Comparative Design
3.2. Influence of End Effects
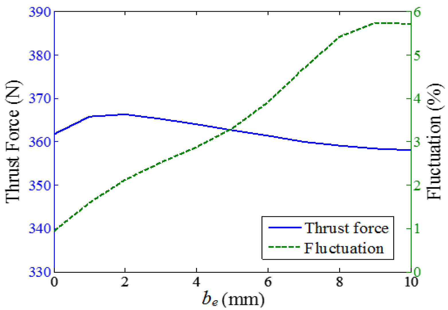
3.3. Influence of Design Parameters on Thrust Force
3.4. Influence of Design Parameters on Thrust Force
4. Prototyping and Experiments
5. Conclusions
Acknowledgments
Author Contributions
Conflicts of Interest
References
- Chen, L.; Li, W.Y.; Ma, T.J. The state of the art and perspectives of linear friction welding technology. Adv. Aeronaut. Sci. Eng. 2010, 1, 178–183. [Google Scholar]
- Lee, H.K.; Song, G.Y.; Park, J.S.; Hong, E.P.; Jung, W.H.; Park, K.B. Development of a linear motor for compressors of household refrigerators. In Proceedings of the International Compressor Engineering Conference, West Lafayette, IN, USA, 25–28 July 2000; pp. 283–286. [Google Scholar]
- Goto, A.; Okamoto, T.; Ikariga, A.; Todaka, T.; Enokizono, M. A New Moving-magnet Type Linear Actuator utilizing Flux Concentration Permanent Magnet Arrangement. J. Electr. Eng. Technol. 2012, 3, 342–348. [Google Scholar] [CrossRef]
- Hong, S.K.; Ro, J.S.; Jung, H.K. Optimal Design of a Novel Permanent Magnetic Actuator using Evolutionary Strategy Algorithm and Kriging Meta-model. J. Electr. Eng. Technol. 2014, 9, 471–477. [Google Scholar] [CrossRef]
- Lu, Q.F.; Yu, M.H.; Ye, Y.Y.; Fang, Y.T.; Zhu, J.G. Thrust Force of Novel PM Transverse Flux Linear Oscillating Actuators With Moving Magnet. IEEE Trans. Magn. 2011, 47, 4211–4214. [Google Scholar] [CrossRef]
- Fujimoto, Y.; Kominami, T.; Hamada, H. Development and Analysis of a High Thrust Force Direct-Drive Linear Actuator. IEEE Trans. Ind. Electr. 2009, 56, 1383–1392. [Google Scholar] [CrossRef]
- Wang, J.B.; Atallah, K.; Wang, W.Y. Analysis of a Magnetic Screw for High Force Density Linear Electromagnetic Actuators. IEEE Trans. Magn. 2011, 47, 4477–4480. [Google Scholar] [CrossRef]
- Xu, F.; Hu, J.H.; Zou, J.B.; Li, Y.; Xu, Y.X.; Fan, H. Comparative investigation of permanent magnet linear oscillatory actuators used in orbital friction vibration machine. Int. Symp. Appl. Electromagn. Mech. 2014, 45, 581–588. [Google Scholar]
- Wang, J.; Howe, D. A tubular permanent magnet machine equipped with homopolar windings. In Proceedings of the International Symposium on Linear Drives for Industry Applications (LDIA 2005), Kobe-Awaji, Japan, 25–28 September 2005; pp. 239–242. [Google Scholar]
- Yeo, H.K.; Woo, D.K.; Lim, D.K.; Ro, J.S. Analysis of a Surface-Mounted Permanent-Magnet Machine with Overhang Structure by Using a Novel Equivalent Magnetic Circuit Model. J. Electr. Eng. Technol. 2014, 9, 1960–1966. [Google Scholar] [CrossRef]
- Ahn, H.M.; Oh, Y.H.; Song, K.D.; Kim, Y.I.; Kho, H.R.; Choi, M.S.; Hahn, S.C. Optimal Design of Permanent Magnetic Actuator for Permanent Magnet Reduction and Dynamic Characteristic Improvement using Response Surface Methodology. J. Electr. Eng. Technol. 2015, 10, 935–943. [Google Scholar] [CrossRef]

















| Design Parameter | Value |
|---|---|
| Stator core width 2τp (mm) | 64 |
| Stator core length Lfe (mm) | 50 |
| Air-gap length g (mm) | 2 |
| Magnet thickness hm (mm) | 10 |
| Magnet (N38SH) remanence Br (T) | 1.23 |
| Items | Value | |
|---|---|---|
| Slot A | Slot B | |
| Slot open width b0 (mm) | 5 | 3 |
| Slot top width b1 (mm) | 19 | 19.5 |
| Slot bottom width b2 (mm) | 14.1 | 19.5 |
| Lateral tooth tip width b3 (mm) | 7 | 7 |
| Lateral tooth width be (mm) | 0 | 0 |
| Lateral magnet width bm0 (mm) | 15 | 15 |
| Tooth tip height h0 (mm) | 2 | 2 |
| Tooth top height h1 (mm) | 13 | 6 |
| Tooth bottom height h2 (mm) | 48.55 | 45.76 |
| Lateral shoulder height h3 (mm) | 9 | 9 |
| Stator height hs (mm) | 72 | 61.9 |
© 2017 by the authors. Licensee MDPI, Basel, Switzerland. This article is an open access article distributed under the terms and conditions of the Creative Commons Attribution (CC BY) license (http://creativecommons.org/licenses/by/4.0/).
Share and Cite
Hu, J.; Zhao, M.; Zou, J.; Li, Y. Comparative Study of Stator Configurations of a Permanent Magnet Linear Oscillating Actuator for Orbital Friction Vibration Actuator. Appl. Sci. 2017, 7, 630. https://doi.org/10.3390/app7060630
Hu J, Zhao M, Zou J, Li Y. Comparative Study of Stator Configurations of a Permanent Magnet Linear Oscillating Actuator for Orbital Friction Vibration Actuator. Applied Sciences. 2017; 7(6):630. https://doi.org/10.3390/app7060630
Chicago/Turabian StyleHu, Jianhui, Meng Zhao, Jibin Zou, and Yong Li. 2017. "Comparative Study of Stator Configurations of a Permanent Magnet Linear Oscillating Actuator for Orbital Friction Vibration Actuator" Applied Sciences 7, no. 6: 630. https://doi.org/10.3390/app7060630
APA StyleHu, J., Zhao, M., Zou, J., & Li, Y. (2017). Comparative Study of Stator Configurations of a Permanent Magnet Linear Oscillating Actuator for Orbital Friction Vibration Actuator. Applied Sciences, 7(6), 630. https://doi.org/10.3390/app7060630
