Abstract
Polymer flooding is now considered a technically- and commercially-proven method for enhanced oil recovery (EOR). The viscosity of the injected polymer solution is the key property for successful polymer flooding. Given that the viscosity of a polymer solution has a non-linear relationship with various influential parameters (molecular weight, degree of hydrolysis, polymer concentration, cation concentration of polymer solution, shear rate, temperature) and that measurement of viscosity based on these parameters is a time-consuming process, the range of solution samples and the measurement conditions need to be limited and precise. Viscosity estimation of the polymer solution is effective for these purposes. An artificial neural network (ANN) was applied to the viscosity estimation of FlopaamTM 3330S, FlopaamTM 3630S and AN-125 solutions, three commonly-used EOR polymers. The viscosities measured and estimated by ANN and the Carreau model using Lee’s correlation, the only method for estimating the viscosity of an EOR polymer solution in unmeasured conditions, were compared. Estimation accuracy was evaluated by the average absolute relative deviation, which has been widely used for accuracy evaluation of the results of ANN models. In all conditions, the accuracy of the ANN model is higher than that of the Carreau model using Lee’s correlation.
1. Introduction
In the primary recovery stage, oil can be mainly produced using natural energy sources, such as reservoir pressure. As oil production progresses, reservoir pressure decreases, and economical oil production is no longer feasible. To reduce the decline of reservoir pressure and push the oil in the reservoir to the production well, water flooding (secondary recovery), which is the process of injecting water into the reservoir, has been commonly applied to most oil fields. The primary and water flooding methods typically extract no more than 10%–40% of the original-oil-in-place [1]. One of the main reasons for oil to remain after water flooding is the high mobility of the injected water induced by its low viscosity. Mobility is defined as the effective permeability of the reservoir divided by the viscosity of the phase, which is water in this case [2]. The high mobility of injected water compared to oil results in low volumetric sweep efficiency and a large amount of remaining oil. Volumetric sweep efficiency is the volume of oil in contact with the displacing agent divided by the volume of the original-oil-in-place [3]. One of the effective methods for increasing volumetric sweep efficiency and oil production is the injection of viscous fluids. Polymer flooding, which is a technique for enhanced oil recovery (EOR), is the process of injecting a viscous polymer solution into the reservoir. Polymer flooding is now considered to be a technically- and commercially-proven EOR method, especially since its large-scale application at Daqing oil field in northern China, which produced about 300,000 barrels of incremental oil per day [4]. The viscosity of the polymer solution is the key property for the successful application of polymer flooding. The required viscosity of the polymer solution, which can effectively push viscous oil from the pores of the reservoir rock to the production well, can be calculated using water saturation in the reservoir, the relative permeability of each phase (oil and water) and oil viscosity [2]. To ascertain whether the viscosity of the available polymer solution can reach the required viscosity given the injection and reservoir conditions, the apparent viscosity (also known as in situ viscosity), which is the viscosity of the polymer solution in a porous medium, such as the reservoir, needs to be calculated. Apparent viscosity cannot be measured directly. Instead, it is calculated according to Darcy’s equation using data from core flood experiments. However, core flood experiments require much time and specialized expertise. The apparent viscosity of polymer solutions has usually been calculated using the viscosity in a bulk solution; this viscosity of a polymer solution in the bulk state can be measured or estimated. Experimental measurement using a rheometer is the most reliable method, but it is a time-consuming process. The measurement requires experience and skill with a special apparatus for the preparation of a homogeneous polymer solution. Generally, the time required for mixing with an EOR polymer is 2–4 days per solution sample. The molecular chain of an EOR polymer can be easily agglomerated and generates a micro-gel; therefore, identifying the homogeneity of the polymer solution through filtration testing is required. Furthermore, the viscosity of a polymer solution is affected by various parameters at the same time in a complex way. Many researchers [5,6,7,8,9,10,11,12,13,14,15,16,17,18,19,20,21] found that the viscosity of polymer solutions for EOR has a non-linear relationship with the molecular weight, degree of hydrolysis, concentration of polymer, cation concentration of polymer solution, shear rate and temperature. Considering the relatively long time required for measurement and the large number of samples induced by various influential parameters, the range of samples and the measurement conditions need to be narrow and focused. Viscosity estimation of the polymer solution is effective for these purposes. The artificial neural network (ANN), which is inspired by the structural and functional aspects of the biological neuron in the human brain, provides a powerful tool for performing non-linear, multi-dimensional interpolations. ANN has been applied to viscosity estimation in a variety of areas to consider the non-linear relationship between various influential parameters and viscosity [22,23,24,25,26]. For EOR polymers, Kang and Lim [27] used ANN to estimate the viscosity of pH-sensitive polymers. ANN’s ability to process data in parallel, which allows the processing of a large number of data in a short period of time, makes it attractive for estimating the viscosity of polymer solutions [28]. In this study, ANN was applied to estimate the viscosity of the bulk solution for general EOR polymers.
2. Types of EOR Polymers
Polyacrylamide (PAM) was applied to polymer flooding, but its usage for enhanced oil recovery has significantly decreased. PAM tends to adsorb strongly on the mineral surfaces of reservoir rock and induces high polymer retention in the reservoir. High polymer adsorption increases the required amount of polymer and decreases injectivity; therefore, the usage of PAM has been avoided for polymer flooding. To reduce polymer adsorption, hydrolyzed polyacrylamide (HPAM) has been applied in the fields. According to Manrique et al. [29], HPAM is the most widely used polymer in EOR applications; it is used in 92% of EOR cases worldwide [30]. HPAM is a copolymer of acrylamide and sodium acrylate and a synthetic, water-soluble straight chain polymer of acrylamide monomers (Figure 1a). It has negative charges along its chain, and the repulsion between the negative charges contributes to the chain extension, thereby resulting in high viscosity. In addition, the availability and low cost of HPAM promotes its wide use in the oil recovery business [31]. HPAM cannot be applied in all reservoir conditions mainly due to its thermal degradation at high temperatures and its high sensitivity to cation concentrations. New polymers that are stable in harsh environments (high temperatures and high cation concentrations) attract attention because of the need for polymer flooding in oil reservoirs with these conditions [32,33,34,35,36,37]. 2-Acrylamido-2-methylpropane-sulfonate copolymer (AMPS) can be effectively applied to high-temperature or high-cation concentration conditions. AMPS has water-soluble anionic sulfonate, shielding acrylamide and unsaturated double bonds (Figure 1b). Sulfonate has high resistance to cations. Rigid side chains, large chains or chains of the ring structure provide high resistance to thermal degradation [2]. Parker and Lezzi [38] reported that the AMPS moiety itself is susceptible to thermal degradation at temperatures above roughly 100 °C. Zhao et al. [39] reported that the viscosity of AMPS/AM was about twice than that of HPAM at the same conditions when salinity was increased. After aging at 90 °C for 16 days, the viscosity of AMPS/AM was almost unchanged [2].
Figure 1.
Molecular structure of each polymer type. (a) HPAM: hydrolyzed polyacrylamide; (b) AMPS: 2-acrylamido-2-methylpropane-sulfonate copolymer.
The polymers investigated in this study consist of two HPAMs with different molecular weights and one copolymer of AMPS and acrylamide, referred to as poly(AM-co-AMPS), which are the most widely-used EOR polymers [40], as shown in Table 1.
Table 1.
Polymers tested in this study.
3. Rheological Characteristics of EOR Polymers
An EOR polymer solution in the bulk state generally behaves like a shear-thinning fluid. The decrease in the viscosity of polymer solution as a function of shear rate can be described using the power-law model [41], as shown in Equation (1). The power-law model can only describe the shear-thinning region, as shown in Figure 2.
Figure 2.
Shear-thinning behavior by the power-law and Carreau models.
At low and high shear rate conditions, an EOR polymer solution behaves similarly to a Newtonian fluid, which cannot be described by the power-law model. In other words, the viscosity of a polymer solution that is lower than the viscosity of the solvent (water) at the same conditions of flow and temperature is not physically reasonable. Empirical constants ( and ) vary with the conditions of the polymer solution; thus, the power-law model cannot estimate unmeasured viscosity without using empirical correlations between the empirical constants and influential parameters.
The Carreau model [42,43] can depict shear-thinning behavior, including Newtonian behavior at low and high shear rates, as shown in Figure 2 and Equation (2).
Model parameters () vary with the conditions of the polymer solution; therefore, the empirical correlations of these parameters are needed for the estimation of the unmeasured viscosity of the polymer solution. Lee et al. [44] used the Martin equation [45] in Equation (3) and proposed empirical correlations, as shown in Equations (4)–(8). These correlations were the only methods for estimating the unmeasured viscosity of a polymer solution. However, Lee [46] reported that the accuracy of this correlation is low in cases of low salinity conditions or FlopaamTM 3630S.
4. Development of ANN Models
ANNs generally consist of input, hidden and output layers. Each layer is composed of interconnected neurons. Every signal from each neuron in a layer is summed up by the neuron in the next layer. Then, bias and weights, which are adjusted by the training process, are applied to this summed-up value. Every signal from each neuron is calculated by the activation function. ANN models are of different types according to their structure, training method or method of processing data through the network. The feed-forward neural network, which comprises neurons in the input layer connected to only one succeeding layer, is the most common type of ANN [47,48,49]. Previous research [27] proved that a feed-forward neural network with two hidden layers is effective for viscosity estimation of pH-sensitive polymers for enhanced oil recovery.
The parameters that are influential on the viscosity of the polymer solution need to be included in the input layer; therefore, polymer physics and oil field conditions should be considered in the selection of neurons for the input layer. A polymer solution for enhanced oil recovery is a non-Newtonian fluid, and the shear rate was included in the input layer. The viscosity of a polymer solution increases as the polymer concentration increases. The increased number of polymer molecules induces more interactions between polymer chains and results in more frictional effects that increase viscosity. Various monocations and divalent cations are found in the reservoir and can neutralize the charge in the polymer side chains. The viscosity of a polymer solution decreases when a cation is added. Na+ is one of the most common cations in injection water and formation water that is directly in contact with the polymer. Previous studies [11,15] reported that Ca2+ causes greater viscosity reduction than other common divalent cations, such as Mg2+. An increase in temperature results in enhanced activity of polymer molecules and reduced friction between molecules, which decreases viscosity. In this study, the input layer consists of five neurons, namely, shear rate, polymer concentration, NaCl concentration, Ca2+ concentration and temperature. This study proposes three ANN models, one each for FlopaamTM 3330S, FlopaamTM 3630S and AN-125. Thus, the molecular weight and the degree of hydrolysis, which are polymer properties, were not included in the input layer.
For training, validating and testing of the ANN model, the measured viscosity data for each polymer from the literature [46] based on shear rate, polymer concentration, NaCl concentration, Ca2+ concentration and temperature were used as shown in Table 2. These data were randomly divided into training (70%), validation (15%) and test (15%) sets. For training the ANN model, the Levenberg-Marquardt method [50,51] was applied as shown in Appendix. This method has been used for viscosity estimation effectively [23,25,26,27].
Table 2.
Conditions of polymer solutions.
To identify the appropriate structure of the ANN model, a trial-and-error process was applied based on the number of neurons in the hidden layer and the activation function with data processing. An exceedingly large number of neurons tends to induce over-fitting phenomena, whereas too small a number of neurons tends to decrease accuracy. To identify the appropriate activation function between layers, the log sigmoid function (logsig), the hyperbolic tangent sigmoid transfer function (tansig) and the linear transfer function (purelin) were examined as shown in Figure 3.
Figure 3.
Types of activation functions. (a) Logsig. (b) Tansig. (c) Purelin.
After the examination of thousands of structures of ANN models for FlopaamTM 3330S, FlopaamTM 3630S and AN-125, the feed-forward neural network with two hidden layers, including five neurons in each layer was selected (Figure 4). Only the ANN model with a tangent sigmoid transfer function in the hidden layers and a linear transfer function in the output layer showed well-matched results for all cases in this study.
Figure 4.
Structure of the artificial neural network (ANN) model.
Figure 5, Figure 6 and Figure 7 show the comparison of measured data with the training, validating and testing results of the estimated data using the ANN model. The estimated data using each ANN model in this study show good agreement with the measured data based on shear rate, polymer concentration, NaCl concentration, Ca2+ concentration and temperature. It is interesting to note that the same structure of the ANN model resulted in estimates that are well matched with measured viscosity for all three polymers (FlopaamTM 3330S, FlopaamTM 3630S and AN-125).
Figure 5.
Comparison of the measured and estimated data for FlopaamTM 3330S, cp is centi-poise. (a) Training. (b) Validation. (c) Test.
Figure 6.
Comparison of the measured and estimated data for FlopaamTM 3630S. (a) Training. (b) Validation. (c) Test.
Figure 7.
Comparison of the measured and estimated data for AN-125. (a) Training. (b) Validation. (c) Test.
5. Results of Viscosity Estimation Using ANN Models
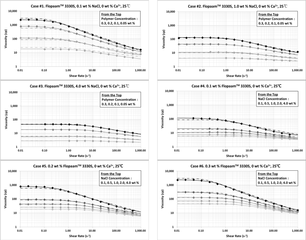
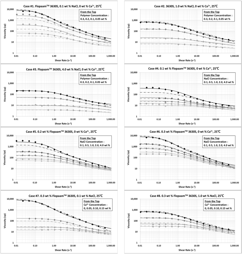
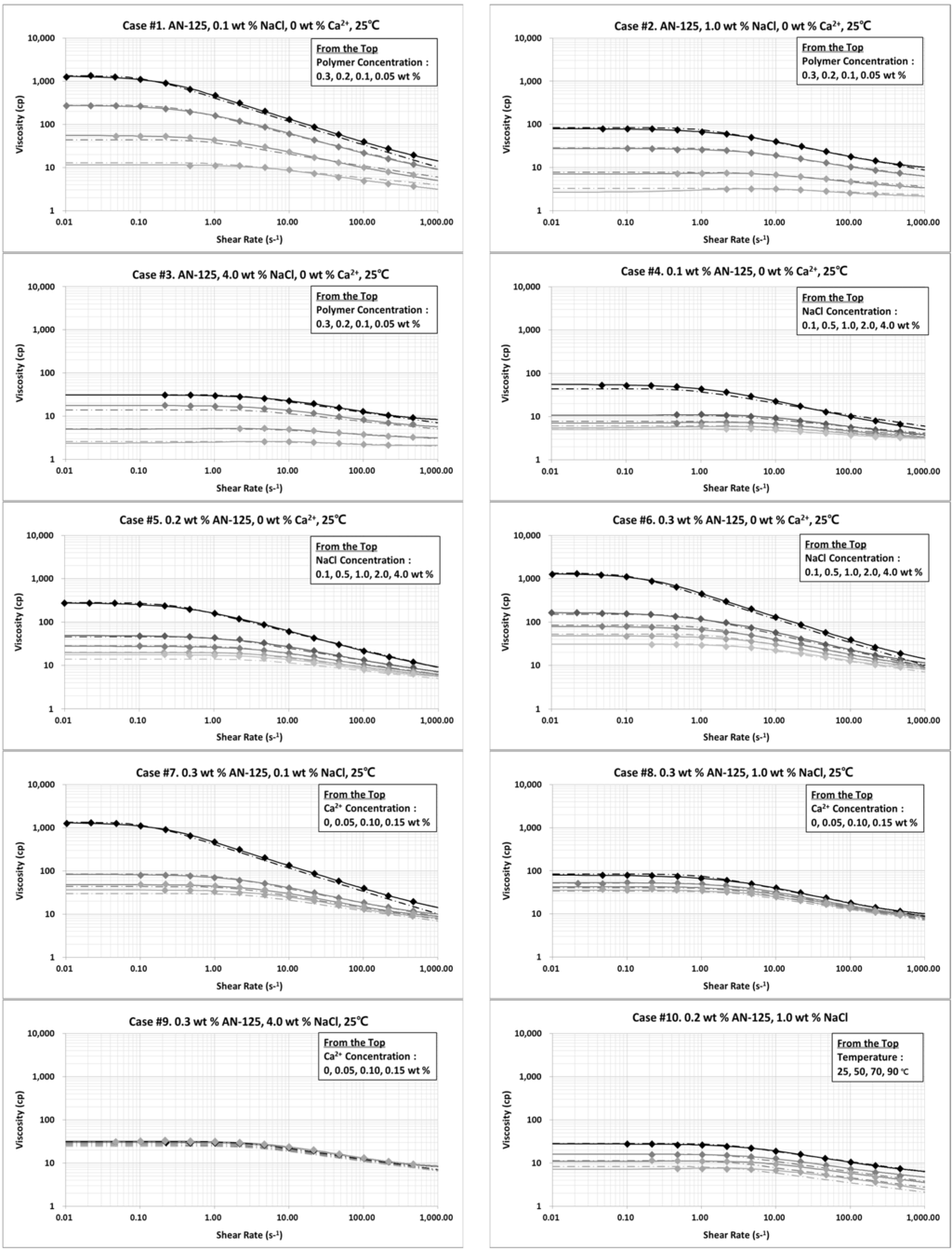
The proposed ANN models were applied to the viscosity estimation of polymer solutions as shown in Table 2. The measured viscosity, viscosity estimated by the ANN model and viscosity estimated by the Carreau model using Lee’s correlation [44] were compared, as shown in Figure 8, Figure 9 and Figure 10. The viscosity estimate from the Carreau model using Lee’s correlation did not match well with the measured viscosity in the case of low salinity conditions (0.1 wt % NaCl), as shown in Case #1 of FlopaamTM 3330S and FlopaamTM 3360S. The viscosity estimate from the ANN model was in good agreement with the measured viscosity overall. The accuracy of the estimated viscosity was evaluated using the average absolute relative deviation (AARD), as shown in Equation (9).

Figure 8.
Comparison between the measured and estimated viscosities of FlopaamTM 3330S. Line, viscosity estimated by the ANN model; dot, measured viscosity; dotted line, viscosity estimated by the Carreau model using Lee’s correlation.

Figure 9.
Comparison between the measured and estimated viscosities of FlopaamTM 3630S. Line, viscosity estimated by the ANN model; dot, measured viscosity; dotted line, viscosity estimated by the Carreau model using Lee’s correlation.
Figure 10.
Comparison between the measured and estimated viscosities of AN-125. Line, viscosity estimated by the ANN model; dot, measured viscosity; dotted line, viscosity estimated by the Carreau model using Lee’s correlation.
AARD, which is also known as the maximum average error percentage, average absolute percentage error or average absolute relative error (fraction form), has been widely used for evaluating the accuracy of the results by ANN models [22,23,24,25,26,27]. The calculated AARD is shown in Figure 11.
Figure 11.
Average absolute relative deviation (AARD) of the viscosity estimated by the ANN model and by the Carreau model using Lee’s correlation. (a) FlopaamTM 3330S. (b) FlopaamTM 3630S. (c) AN-125.
In all cases, the AARD of the viscosity estimate from the ANN model was lower than that of the Carreau model using Lee’s correlation, which means that the ANN model tends to estimate the viscosity of the polymer solution more closely to the measured viscosity than does the Lee correlation. If the ANN model cannot recognize the relationship between influential parameters and viscosity, it cannot estimate viscosity accurately for some conditions of polymer solutions. For high accuracy of the Lee correlation, a strong linear relationship between polymer concentration and needs to exist. According to Lee [46], this relationship in low salinity conditions is not linear, unlike that in higher salinity conditions, which is one of the possible reasons for the low accuracy of the Lee correlation. Another possible reason is that the measured of FlopaamTM 3630S did not match well with the estimated by the Lee correlation, unlike FlopaamTM 3330S and AN-125 [46]. In certain conditions, the relationships between the influential parameters and viscosity can change.
6. Conclusions and Discussions
- In this study, ANN was applied to estimate the viscosity of various bulk solutions of the most widely-used EOR polymers (FlopaamTM 3330S, FlopaamTM 3630S and AN-125) based on shear rate, polymer concentration, NaCl concentration, Ca2+ concentration and temperature. As a result, three ANN models, one for each of the EOR polymers, were presented.
- The viscosity estimated using the ANN models is in good agreement with the measured viscosity. Based on the AARD calculations, the ANN models show higher accuracy than the Carreau model using Lee’s correlation, which is the only method to estimate the unmeasured viscosity of a polymer solution for enhanced oil recovery.
- In some conditions (low salinity or FlopaamTM 3630S), the viscosity estimation by the Carreau model using Lee’s correlation is not accurate. It is possible that the relationship between the influential parameters and viscosity can change under certain conditions, such as low salinity (0.1 wt % NaCl) or high molecular weight polymers (20 million). The ANN models proposed in this study are less affected by this effect than the Carreau model using Lee’s correlation considering the higher accuracy for all conditions of polymer solutions.
- It is concluded that the ANN models proposed in this study can be utilized for quick estimation of the viscosity of the bulk polymer solution prior to experimental measurement, which is a time-consuming process.
- One interesting finding is that the same structure of the ANN model can provide accurate estimation despite the different polymer structures of HPAM and poly(AM-co-AMPS). Considering that ANN can easily be expanded to include other factors, such as polymer characteristics (polymer structure and degree of hydrolysis, among others), it would be possible to develop an ANN model to estimate the viscosity of other EOR polymers if a method for the quantification of polymer structures can be established.
Acknowledgments
This work was supported by the Energy Efficiency & Resources program of the Korea Institute of Energy Technology Evaluation and Planning (KETEP) (No. 20122010300020) and the Korea Energy and Mineral Resources Engineering Program (KEMREP) with a grant funded by the Ministry of Trade, Industry and Energy, Republic of Korea.
Author Contributions
Pan-Sang Kang is the main researcher who analyzed the data and designed the ANN structure for this research. Jong-Se Lim gave guidance from a theoretical point of view on the data analysis and ANN designing. Chun Huh gave field experience and guidance on polymer rheology for enhanced oil recovery. All authors have given approval to the final version of the manuscript.
Conflicts of Interest
The authors declare no conflict of interest.
Nomenclature
| empirical constant, generally two | |
| empirical constants | |
| empirical constants | |
| Na+ concentration | |
| empirical constant | |
| Ca2+ concentration | |
| polymer concentration | |
| empirical constants | |
| flow consistency index | |
| empirical constant | |
| power-law index | |
| total number of viscosity data | |
| temperature | |
| temperature at reference condition | |
| measured viscosity | |
| estimated viscosity | |
| shear rate | |
| viscosity | |
| intrinsic viscosity | |
| Newtonian viscosity at a high shear rate, generally solvent (water) viscosity | |
| Newtonian viscosity at a low shear rate | |
| empirical constant |
Appendix
The Levenberg–Marquardt algorithm was designed to approach the second-order training speed without having to compute the Hessian matrix. When the performance function has the form of a sum of squares (as is typical in training feed-forward networks), then the Hessian matrix can be approximated as:
and the gradient can be computed as:
where J is the Jacobian matrix that contains the first derivatives of the network errors with respect to the weights and biases, and e is a vector of network errors. The Jacobian matrix can be computed through a standard back-propagation technique. The Levenberg-Marquardt algorithm uses this approximation to the Hessian matrix in the following Newton-like update:
When the scalar µ is zero, this is Newton’s method using the approximate Hessian matrix. When µ is large, this becomes a gradient descent with a small step size. Newton’s method is faster and more accurate near an error minimum; therefore, the aim is to shift toward Newton’s method as quickly as possible.
Thus, µ is decreased after each successful step (reduction in the performance function) and is increased only when a tentative step would increase the performance function. In this way, the performance function is always reduced at each iteration of the algorithm.
References
- Kang, P.S.; Lim, J.S.; Huh, C. Screening Criteria and Considerations of Offshore Enhanced Oil Recovery. Energies 2016, 9, 44. [Google Scholar] [CrossRef]
- Sheng, J.J. Modern Chemical Enhanced Oil Recovery: Theory and Practice, 1st ed.; Gulf Professional Publishing: Burlington, MA, USA, 2011. [Google Scholar]
- Lake, L.W. Enhanced Oil Recovery, 1st ed.; Prentice-Hall: Eaglewood Cliffs, NJ, USA, 1989. [Google Scholar]
- Wang, D.; Xia, H.; Liu, Z.; Yang, Q. Study of the Mechanism of Polymer Solution with Visco-Elastic Behavior Increasing Microscopic Oil Displacement Efficiency and Forming of Steady ‘Oil Thread’ Flow Channel. In Proceedings of the SPE Asia Pacific Oil and Gas Conference and Exhibition, Jakarta, Indonesia, 17–19 April 2011.
- Mungan, N. Rheology and Adsorption of Aqueous Polymer Solutions. J. Can. Pet. Technol. 1969, 8, 45–50. [Google Scholar] [CrossRef]
- Mungan, N. Shear Viscosities of Ionic Polyacrylamide Solutions. Soc. Pet. Eng. J. 1972, 12, 469–473. [Google Scholar] [CrossRef]
- Nouri, H.H.; Root, P.J. A Study of Polymer Solution Rheology, Flow Behavior, and Oil Displacement Processes. In Proceedings of the SPE-AIME 46th Annual Fall Meeting, New Orleans, LA, USA, 3–6 October 1971.
- Ferrer, J. Some Mechanistic Features of Flow of Polymers through Porous Media. In Proceedings of the SPE-AIME 47th Annual Fall Meeting, San Antonio, TX, USA, 8–11 October 1972.
- Martin, F.D.; Sherwood, N.S. The Effect of Hydrolysis of Polyacrylamide on Solution Viscosity, Polymer Retention and Flow Resistance Properties. In Proceedings of the SPE Rocky Mountain Regional Meeting, Denver, CO, USA, 7–9 April 1975.
- Szabo, M.T. An Evaluation of Water-Soluble Polymers For Secondary Oil Recovery—Part 1 and 2. J. Pet. Technol. 1979, 31, 553–570. [Google Scholar] [CrossRef]
- Ward, J.S.; Martin, F.D. Prediction of Viscosity for Partially Hydrolyzed Polyacrylamide Solutions in the Presence of Calcium and Magnesium Ions. Soc. Pet. Eng. J. 1981, 21, 623–631. [Google Scholar] [CrossRef]
- Zaitoun, A.; Potie, B. Limiting Conditions for the Use of Hydrolyzed Polyacrylamides in Brines Containing Divalent Ions. In Proceedings of the SPE Oilfield and Geothermal Chemistry Symposium, Denver, CO, USA, 1–3 June 1983.
- Tam, K.C.; Tiu, C. Role of Ionic Species and Valency on the Steady Shear Behavior of Partially Hydrolyzed Polyacrylamide Solutions. Colloid. Polym. Sci. 1990, 268, 911–920. [Google Scholar] [CrossRef]
- Sorbie, K.S. Polymer-Improved Oil Recovery, 1st ed.; CRC Press: Boca Raton, FL, USA, 1991. [Google Scholar]
- Laboratory Investigation of the Effect of Brine Composition on Plymer Solutions-Part 1: Partially Hydrolyzed Polyacrylamide (HPAM) Case. Available online: https://www.onepetro.org/general/SPE-23533-MS (accessed on 11 May 2016).
- Moradi-Araghi, A.; Cleveland, D.H.; Westerman, I.J. Development and Evaluation of EOR Polymers Suitable for Hostile Environments: II-Copolymers of Acrylamide and Sodium AMPS. In Proceedings of the SPE International Symposium on Oilfield Chemistry, San Antonio, TX, USA, 4–6 February 1995.
- Nasr-El-Din, H.A.; Taylor, K.C. Rheology of Water-Soluble Polymers Used for Improved Oil Recovery, Multiphase Reactor and Polymerization System Hydrodynamics, 1st ed.; Gulf Publishing Company: Burlington, MA, USA, 1996. [Google Scholar]
- Choi, S.K. A Study of a pH-sensitive Polymer for Novel Conformance Control Applications. Master Thesis, The University of Texas at Austin, Austin, TX, USA, December 2005. [Google Scholar]
- Levitt, D.B.; Pope, G.A. Selection and Screening of Polymers for Enhanced-Oil Recovery. In Proceedings of the SPE Improved Oil Recovery Symposium, Tulsa, OK, USA, 19–23 April 2008.
- Dupuis, G.; Rousseau, D. How to Get the Best Out of Hydrophobically Associative Polymers for IOR? New Experimental Insights. In Proceedings of the SPE Improved Oil Recovery Symposium, Tulsa, OK, USA, 24–28 April 2010.
- Reichenbach-Klinke, R.; Langlotz, B.; Wenzke, B.; Spindler, C.; Brodt, G. Associative Copolymer with Favorable Properties for the Application in Polymer Flooding. In Proceedings of the SPE International Symposium on Oilfield, Woodlands, TX, USA, 11–13 April 2011.
- Duchesne, M.A.; Macchi, A.; Lu, D.Y.; Hughes, R.W.; McCalden, D.; Anthony, E.J. Artificial Neural Network Model to Predict Slag Viscosity Over a Broad Range of Temperatures and Slag Compositions. Fuel Process. Technol. 2009, 91, 831–836. [Google Scholar] [CrossRef]
- Torabi, F.; Abedini, A.; Abedini, R. The Development of an Artificial Neural Network Model for Prediction of Crude Oil Viscosities. Pet. Sci. Tech. 2011, 29, 1532–2459. [Google Scholar] [CrossRef]
- Jahirul, M.I.; Senadeera, W.; Brooks, P.; Brown, R.J.; Situ, R.; Pham, P.X.; Masri, A.R. An Artificial Neural Network (ANN) Model for Predicting Biodiesel Kinetic Viscosity as a Function of Temperature and Chemical Compositions. In Proceedings of the International Congress on Modelling and Simulation, Adelaide, Australia, 1–6 December 2013.
- Gheshlaghi, B.K.; Dehgani, M.; Parhizgar, H. Prediction of Kinetic Viscosity of Petroleum Fractions Using Artificial Neural Network. Iran. J. Oil Gas Sci. Technol. 2014, 3, 51–65. [Google Scholar]
- Prediction of Viscosities of Aqueous Two Phase Systems Containing Protein by Artificial Neural Network. Available online: http://www.omicsonline.org/open-access/prediction-of-viscosities-of-aqueous-two-phase-systems-containing-protein-by-artificial-neural-network-2157-7048.1000192.php?aid=26480 (accessed on 11 May 2016).
- Kang, P.S.; Lim, J.S. Development of Artificial Neural Network Viscosity Model of pH-Sensitive Polymer for Enhanced Oil Recovery. J. Korean Soc. Mineral Energy Resour. Eng. 2011, 48, 190–198. [Google Scholar]
- Kang, P.S.; Lim, J.S.; Huh, C. A Novel Approach in Estimating Shear-Thinning Rheology of HPAM and AMPS Polymers for Enhanced Oil Recovery Using Artificial Neural Network. In Proceedings of the 23rd International Offshore and Polar Engineering Conference, Anchorage, AK, USA, 5–30 July 2013.
- Manrique, E.J.; Muci, V.E.; Gurfinkel, M.E. EOR Field Experiences in Carbonate Reservoirs in the United States. Soc Pet. Eng. J. 2007, 10, 667–686. [Google Scholar] [CrossRef]
- Standnes, D.C.; Skjevrak, I. Literature Review of Implemented Polymer Field Projects. J. Pet. Sci. Eng. 2014, 122, 761–775. [Google Scholar] [CrossRef]
- Choi, S.K. pH Sensitive Polymers for Novel Conformance Control and Polymer Flooding Applications. PhD Thesis, The University of Texas at Austin, Austin, TX, USA, August 2008. [Google Scholar]
- Gaillard, N.; Sanders, D.; Favéro, C. Improved Oil Recovery using Thermally and Chemically Protected Compositions based on Co-and Ter-polymers Containing Acrylamide. In Proceedings of the SPE Improved Oil Recovery Symposium, Tulsa, OK, USA, 24–28 April 2010.
- Gaillard, N.; Giovannetti, B.; Favéro, C.; Caritey, J.P.; Dupuis, G.; Zaitoun, A. New Water Soluble Anionic NVP Acrylamide Ter-polymers for Use in Harsh EOR Conditions. In Proceedings of the SPE Improved Oil Recovery Symposium, Tulsa, OK, USA, 12–16 April 2014.
- Vermolen, E.; Haasterecht, M.; Masalmeh, S.K.; Faber, M.J.; Boersma, D.M.; Gruenenfelder, M. Pushing the Envelope for Polymer Flooding Towards High-temperature and High-salinity Reservoirs with Polyacrylamide Based Ter-Polymers. In Proceedings of the SPE Middle East Oil and Gas Show and Conference, Manama, Bahrain, 25–28 September 2011.
- Seright, R.S.; Fan, T.; Wavrik, K.; Wan, H.; Gaillard, N.; Favéro, C. Rheology of a New Sulfonic Associative Polymer in Porous Media. SPE Reservoir Eval. Eng. 2011, 14, 726–734. [Google Scholar] [CrossRef]
- Kulawardana, E.U.; Koh, H.; Kim, D.H.; Liyanage, P.J.; Upamali, K.; Huh, C.; Weerasooriya, U.; Pope, G.A. Rheology and Transport of Improved EOR Polymers under Harsh Reservoir Conditions. In Proceedings of the SPE Improved Oil Recovery Symposium, Tulsa, OK, USA, 14–18 April 2012.
- Wu, Y.; Mahmoudkhani, A.; Watson, P.; Fenderson, T.; Nair, M. Development of New Polymers with Better Performance under Conditions of High Temperature and High Salinity. In Proceedings of the SPE EOR Conference at Oil and Gas West Asia, Muscat, Oman, 16–18 April 2012.
- Parker, W.O., Jr.; Lezzi, A. Hydrolysis of Sodium-2-acrylamido-2-methyl Propane Sulfonate Copolymers at Elevated Temperature in Aqueous Solution via 13C NMR Spectroscopy. Polymer 1993, 34, 4913–4918. [Google Scholar] [CrossRef]
- Zhao, T.H.; Pan, G.F.; Guo, S.F.; Hu, X.Q. Synthesis and Evaluation of AMPS/AM. J. Southwest Pet. Inst. 2006, 28, 82–84. [Google Scholar]
- Kim, D.H.; Lee, S.J.; Ahn, C.H.; Huh, C.; Pope, G.A. Development of a Viscoelastic Property Database for EOR Polymers. In Proceedings of the SPE Improved Oil Recovery Symposium, Tulsa, OK, USA, 24–28 April 2010.
- Bird, R.B.; Stewart, W.E.; Lightfoot, E.N. Transport Phenomena, 1st ed.; Wiley: New York, NY, USA, 1960. [Google Scholar]
- Carreau, P.J. Rheological Equation from Molecular Network Theories. J. Rheol. 1972, 16, 99–127. [Google Scholar] [CrossRef]
- Cannella, W.J.; Huh, C.; Seright, R.S. Prediction of Xanthan Rheology in Porous Media. In Proceedings of the SPE Annual Technical Conference and Exhibition, Houston, TX, USA, 2–5 October 1988.
- Lee, S.J.; Kim, D.H.; Huh, C.; Pope, G.A. Development of a Comprehensive Rheological Property Database for EOR Polymers. In Proceedings of the SPE 124798 presented at SPE Annual Technical Conference and Exhibition, New Orleans, LA, USA, 4–7 October 2009.
- Bird, R.B.; Armstrong, R.C.; Hassanger, R. Dynamics of Polymeric Liquid, 1st ed.; Wiley: New York, NY, USA, 1987. [Google Scholar]
- Lee, S.J. Development of a Comprehensive Rheological Property Database for EOR Polymers. Master Thesis, The University of Texas at Austin, Austin, TX, USA, December 2009. [Google Scholar]
- Braspenning, P.J.; Thuijsman, F.; Weijters, A.J.M.M. Artificial Neural Networks: An Introduction to ANN Theory and Practices, 1st ed.; Springer-Verlag: Berlin, Germany, 1995. [Google Scholar]
- Yegnanarayana, B. Artificial Neural Network, 1st ed.; Prentice-Hall of India: New Delhi, India, 2006. [Google Scholar]
- Priddy, K.L.; Keller, P.E. Artificial Neural Networks: An Introduction, 1st ed.; SPIE Publications: Bellingham, WA, USA, 2005. [Google Scholar]
- Levenberg, K. A Method for the Solution of Certain Problems in Least Squares. Q. Appl. Math. 1994, 2, 164–168. [Google Scholar]
- Marquardt, D.W. An Algorithm for Least-Squares Estimation of Nonlinear Parameters. J. Soc. Ind. Appl. Math. 1963, 11, 431–441. [Google Scholar] [CrossRef]
© 2016 by the authors; licensee MDPI, Basel, Switzerland. This article is an open access article distributed under the terms and conditions of the Creative Commons Attribution (CC-BY) license (http://creativecommons.org/licenses/by/4.0/).