Effect of Post-Annealing on the Microstructure and Microwave Dielectric Properties of Ba(Co0.7Zn0.3)1/3Nb2/3O3 Ceramics
Abstract
:1. Introduction
2. Experimental Section
3. Results and Discussion
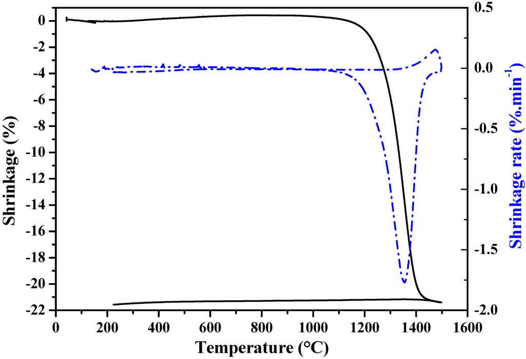
3.1. Thermodilatometry

3.2. Structural Characterization




3.3. Microstructural Investigations


| Investigated Area in the SEM Image | %O | %Ba | %Co | %Zn | %Nb | Attribution | |
|---|---|---|---|---|---|---|---|
| Figure 6d (S1) | zone 1 | 61.3 ± 0.8 (61.53) * | 19.5 ± 0.2 (20.51) | 1.7 ± 0.2 (1.86) | 0.62 ± 0.2 (0.67) | 17.9 ± 0.2 (15.38) | Ba8(Co0.73Zn0.27)1Nb6O24 |
| zone 2 | 59.6 ± 2.1 (60) | 20.3 ± 0.2 (20) | 4.9 ± 03 (4.66) | 1.8 ± 0.3 (2) | 13.3 ± 0.3 (13.33) | Ba(Co0.7Zn0.3)1/3Nb2/3O3 | |
| Figure 7d (S1a) | zone 1 | 59.1 ± 0.8 | 19.8 ± 0.2 | 1.6 ± 0.2 | 0.7 ± 0.2 | 18.6 ± 0.2 | Ba8(Co0.73Zn0.27)1Nb6O24 |
| zone 2 | 59.6 ± 1.4 | 19.1 ± 0.2 | 4.5 ± 0.2 | 1.9 ± 0.2 | 14.9 ± 0.2 | Ba(Co0.7Zn0.3)1/3Nb2/3O3 | |
| Figure 8d (S2) | zone 1 | 62.1 ± 1.1 | 19.3 ± 0.2 | 1.7 ± 0.2 | 0.6 ± 0.1 | 16.2 ± 0.1 | Ba8(Co0.73Zn0.27)1Nb6O24 |
| zone 2 | 60.9 ± 1.0 | 18.9 ± 0.1 | 4.2 ± 0.1 | 1.4 ± 0.2 | 14.6 ± 0.1 | Ba(Co0.7Zn0.3)1/3Nb2/3O3 | |
| Figure 9d (S2a) | zone 1 | 56.7 ± 0.7 | 19.5 ± 0.2 | 1.7 ± 0.2 | 0.49 ± 0.1 | 17.9 ± 0.1 | Ba8(Co0.73Zn0.27)1Nb6O24 |
| zone 2 | 59.8 ± 1.6 | 19.4 ± 0.2 | 4.4 ± 0.2 | 1.8 ± 0.2 | 14.6 ± 0.2 | Ba(Co0.7Zn0.3)1/3Nb2/3O3 | |


3.4. Microwave Dielectric Properties
| Heat Treatment Conditions and Sample Name | Density (g/cm3) | εr | τf (ppm/°C) | Qf (GHz) | Order | Grain Size (µm) | |
|---|---|---|---|---|---|---|---|
| Sintering process | (S2):1350 °C for 30 h | 6.29 | ~34.5 | ~0 | 96,132 | − | 0.6–2.3 |
| (S1):1450 °C for 2 h | 6.44 | ~34.5 | ~0 | 36,953 | − | ~14 | |
| Annealing process | (S2a):1300 °C for 30 h | 6.56 | ~34.5 | ~0 | 99,700 | + | 0.9–4 |
| (S1a):1300 °C for 30 h | 6.47 | ~34.5 | ~0 | 123,700 | + | ~14 | |
4. Conclusions
Acknowledgments
Author Contributions
Conflicts of Interest
References
- Luck, F. Wet air oxidation: Past, present and future. Catal. Today 1999, 53, 81–91. [Google Scholar] [CrossRef]
- Chen, Y.C. Microwave dielectric properties of (Mg(1-x)Cox)2SnO4 ceramics for application in dual-band inverted-E-shaped monopole antenna. IEEE Trans. Ultrason. Ferroelectr. Freq. Control 2011, 58, 2531–2538. [Google Scholar] [CrossRef] [PubMed]
- Sebastian, M.T. Dielectric Materials for Wireless Communication; Elsevier: Amsterdam, the Netherland, 2008. [Google Scholar]
- Wersing, W. Microwave ceramics for resonators and filters. Curr. Opin. Solid State Mater. Sci. 1996, 1, 715–731. [Google Scholar] [CrossRef]
- Scott, R.I.; Thomas, M.; Hampson, C. Development of low cost, high performance Ba(Zn1/3Nb2/3O3) based materials for microwave resonator applications. J. Eur. Ceram. Soc. 2003, 23, 2467–2471. [Google Scholar] [CrossRef]
- Endo, K.; Fujimoto, K.; Murakawa, K. Dielectric properties of ceramics in Ba(Co1/3Nb2/3)O3-Ba(Zn1/3Nb2/3)O3 solid solutions. J. Am. Ceram. Soc. 1987, 70, 215–218. [Google Scholar] [CrossRef]
- Ahn, C.-W.; Jang, H.-J.; Nahm, S.; Park, H.-M.; Lee, H.-J. Effect of microstructure on the microwave dielectric properties of Ba(Co1/3Nb2/3)O3 and (1-x)Ba(Co1/3Nb2/3)O3-xBa(Zn1/3Nb2/3)O3 solid solutions. J. Eur. Ceram. Soc. 2003, 23, 2473–2478. [Google Scholar] [CrossRef]
- Huang, C.-L.; Chien, Y.-H.; Shih, C.-F.; Chang, H.-Y. Crystal structure and dielectric properties of xCa(Mg1/3Nb2/3)O3-(1−x)(Ca0.61Nd0.26)TiO3 at the microwave frequency. Mater. Res. Bull. 2015, 63, 1–5. [Google Scholar] [CrossRef]
- Azough, F.; Leach, C.; Freer, R. Effect of CeO2 on the sintering behaviour, cation order and properties of Ba3Co0.7Zn0.3Nb2O9 ceramics. J. Eur. Ceram. Soc. 2006, 26, 1883–1887. [Google Scholar] [CrossRef]
- Abakumov, A.M.; Tendeloo, G.V.; Scheglov, A.A.; Shpanchenko, R.V.; Antipov, E.V. The crystal structure of Ba8Ni1Nb6O24: Cation ordering in hexagonal perovskites. J. Solid State Chem. 1966, 125, 102–107. [Google Scholar] [CrossRef]
- Itaalit, B.; Mouyane, M.; Bernard, J.; Reboul, J.-M.; Houivet, D. Improvement of microwave dielectric properties of Ba(Co0.7Zn0.3)1/3Nb2/3O3 ceramics prepared by solid-state reaction. Ceram. Int. 2015, 41, 1937–1942. [Google Scholar] [CrossRef]
- Azough, F.; Leach, C.; Freer, R. Effect of nonstoichiometry on the structure and microwave dielectric properties of Ba(Co1/3Nb2/3)O3 ceramics. J. Eur. Ceram. Soc. 2006, 26, 2877–2884. [Google Scholar] [CrossRef]
- Kim, W.S.; Kim, T.H.; Kim, E.S.; Yoon, K.H. Microwave dielectric properties and far infrared reflectivity spectra of the (Zr0.8Sn0.2)TiO4 ceramics with additives. Jpn. J. Appl. Phys. 1998, 37, 5367–5371. [Google Scholar] [CrossRef]
- Wang, Z.F.; Huang, B.Y.; Wang, L.X.; Fu, Z.X.; Zhang, Q.T. Effects of MnO2 addition on quality factor of Ba(Co0.7Zn0.3)1/3Nb2/3O3 microwave dielectric ceramics. Mater. Lett. 2015, 141, 272–274. [Google Scholar] [CrossRef]
- Liao, P.; Qiu, T.; Yang, J.; Lu, X. Effect of Al2O3 addition on microwave dielectric properties of BaCo0.194Zn0.116Nb0.69O3 ceramics. Electron. Mater. Lett. 2014, 10, 121–125. [Google Scholar] [CrossRef]
© 2015 by the authors; licensee MDPI, Basel, Switzerland. This article is an open access article distributed under the terms and conditions of the Creative Commons by Attribution (CC-BY) license (http://creativecommons.org/licenses/by/4.0/).
Share and Cite
Itaalit, B.; Mouyane, M.; Bernard, J.; Womes, M.; Houivet, D. Effect of Post-Annealing on the Microstructure and Microwave Dielectric Properties of Ba(Co0.7Zn0.3)1/3Nb2/3O3 Ceramics. Appl. Sci. 2016, 6, 2. https://doi.org/10.3390/app6010002
Itaalit B, Mouyane M, Bernard J, Womes M, Houivet D. Effect of Post-Annealing on the Microstructure and Microwave Dielectric Properties of Ba(Co0.7Zn0.3)1/3Nb2/3O3 Ceramics. Applied Sciences. 2016; 6(1):2. https://doi.org/10.3390/app6010002
Chicago/Turabian StyleItaalit, Brahim, Mohamed Mouyane, Jérôme Bernard, Manfred Womes, and David Houivet. 2016. "Effect of Post-Annealing on the Microstructure and Microwave Dielectric Properties of Ba(Co0.7Zn0.3)1/3Nb2/3O3 Ceramics" Applied Sciences 6, no. 1: 2. https://doi.org/10.3390/app6010002
APA StyleItaalit, B., Mouyane, M., Bernard, J., Womes, M., & Houivet, D. (2016). Effect of Post-Annealing on the Microstructure and Microwave Dielectric Properties of Ba(Co0.7Zn0.3)1/3Nb2/3O3 Ceramics. Applied Sciences, 6(1), 2. https://doi.org/10.3390/app6010002
