Detection of On-Chip Generated Weak Microwave Radiation Using Superconducting Normal-Metal SET
Abstract
:1. Introduction
2. Experimental Section
2.1. NISIN SET as a Microwave Photon Detector


| Island Area | Tunnel Area | Δ | ||
|---|---|---|---|---|
| (µm) | ( | (kΩ) | (µeV) | (µeV) |
| 1.40.08 | 5050 | 110 | 140 | 210 |
2.2. Josephson Junction Microwave Source

| Total Tunnel Area | – | |||||||||
|---|---|---|---|---|---|---|---|---|---|---|
| (µm) | (kΩ) | (µV) | (mK) | (GHz) | (GHz) | |||||
| 0.1 | 5 | 4.9 | 210 | 32 | 0.02 | 6.7 | 4.8 | 68 | 50–190 | 0.9 |
2.3. Coupling Method and Device Layout

3. Experimental Setup and Results
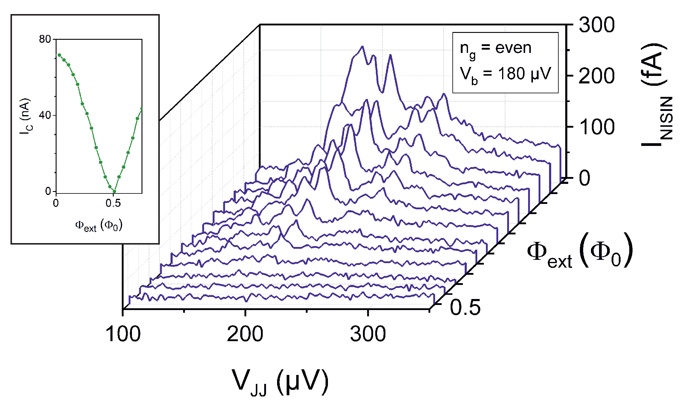
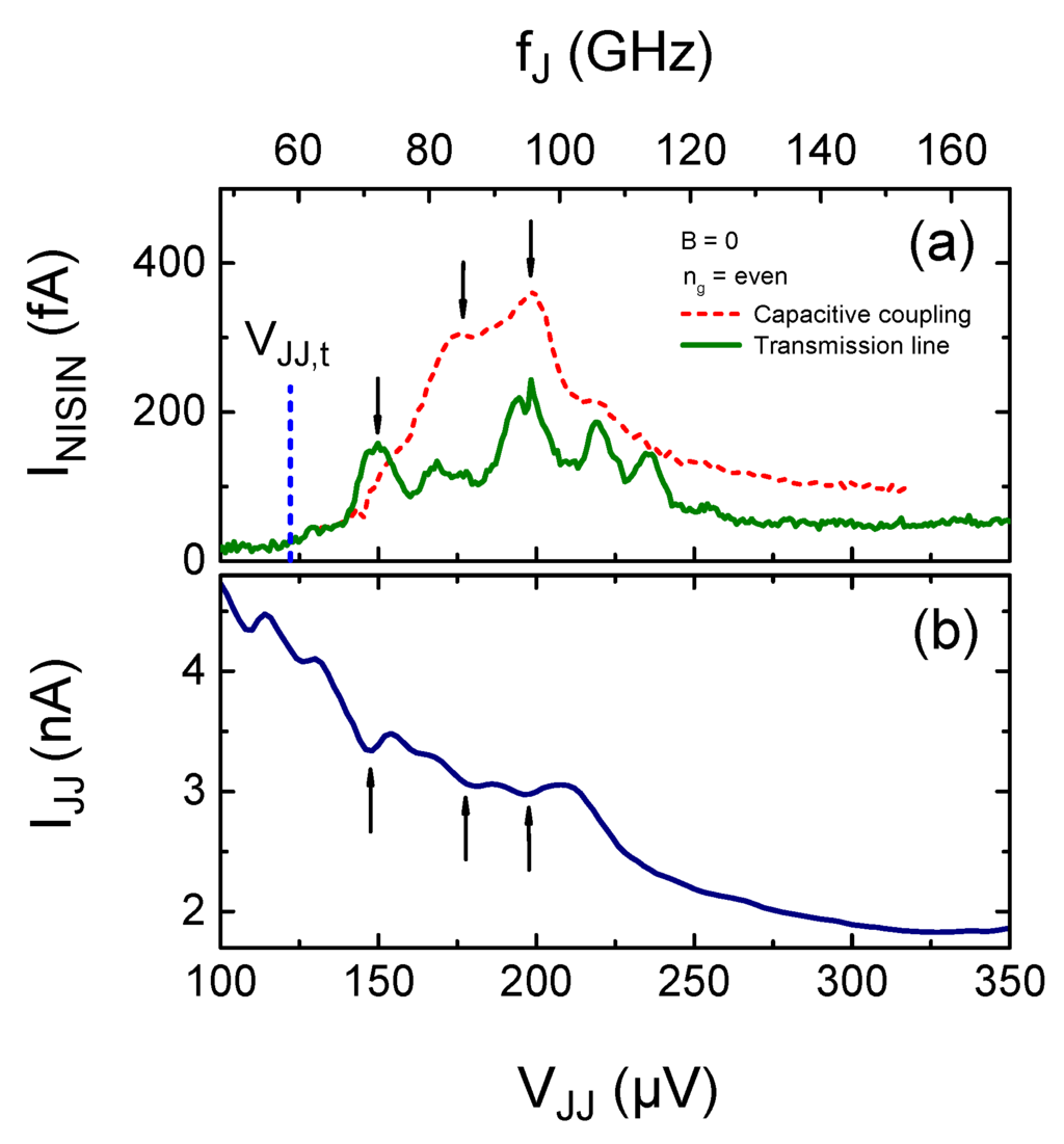
3.1. Frequency Dependence of the Response


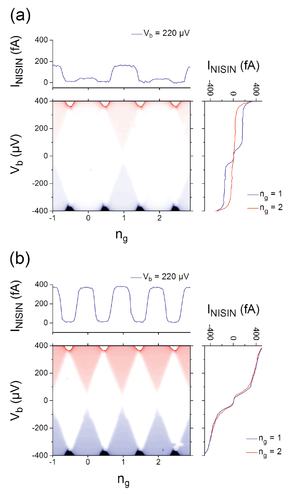
3.2. Periodic Modulation of the Source Power


3.3. Effect of Emitted Phonons

4. Discussion

5. Conclusions
Acknowledgments
Author Contributions
Conflicts of Interest
References
- Pothier, H.; Lafarge, P.; Orfila, P.F.; Urbina, C.; Esteve, D.; Devoret, M.H. Single electron pump fabricated with ultrasmall normal tunnel junctions. Phys. B 1991, 169, 573–574. [Google Scholar] [CrossRef]
- Pekola, J.P.; Vartiainen, J.J.; Möttönen, M.; Saira, O.-P.; Meschke, M.; Averin, D.V. Hybrid single-electron transistor as a source of quantized electric current. Nat. Phys. 2008, 4, 120–124. [Google Scholar] [CrossRef]
- Averin, D.V.; Pekola, J.P. Nonadiabatic charge pumping in a hybrid single electron transistor. Phys. Rev. Lett. 2008, 101. [Google Scholar] [CrossRef] [PubMed]
- Keller, M.W.; Eichenberger, A.L.; Martinis, J.M.; Zimmerman, N.M. A capacitance standard based on counting electrons. Science 1999, 285, 1706–1709. [Google Scholar] [CrossRef] [PubMed]
- Camarota, B.; Scherer, H.; Keller, M.W.; Lotkhov, S.V.; Willenberg, G.-D.; Ahlers, F.J. Electron counting capacitance standard with an improved five-junction R-pump. Metrologia 2012, 49, 8–14. [Google Scholar] [CrossRef]
- Pekola, J.P.; Saira, O.-P.; Maisi, V.F.; Kemppinen, A.; Möttönen, M.; Pashkin, Y.A.; Averin, D.V. Single-electron current sources: Toward a refined definition of the ampere. Rev. Mod. Phys. 2013, 85, 1421–1472. [Google Scholar] [CrossRef]
- Wendin, G.; Shumeiko, V.S. Superconducting Quantum Circuits, Qubits and Computing. In Handbook of Theoretical and Computational Nanotechnology; Rieth, M., Schommers, W., Eds.; American Scientific Publishers: Los Angeles, CA, USA, 2006; Volume 3, pp. 223–309. [Google Scholar]
- Devoret, M.H.; Martinis, J.M. Implementing qubits with superconducting integrated circuits. Quantum Inf. Process. 2004, 3, 163–203. [Google Scholar] [CrossRef]
- Kautz, R.L.; Keller, M.W.; Martinis, J.M. Noise-induced leakage and counting errors in the electron pump. Phys. Rev. B 2000, 62, 15888–15902. [Google Scholar] [CrossRef]
- Pekola, J.P.; Maisi, V.F.; Kafanov, S.; Chekurov, N.; Kemppinen, A.; Pashkin, Y.A.; Saira, O.-P.; Möttönen, M.; Tsai, J.S. Environment-assisted tunneling as an origin of the Dynes density of states. Phys. Rev. Lett. 2010, 105. [Google Scholar] [CrossRef] [PubMed]
- Di Marco, A.; Maisi, V.F.; Hekking, W.J.; Pekola, J.P. Effect of photon-assisted Andreev reflection in the accuracy of a SINIS turnstile. Phys. Rev. B 2015, 92. [Google Scholar] [CrossRef]
- Kemppinen, A.; Lotkhov, S.V.; Saira, O.-P.; Zorin, A.B.; Pekola, J.P.; Manninen, A.J. Long hold times in a two-junction electron trap. Appl. Phys. Lett. 2011, 99. [Google Scholar] [CrossRef]
- Barends, R.; Wenner, J.; Lenander, M.; Chen, Y.; Bialczak, R.C.; Kelly, J.; Lucero, E.; O’Malley, P.; Mariantoni, M.; Sank, D.; et al. Minimizing quasiparticle generation from stray infrared light in superconducting quantum circuits. Appl. Phys. Lett. 2011, 99. [Google Scholar] [CrossRef]
- Astafiev, O.; Komiyama, S.; Kutsuwa, T.; Antonov, V.; Kawaguchi, Y.; Hirakawa, K. Single-photon detector in the microwave range. Appl. Phys. Lett. 2002, 80, 4250–4252. [Google Scholar] [CrossRef]
- Deblock, R.; Onac, E.; Gurevich, L.; Kouwenhoven, L.P. Detection of quantum noise from an electrically driven two-level system. Science 2003, 301, 203–206. [Google Scholar] [CrossRef] [PubMed]
- Billangeon, P.-M.; Pierre, F.; Bouchiat, H.; Deblock, R. Very high frequency spectroscopy and tuning of a single-Cooper-pair transistor with an on-chip generator. Phys. Rev. Lett. 2007, 98. [Google Scholar] [CrossRef] [PubMed]
- Chen, Y.-F.; Hover, D.; Sendelbach, S.; Maurer, L.; Merkel, S.T.; Pritchett, E.J.; Wilhelm, F.K.; McDermott, R. Microwave photon counter based on Josephson junctions. Phys. Rev. Lett. 2011, 107. [Google Scholar] [CrossRef] [PubMed]
- Lotkhov, S.V.; Saira, O.-P.; Pekola, J.P.; Zorin, A.B. Single-charge escape processes through a hybrid turnstile in a dissipative environment. New J. Phys. 2011, 13. [Google Scholar] [CrossRef]
- Lotkhov, S.V.; Zorin, A.B. A hybrid superconductor-normal metal electron trap as a photon detector. Appl. Phys. Lett. 2012, 100. [Google Scholar] [CrossRef]
- Maisi, V.F.; Lotkhov, S.V.; Kemppinen, A.; Heimes, A.; Muhonen, J.T.; Pekola, J.P. Excitation of single quasiparticles in a small superconducting Al island connected to normal-metal leads by tunnel junctions. Phys. Rev. Lett. 2013, 111. [Google Scholar] [CrossRef] [PubMed]
- Dolan, G.J. Offset masks for lift-off photoprocessing. Appl. Phys. Lett. 1977, 31, 337–339. [Google Scholar] [CrossRef]
- Niemeyer, J. Eine einfache Methode zur Herstellung kleinster Josephson-Elemente. PTB-Mitteilungen 1974, 84, 251–253. [Google Scholar]
- Lotkhov, S.V.; Camarota, B.; Scherer, H.; Weimann, T.; Hinze, P.; Zorin, A.B. Shunt-protected single-electron tunneling circuits fabricated on a quartz wafer. In Proceedings of the IEEE Nanotechnology Materials and Devices Conference, Traverse City, MI, USA, 2–5 June 2009.
- Jalali-Jafari, B.; Lotkhov, S.V.; Zorin, A.B. Al/AlOx/Al-Josephson-junction-based microwave generators for weak-signal applications below 100 mK. Available online: http://arxiv.org/abs/1410.5314 (accessed on 25 January 2016).
- Hergenrother, J.M.; Tuominen, M.T.; Lu, J.G.; Ralph, D.C.; Tinkham, M. Charge transport and photon-assisted tunneling in the NSN single-electron transistor. Phys. B 1994, 203, 327–339. [Google Scholar] [CrossRef]
- Eiles, T.M.; Martinis, J.M.; Devoret, M.H. Even-odd asymmetry of a superconductor revealed by the Coulomb blockade of Andreev reflection. Phys. Rev. Lett. 1993, 70, 1862–1865. [Google Scholar] [CrossRef] [PubMed]
- Josephson, B.D. Possible new effects in superconductive tunnelling. Phys. Lett. 1962, 1, 251–253. [Google Scholar] [CrossRef]
- Likharev, K.K.; Ulrich, B.T. Sistemi s Josephsonovskimi Kontaktami; Izdatelstro Moskovskogo Universiteta: Moscow, Russia, 1978; p. 58. (In Russian) [Google Scholar]
- McCumber, D.E. Effect of ac impedance on dc voltage-current characteristics of superconductor weak-link junctions. J. Appl. Phys. 1968, 39, 3113–3118. [Google Scholar] [CrossRef]
- Stewart, W.C. Current-voltage characteristics of Josephson junctions. Appl. Phys. Lett. 1968, 12, 277–280. [Google Scholar] [CrossRef]
- Lotkhov, S.V. Ultra-high-ohmic microstripline resistors for Coulomb blockade devices. Nanotechnology 2013, 24. [Google Scholar] [CrossRef] [PubMed]
- Likharev, K.K. Dynamics of Josephson Junctions and Circuits; Gordon and Breach science: New York, NY, USA, 1986. [Google Scholar]
- Zorin, A.B. The thermocoax cable as the microwave frequency filter for single electron circuits. Rev. Sci. Instrum. 1995, 66, 4296–4300. [Google Scholar] [CrossRef]
- Tinkham, M. Introduction to Superconductivity, 2nd ed.; Dover publications, Inc.: Mineola, NY, USA, 1996. [Google Scholar]
- Stan, G.; Field, S.B.; Martinis, J.M. Critical field for complete vortex expulsion from narrow superconducting strips. Phys. Rev. Lett. 2004, 92. [Google Scholar] [CrossRef] [PubMed]
- Schinner, G.J.; Tranitz, H.P.; Wegscheider, W.; Kotthaus, J.P.; Ludwig, S. Phonon-mediated nonequilibrium interaction between nanoscale devices. Phys. Rev. Lett. 2009, 102. [Google Scholar] [CrossRef] [PubMed]
- Gasser, U.; Gustavsson, S.; Küng, B.; Ensslin, K.; Ihn, T. Phonon-mediated back-action of a charge readout on a double quantum dot. Nanotechnology 2010, 21. [Google Scholar] [CrossRef] [PubMed]
- Martinis, J.M.; Nahum, M. Effect of environmental noise on the accuracy of Coulomb-blockade devices. Phys. Rev. B 1993, 48, 18316–18319. [Google Scholar] [CrossRef]
- Ingold, G.-L.; Nazarov, Y.V. Charge tunneling rates in ultrasmall junctions. In Single Charge Tunneling, Coulomb Blockade Phenomena in Nanostructures; Grabert, H., Devoret, M.H., Eds.; Plenum: New York, NY, USA, 1992; Volume 294, pp. 21–107. [Google Scholar]
- Merzbacher, E. Quantum Mechanics, 3rd ed.; John Wiley & Sons, Inc.: New York, NY, USA, 1998. [Google Scholar]
© 2016 by the authors; licensee MDPI, Basel, Switzerland. This article is an open access article distributed under the terms and conditions of the Creative Commons by Attribution (CC-BY) license (http://creativecommons.org/licenses/by/4.0/).
Share and Cite
Jalali-Jafari, B.; Lotkhov, S.V.; Zorin, A.B. Detection of On-Chip Generated Weak Microwave Radiation Using Superconducting Normal-Metal SET. Appl. Sci. 2016, 6, 35. https://doi.org/10.3390/app6020035
Jalali-Jafari B, Lotkhov SV, Zorin AB. Detection of On-Chip Generated Weak Microwave Radiation Using Superconducting Normal-Metal SET. Applied Sciences. 2016; 6(2):35. https://doi.org/10.3390/app6020035
Chicago/Turabian StyleJalali-Jafari, Behdad, Sergey V. Lotkhov, and Alexander B. Zorin. 2016. "Detection of On-Chip Generated Weak Microwave Radiation Using Superconducting Normal-Metal SET" Applied Sciences 6, no. 2: 35. https://doi.org/10.3390/app6020035
APA StyleJalali-Jafari, B., Lotkhov, S. V., & Zorin, A. B. (2016). Detection of On-Chip Generated Weak Microwave Radiation Using Superconducting Normal-Metal SET. Applied Sciences, 6(2), 35. https://doi.org/10.3390/app6020035
