Diode-Pumped High Energy and High Average Power All-Solid-State Picosecond Amplifier Systems
Abstract
:1. Introduction
2. Experiments and Results
2.1. Picosecond Amplifier System at 1 kHz
2.1.1. Picosecond Oscillator



2.1.2. Regenerative Amplifier



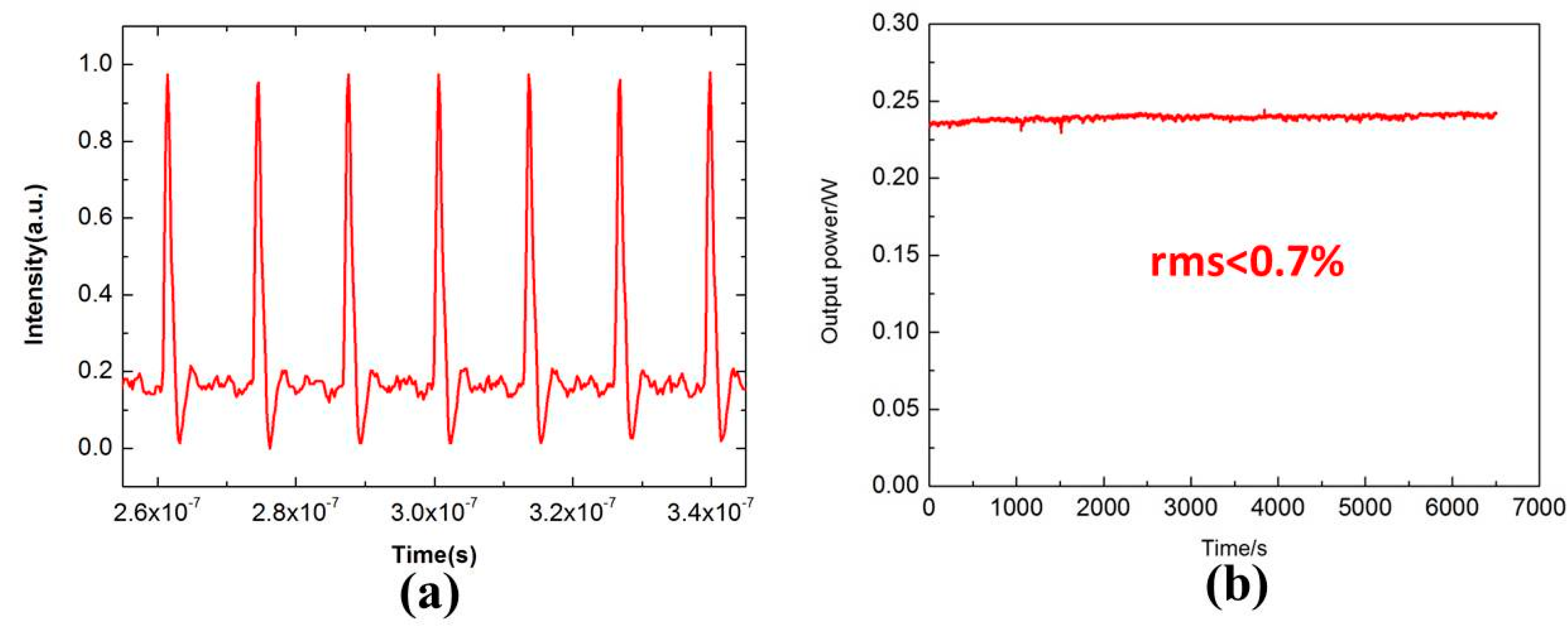
2.1.3. End-Pumped Single-Pass Amplifiers


2.1.4. Side-Pumped Amplifier

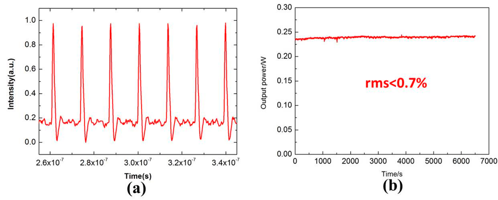
2.2. High Average Power Picosecond Amplifier System at 100 kHz



3. Conclusions and Discussions
Acknowledgments
Author Contributions
Conflicts of Interest
References
- Ursula, K. Recent developments in compact ultrafast lasers. Nature 2003, 424, 831–838. [Google Scholar]
- Kleinbauer, J.; Knappe, R.; Wallenstein, R. A powerful diode-pumped laser source for micro-machining with ps pulses in the infrared, the visible and the ultraviolet. Appl. Phys. B 2005, 80, 315–320. [Google Scholar] [CrossRef]
- Kienle, F.; Chen, K.K.; Alam, S.U.; Gawith, C.B.; Mackenzie, J.I.; Hanna, D.C.; Richardson, D.J.; Shepherd, D.P. High-power, variable repetition rate, picosecond optical parametric oscillator pumped by an amplified gain-switched diode. Opt. Express 2010, 18, 7602–7610. [Google Scholar] [CrossRef] [PubMed]
- Brendan, A.R.; Cory, B.; Keith, W.; Herman, B.; Mark, W.; Alden, C.; Federico, J.F.; Bradley, M.L.; Dinesh, P.; Carmen, S.M.; et al. 1 Joule, 100 Hz repetition rate, picosecond CPA laser for driving high average power soft X-ray lasers. In Proceedings of the 2014 Conference on Lasers and Electro-Optics (CLEO), San Jose, CA, USA, 8–13 June 2014.
- Jakub, N.; Pavel, B.; Jonathan, T.G.; Zbynek, H.; Bedrich, R. 100 mJ thin disk regenerative amplifier at 1 kHz as a pump for picosecond OPCPA. In Proceedings of the 2015 Conference on Lasers and Electro-Optics (CLEO), San Jose, CA, USA, 10–15 May 2015.
- Sadovskii, S.P.; Chizhov, P.A.; Bukin, V.V.; Brendel, V.M.; Dolmatov, T.V.; Polivanov, Y.N.; Orlov, S.N.; Garnov, S.V.; Vartapetov, S.K. Picosecond laser system with a wavelength of 193 nm based on a solid-state Nd:YAG laser, parametric oscillator, and ArF amplifier. Phys. Wave Phenom. 2014, 22, 223–226. [Google Scholar] [CrossRef]
- Rudiger, M.; Michael, K.; Christian, G.; Klaus, K.; Wilfried, P.; Ulrich, T.S.; Joachim, W. Laser processing of gallium nitride-based light-emitting diodes with ultraviolet picosecond laser pulses. Opt. Eng. 2012, 51. [Google Scholar] [CrossRef]
- Bai, Z.X.; Ai, Q.K.; Duan, J.P.; Chen, M.; Li, G. The research on the micro processing used all-solid-state picosecond laser. Proc. SPIE 2012, 8334. [Google Scholar] [CrossRef]
- Chang, C.L.; Krogen, P.; Liang, H.K.; Stein, G.J.; Moses, J.; Lai, C.J.; Siqueira, J.P.; Zapata, L.E.; Hong, K.H. Multi-mJ, kHz, ps deep-ultraviolet source. Opt. Lett. 2015, 40, 665–668. [Google Scholar] [CrossRef] [PubMed]
- Daniel, H.; Laszlo, V.; Raphael, T.; Franz, T.; Karl, S.; Vladimir, P.; Ferenc, K. Generation of sub-three-cycle, 16 TW light pulses by using noncollinear optical parametric chirped-pulse amplification. Opt. Lett. 2009, 34, 2459–2461. [Google Scholar]
- Daniel, W.E.N.; Stefan, W.; Jonas, M.; Robert, K.A.; Kjeld, S.E.E. High-energy, high-repetition-rate picosecond pulses from a quasi-CW diode-pumped Nd:YAG system. Opt. Lett. 2013, 38, 3021–3023. [Google Scholar]
- Michailovas, K.; Smilgevicius, V.; Michailovas, A. High average power effective pump source at 1 kHz repetition rate for OPCPA system. Lith. J. Phys. 2014, 54, 150–154. [Google Scholar] [CrossRef]
- Nathan, B.; Benjamin, W.; Michael, C.; Lawrence, S.; Martin, R. 145 W, 3 kHz picosecond amplifier for OPCPA pumping. In Proceedings of the 2015 Conference on Lasers and Electro-Optics (CLEO): STu4O.5, San Jose, CA, USA, 10–15 May 2015.
- Hemmer, M.; Reichert, F.; Zapata, K.; Smrz, M.; Calendron, A.R.; Cankaya, H.; Hong, K.H.; Kartner, F.; Zapata, L. Picosecond, 115 mJ energy, 200 Hz repetition rate cryogenic Yb:YAG bulk-amplifier. In Proceedings of the 2015 Conference on Lasers and Electro-Optics (CLEO): STu4O.3, San Jose, CA, USA, 10–15 May 2015.
- Catherine, Y.T.; Marcel, S.; Robert, B.; Matthias, H.; Stephan, P.; Dirk, S.; Thomas, M. 300 W picosecond thin-disk regenerative amplifier at 10 kHz repetition rate. In Proceedings of the 2013 Advanced Solid-State Lasers Congress Postdeadline: JTh5A.1, Paris, France, 27 October–1 November 2013.
- Jan-Philipp, N.; Andreas, V.; Marwan, A.A.; Dominik, B.; Dirk, S.; Alexander, K.; Thomas, G. 1.3 kW average output power Yb:YAG thin-disk multipass amplifier for multi-mJ picosecond laser pulses. In Proceedings of the 2014 Conference on Lasers and Electro-Optics (CLEO): STu1O.2, San Jose, CA, USA, 8–13 June 2015.
- Yoshihiro, O.; Keisuke, N.; Momoko, M.; Masaaki, T.; Fumiko, Y.; Nanase, K.; Michiaki, M.; Akira, S. Yb:YAG thin-disk chirped pulse amplification laser system for intense terahertz pulse generation. Opt. Express 2015, 23, 15057–15064. [Google Scholar]
- Schulz, M.; Riedel, R.; Willner, A.; Mans, T.; Schnitzler, C.; Russbueldt, P.; Dolkemeyer, J.; Seise, E.; Gottschall, T.; Hadrich, S.; et al. Yb:YAG Innoslab amplifier: Efficient high repetition rate subpicosecond pumping system for optical parametric chirped pulse amplification. Opt. Lett. 2011, 36, 2456–2458. [Google Scholar] [CrossRef] [PubMed]
- Chan, H.Y.; Alam, S.U.; Xu, L.; Bateman, J.; Richardson, D.J.; Shepherd, D.P. Compact, high-pulse-energy, high-power, picosecond master oscillator power amplifier. Opt. Express 2014, 22, 21938–21943. [Google Scholar] [CrossRef] [PubMed]
- Chang, C.L.; Krogen, P.; Hong, K.H.; Zapata, L.E.; Moses, J.; Calendron, A.L.; Liang, H.; Lai, C.J.; Stein, G.J.; Keathley, P.D.; et al. High-energy, kHz, picosecond hybrid Yb-doped chirped-pulse amplifier. Opt. Express 2015, 23, 10132–10144. [Google Scholar] [CrossRef] [PubMed]
- Zayhowski, J.J.; Harrison, J. Handbook of Photonics; Gupta, M.C., Ed.; CRC Press: Boca Raton, FL, USA, 1997; pp. 326–392. [Google Scholar]
- Wushouer, X.; Yan, P.; Yu, H.; Liu, Q.; Fu, X.; Yan, X.; Gong, M. High peak power picosecond hybrid fiber and solid-state amplifier system. Laser Phys. Lett. 2010, 7, 644–649. [Google Scholar] [CrossRef]
- Bai, Z.N.; Bai, Z.X.; Yang, C.; Chen, L.Y.; Chen, M.; Li, G. High pulse energy, high repetition picosecond chirped-multi-pulse regenerative amplifier laser. Opt. Laser Technol. 2013, 46, 25–28. [Google Scholar] [CrossRef]
- Zhang, Z.L.; Liu, Q.; Yan, P.; Xia, P.; Gong, M.L. Laser diode end-pumped Nd:YVO4 regenerative amplifier for picosecond pulses. Chin. Phys. B 2013, 22. [Google Scholar] [CrossRef]
- Peng, Z.G.; Chen, M.; Yang, C.; Chang, L.; Li, G. A cavity-dumped and regenerative amplifier system for generating high-energy, high-repetition-rate picosecond pulses. Jpn. J. Appl. Phys. 2015, 54. [Google Scholar] [CrossRef]
- Masashi, A.; Hiroki, S.; Maya, K.; Yuta, S.; Katsuhiko, M.; Takashige, O. High average power, diffraction-limited picosecond output from a sapphire face-cooled Nd:YVO4 slab amplifier. J. Opt. Soc. Am. B 2015, 32, 714–718. [Google Scholar]
© 2015 by the authors; licensee MDPI, Basel, Switzerland. This article is an open access article distributed under the terms and conditions of the Creative Commons Attribution license (http://creativecommons.org/licenses/by/4.0/).
Share and Cite
Liu, J.; Wang, W.; Wang, Z.; Lv, Z.; Zhang, Z.; Wei, Z. Diode-Pumped High Energy and High Average Power All-Solid-State Picosecond Amplifier Systems. Appl. Sci. 2015, 5, 1590-1602. https://doi.org/10.3390/app5041590
Liu J, Wang W, Wang Z, Lv Z, Zhang Z, Wei Z. Diode-Pumped High Energy and High Average Power All-Solid-State Picosecond Amplifier Systems. Applied Sciences. 2015; 5(4):1590-1602. https://doi.org/10.3390/app5041590
Chicago/Turabian StyleLiu, Jiaxing, Wei Wang, Zhaohua Wang, Zhiguo Lv, Zhiyuan Zhang, and Zhiyi Wei. 2015. "Diode-Pumped High Energy and High Average Power All-Solid-State Picosecond Amplifier Systems" Applied Sciences 5, no. 4: 1590-1602. https://doi.org/10.3390/app5041590
APA StyleLiu, J., Wang, W., Wang, Z., Lv, Z., Zhang, Z., & Wei, Z. (2015). Diode-Pumped High Energy and High Average Power All-Solid-State Picosecond Amplifier Systems. Applied Sciences, 5(4), 1590-1602. https://doi.org/10.3390/app5041590
