Enhancement and Optimization of Workability and Physical Properties of RAP Concrete Incorporating Silica Fume and Superplasticizer for Sustainable Construction
Featured Application
Abstract
1. Introduction
2. Materials and Methods
2.1. Portland Pozzolan Cement (PPC)
2.2. Natural Aggregate (NA)
2.3. Recycled Asphalt Pavement Aggregate (RAP)
2.4. Silica Fume (SF)
2.5. Superplasticizer (SP)
2.6. Concrete Mixtures
3. Results and Discussion
3.1. Effect of RAP Content (RAP-Mixes)
3.2. Effect of SF Content (SF-Mixes)
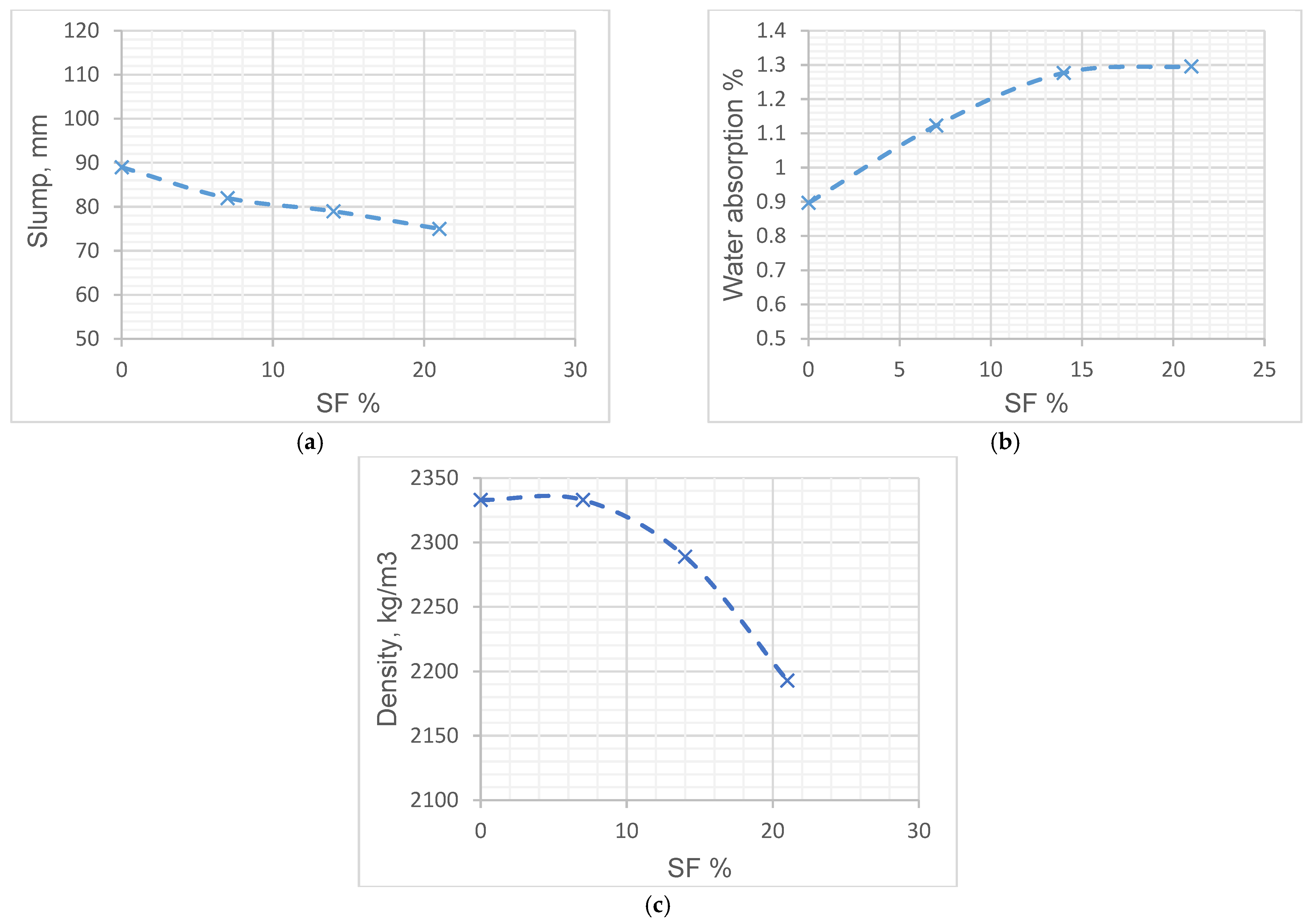
3.3. Effect of SP Content (SP-Mixes)
3.4. The Interaction Between RAP and SF (RAP-SF-Mixes)
3.4.1. The Interaction Between RAP and SF in Terms of RAP Content
3.4.2. The Interaction Between RAP and SF in Terms of SF Content
3.5. The Interaction Between RAP and SP (RAP-SP-Mixes)
3.5.1. The Interaction Between RAP and SP in Terms of RAP Content
3.5.2. The Interaction Between RAP and SP in Terms of SP Content
3.6. Optimal Content
3.6.1. Indicators of Workability and Durability
3.6.2. Normalized Slump, WA, and Density
3.6.3. Durability Implications
4. Conclusions
- RAP Effect: RAP consistently increased slump due to its bitumen-coated surface, which reduced aggregate water absorption and released more free water into the mix. However, it also increased overall water absorption and reduced density, with a notable stabilization in density at 50% RAP for both the SF and SP series. A density peak was observed at 75% RAP for all SF series, while a reduction in density occurred in the SP series.
- SF Effect: SF reduced the slump because of its high surface area and water demand. At low RAP levels, this led to higher water absorption and lower density due to poor workability and compaction. Conversely, at moderate-to-high RAP contents (50–100%), SF significantly refined the pore structure, reducing water absorption (≤1.1%) and increasing density (up to 7.6%), confirming a positive synergistic effect with RAP. The observed effects of SF in this study are inherently constrained by the fixed water-to-cement ratio (0.48), which restricted mix adjustments and directly influenced both water absorption and density.
- SP Effect: The addition of SP substantially improved workability, achieving up to a 58% slump increase in high-RAP mixes (100% RAP, 2.1% SP). While this enhanced compaction in some cases, it also increased water absorption, indicating a more interconnected pore network. Its effect on density was less consistent than that of SF, depending on the RAP content and dosage optimization.
- Optimal Mixes: RAP–SF mixes at 50–100% RAP replacement with 7–14% SF showed the most balanced performance, combining improved density, very low water absorption, and satisfactory workability. Most RAP–SF and RAP–SP mixes satisfied durability limits for severe exposure, confirming the potential of RAP concrete for sustainable structural applications without compromising reliability.
- Future Work: Further research should explore variable water–cement ratios and optimized SF–SP combinations to enhance compaction and refine pore networks, alongside long-term studies under cyclic loading, freeze–thaw, and fire exposures. Direct porosity measurements (e.g., SEM and MIP) are recommended to validate the inferred microstructural changes.
Funding
Institutional Review Board Statement
Informed Consent Statement
Data Availability Statement
Acknowledgments
Conflicts of Interest
Appendix A
| No | Mix Designation | Slump | Water Absorption | Density | ||||||
|---|---|---|---|---|---|---|---|---|---|---|
| Mean | Standard Deviation, SD | Coefficient of Variation, CV | Mean | Standard Deviation, SD | Coefficient of Variation, CV | Mean | Standard Deviation, SD | Coefficient of Variation, CV | ||
| (mm) | (mm) | (%) | (%) | (kg/m3) | (kg/m3) | |||||
| 1 | RAP0-00 | 89 | 4 | 4.49% | 0.897 | 0.022 | 2.50% | 2333 | 18 | 0.77% |
| 2 | RAP25-00 | 94 | 4.5 | 4.79% | 0.958 | 0.026 | 2.71% | 2274 | 20 | 0.88% |
| 3 | RAP50-00 | 101 | 5.2 | 5.15% | 0.982 | 0.029 | 2.95% | 2259 | 22 | 0.97% |
| 4 | RAP75-00 | 107 | 6.1 | 5.70% | 0.992 | 0.033 | 3.33% | 2320 | 25 | 1.08% |
| 5 | RAP100-00 | 113 | 7 | 6.19% | 1.058 | 0.04 | 3.78% | 2140 | 28 | 1.31% |
| 6 | RAP0-SF7 | 82 | 3.8 | 4.63% | 1.123 | 0.025 | 2.23% | 2333 | 19 | 0.81% |
| 7 | RAP0-SF14 | 79 | 3.7 | 4.68% | 1.277 | 0.029 | 2.27% | 2289 | 20 | 0.87% |
| 8 | RAP0-SF21 | 75 | 3.6 | 4.80% | 1.296 | 0.03 | 2.31% | 2193 | 21 | 0.96% |
| 9 | RAP0-SP0.7 | 99 | 4.2 | 4.24% | 1.056 | 0.021 | 1.99% | 2338 | 17 | 0.73% |
| 10 | RAP0-SP1.4 | 103 | 4.3 | 4.17% | 1.089 | 0.02 | 1.84% | 2346 | 16.5 | 0.70% |
| 11 | RAP0-SP2.1 | 108 | 4.5 | 4.17% | 1.104 | 0.019 | 1.72% | 2348 | 16 | 0.68% |
| 12 | RAP25-SF7 | 92 | 4.8 | 5.22% | 1.158 | 0.03 | 2.59% | 2215 | 21 | 0.95% |
| 13 | RAP50-SF7 | 96 | 5.1 | 5.31% | 1.058 | 0.029 | 2.74% | 2267 | 22 | 0.97% |
| 14 | RAP75-SF7 | 100 | 5.4 | 5.40% | 0.997 | 0.028 | 2.81% | 2289 | 23 | 1.00% |
| 15 | RAP100-SF7 | 106 | 5.8 | 5.47% | 0.987 | 0.029 | 2.94% | 2207 | 24 | 1.09% |
| 16 | RAP25-SF14 | 88 | 4.7 | 5.34% | 1.181 | 0.032 | 2.71% | 2218 | 21.5 | 0.97% |
| 17 | RAP50-SF14 | 92 | 5 | 5.43% | 1.098 | 0.031 | 2.82% | 2252 | 22.5 | 1.00% |
| 18 | RAP75-SF14 | 96 | 5.4 | 5.63% | 0.99 | 0.03 | 3.03% | 2259 | 23.5 | 1.04% |
| 19 | RAP100-SF14 | 100 | 5.9 | 5.90% | 0.999 | 0.032 | 3.20% | 2178 | 25 | 1.15% |
| 20 | RAP25-SF21 | 83 | 4.6 | 5.54% | 1.228 | 0.036 | 2.93% | 2141 | 22 | 1.03% |
| 21 | RAP50-SF21 | 88 | 5 | 5.68% | 1.105 | 0.034 | 3.08% | 2252 | 23 | 1.02% |
| 22 | RAP75-SF21 | 91 | 5.5 | 6.04% | 1.019 | 0.033 | 3.24% | 2312 | 24.5 | 1.06% |
| 23 | RAP100-SF21 | 97 | 6 | 6.19% | 1.024 | 0.035 | 3.42% | 2193 | 26 | 1.19% |
| 24 | RAP25-SP0.7 | 105 | 4.4 | 4.19% | 1.087 | 0.025 | 2.30% | 2304 | 18.5 | 0.80% |
| 25 | RAP50-SP0.7 | 114 | 4.9 | 4.30% | 1.107 | 0.027 | 2.44% | 2252 | 19.5 | 0.87% |
| 26 | RAP75-SP0.7 | 121 | 5.5 | 4.55% | 1.119 | 0.029 | 2.59% | 2215 | 21 | 0.95% |
| 27 | RAP100-SP0.7 | 127 | 6.2 | 4.88% | 1.274 | 0.035 | 2.75% | 2274 | 24 | 1.06% |
| 28 | RAP25-SP1.4 | 109 | 4.5 | 4.13% | 1.098 | 0.026 | 2.37% | 2267 | 19 | 0.84% |
| 29 | RAP50-SP1.4 | 117 | 5 | 4.27% | 1.119 | 0.028 | 2.50% | 2259 | 20 | 0.89% |
| 30 | RAP75-SP1.4 | 127 | 5.6 | 4.41% | 1.128 | 0.031 | 2.75% | 2267 | 21.5 | 0.95% |
| 31 | RAP100-SP1.4 | 135 | 6.4 | 4.74% | 1.298 | 0.038 | 2.93% | 2311 | 24.5 | 1.06% |
| 32 | RAP25-SP2.1 | 113 | 4.6 | 4.07% | 1.109 | 0.028 | 2.52% | 2304 | 19.5 | 0.85% |
| 33 | RAP50-SP2.1 | 121 | 5.2 | 4.30% | 1.124 | 0.03 | 2.67% | 2260 | 20.5 | 0.91% |
| 34 | RAP75-SP2.1 | 134 | 5.9 | 4.40% | 1.137 | 0.033 | 2.90% | 2163 | 22 | 1.02% |
| 35 | RAP100-SP2.1 | 141 | 6.8 | 4.82% | 1.321 | 0.042 | 3.18% | 2252 | 25.5 | 1.13% |
References
- Yu, J.; Lin, Z.; Zou, G.; Yu, H.; Leng, Z.; Zhang, Y. Long-term performance of recycled asphalt mixtures containing high RAP and RAS. J. Road Eng. 2024, 4, 36–53. [Google Scholar] [CrossRef]
- Zaumanis, M.; Mallick, R.B. Review of very high-content reclaimed asphalt use in plant-produced pavements: State of the art. Int. J. Pavement Eng. 2015, 16, 39–55. [Google Scholar] [CrossRef]
- Abdel-Jaber, M.T.; Al-shamayleh, R.A.; Ibrahim, R.; Alkhrissat, T.; Alqatamin, A. Mechanical properties evaluation of asphalt mixtures with variable contents of reclaimed asphalt pavement (RAP). Results Eng. 2022, 14, 100463. [Google Scholar] [CrossRef]
- Naser, M.; Abdel-Jaber, M.T.; Al-shamayleh, R.; Louzi, N.; Ibrahim, R. Evaluating the effects of using reclaimed asphalt pavement and recycled concrete aggregate on the behavior of hot mix asphalts. Transp. Eng. 2022, 10, 100140. [Google Scholar] [CrossRef]
- Naser, M.; Abdel-Jaber, M.T.; Al-Shamayleh, R.; Ibrahim, R.; Louzi, N.; AlKhrissat, T. Improving the mechanical properties of recycled asphalt pavement mixtures using steel slag and silica fume as a filler. Buildings 2023, 13, 132. [Google Scholar] [CrossRef]
- Jaawani, S.; Franco, A.; De-Luca, G.; Coppola, O.; Bonati, A. Limitations on the Use of Recycled Asphalt Pavement in Structural Concrete. Appl. Sci. 2021, 11, 10901. [Google Scholar] [CrossRef]
- Alwathaf, A.H.; Abdel Jaber, M.T.; Hunaiti, Y.M. Enhancement and optimization of the mechanical properties in cement concrete with Recycled Asphalt Pavement (RAP). Buildings 2025, 15, 108. [Google Scholar] [CrossRef]
- Debbarma, S.; Ransinchung, G.D. Achieving sustainability in roller compacted concrete pavement mixes using reclaimed asphalt pavement aggregates—State of the art review. J. Clean. Prod. 2020, 287, 125078. [Google Scholar] [CrossRef]
- Singh, S.; Ransinchung, G.; Kumar, P. Feasibility study of RAP aggregates in cement concrete pavements. Road Mater. Pavement Des. 2019, 20, 151–170. [Google Scholar] [CrossRef]
- Tam, V.W.; Soomro, M.; Evangelista, A.C. A review of recycled aggregate in concrete applications (2000–2017). Constr. Build. Mater. 2018, 172, 272–292. [Google Scholar] [CrossRef]
- Suebsuk, J.; Horpibulsuk, S.; Phunpeng, V.; Panpipat, P.; Chaidachatorn, K.; Kroehong, W.; Somna, R. Concrete mix design: Optimizing recycled asphalt pavement in Portland cement concrete. Constr. Build. Mater. 2024, 455, 139180. [Google Scholar] [CrossRef]
- Rout, M.K.D.; Sahdeo, S.K.; Biswas, S.; Roy, K.; Sinha, A.K. Feasibility Study of Reclaimed Asphalt Pavements (RAP) as Recycled Aggregates Used in Rigid Pavement Construction. Materials 2023, 16, 1504. [Google Scholar] [CrossRef] [PubMed]
- Sandra, A.K.; Kumar, J.S.; Sharma, S.K.; Sssv, G.R. Properties of pavement quality concrete prepared with coarse RAP containing different percentages of asphalt. Urban Plann. Transp. Res. 2022, 11, 2154257. [Google Scholar] [CrossRef]
- Bhanja, S.; Sengupta, B. Influence of silica fume on the tensile strength of concrete. Cem. Concr. Res. 2005, 35, 743–747. [Google Scholar] [CrossRef]
- Siddique, R. Utilization of silica fume in concrete: Review of hardened properties. Resour. Conserv. Recycl. 2011, 55, 923–932. [Google Scholar] [CrossRef]
- Katkhuda, H.N.; Shatarat, N.K.; Hyari, K.H. Effect of silica fume on mechanical properties of concrete containing recycled asphalt pavement. Struct. Eng. Mech. Int. J. 2017, 62, 357–364. [Google Scholar] [CrossRef]
- Ashteyat, A.M.; Obaidat, A.T.; Al Tawalbeh, B.; Kırgız, M.S. Upcycling of recycled asphalt pavement aggregate and recycled concrete aggregate and silica fume in roller-compacted concrete. In Advance Upcycling of By-Products in Binder and Binder-Based Materials; Woodhead Publishing: London, UK, 2024; pp. 251–276. [Google Scholar] [CrossRef]
- Rezaei, M.R.; Abdi Kordani, A.; Zarei, M. Experimental investigation of the effect of Micro Silica on roller compacted concrete pavement made of recycled asphalt pavement materials. Int. J. Pavement Eng. 2020, 23, 1353–1367. [Google Scholar] [CrossRef]
- Jhatial, A.; Sohu, S.; Lakhiar, M.; Shahzaib, J.; Buriro, A. Effectiveness of Locally Available Superplasticizers on the Workability and Strength of Concrete. Civ. Eng. J. 2018, 4, 2919–2925. [Google Scholar] [CrossRef]
- Antoni; Halim, J.G.; Kusuma, O.C.; Hardjito, D. Optimizing polycarboxylate based superplasticizer dosage with different cement type. Procedia Eng. 2017, 171, 752–759. [Google Scholar] [CrossRef]
- Mbadike, E. Effect of superplasticizer on the Compressive strength of concrete. Int. J. Nat. Appl. Sci. 2011, 7, 37–40. [Google Scholar]
- Alsadey, S.; Omran, A. Effect of Superplasticizers to Enhance the Properties of Concrete. Des. Constr. Maint. 2022, 2, 84–91. [Google Scholar] [CrossRef]
- Braymand, S.; François, P.; Feugeas, F.; Fond, C. Rheological properties of recycled aggregate concrete using superplasticizers. J. Civ. Eng. Archit. 2015, 9, 591–597. [Google Scholar] [CrossRef]
- Pereira, P.; Evangelista, L.M.; De-Brito, J.M. The effect of superplasticizers on the mechanical performance of concrete made with fine recycled concrete aggregates. Cem. Concr. Compos. 2012, 34, 1044–1052. [Google Scholar] [CrossRef]
- Hashemi, M.; Shafigh, P.; Asadi, I.; Mahpour, A.; Samadian, A. The effect of superplasticizer admixture on the engineering characteristics of roller-compacted concrete pavement. Int. J. Pavement Eng. 2020, 23, 2432–2447. [Google Scholar] [CrossRef]
- Russo, N.; Filippi, A.; Carsana, M.; Lollini, F.; Redaelli, E. Recycling of RAP (Reclaimed Asphalt Pavement) as aggregate for structural concrete: Experimental study on physical and mechanical properties. Discov. Civ. Eng. 2024, 1, 99. [Google Scholar] [CrossRef]
- Singh, S.; Ransinchung, R.N.G.D.; Kumar, P. Performance evaluation of RAP concrete in aggressive environment. J. Mater. Civ. Eng. 2018, 30, 04018231. [Google Scholar] [CrossRef]
- Abraham, S.M.; Ransinchung, G.D. Effects of Reclaimed Asphalt Pavement aggregates and mineral admixtures on pore structure, mechanical and durability properties of cement mortar. Constr. Build. Mater. 2019, 216, 202–213. [Google Scholar] [CrossRef]
- Matias, D.; de Brito, J.; Rosa, A.; Pedro, D. Durability of concrete with recycled coarse aggregates: Influence of superplasticizers. J. Mater. Civ. Eng. 2013, 26, 06014011. [Google Scholar] [CrossRef]
- Alwathaf, A.; Jaber, M.T.; Hunaiti, Y. Experimental investigation on the Effect of Superplasticizer on Concrete Containing Recycled Asphalt Pavement (RAP). In E3S Web of Conferences; EDP Sciences: Paris, France, 2024; Volume 586, p. 04002. [Google Scholar] [CrossRef]
- ASTM C 150; Standard Specification for Portland Cement. ASTM International: West Conshohocken, PA, USA, 2012.
- ASTM C-33; Standard Specification for Concrete Aggregates. ASTM International: West Conshohocken, PA, USA, 2023.
- ASTM D2172; Standard Test Methods for Quantitative Extraction of Bitumen From Bituminous Paving Mixtures. ASTM International: West Conshohocken, PA, USA, 2010.
- ASTM C 1240; Standard Specification for Silica Fume Used in Cementitious Mixtures. ASTM International: West Conshohocken, PA, USA, 2020.
- Li, L.; Xuan, D.; Sojobi, A.O.; Liu, S.; Chu, S.H.; Poon, C.S. Development of nano-silica treatment methods to enhance recycled aggregate concrete. Cem. Concr. Compos. 2021, 118, 103963. [Google Scholar] [CrossRef]
- Abd-Elhakam, A.; Awad, E. Influence of self-healing, mixing method and adding silica fume on mechanical properties of recycled aggregates concrete. Constr. Build. Mater. 2012, 35, 421–427. [Google Scholar] [CrossRef]
- Kou, S.C.; Poon, C.S.; Agrela, F. Comparisons of natural and recycled aggregate concretes prepared with the addition of different mineral admixtures. Cem. Concr. Compos. 2011, 33, 788–795. [Google Scholar] [CrossRef]
- ASTM C143/C143M-12; Standard Test Method for Slump of Hydraulic-Cement Concrete. ASTM International: West Conshohocken, PA, USA, 2012.
- ASTM C642-21; Standard Test Method for Density, Absorption, and Voids in Hardened Concrete. ASTM International: West Conshohocken, PA, USA, 2020.
- ASTM C138/C138M-17a; Standard Test Method for Density (Unit Weight), Yield, and Air Content (Gravimetric) of Concrete. ASTM International: West Conshohocken, PA, USA, 2017.
- Aïtcin, P.C. High Performance Concrete, 1st ed.; CRC Press: Boca Raton, FL, USA, 1998. [Google Scholar] [CrossRef]
- Siddique, R. Properties of concrete incorporating high volumes of class F fly ash and san fibers. Cem. Concr. Res. 2004, 34, 37–42. [Google Scholar] [CrossRef]
- Dilbas, H.; Şimşek, M.; Çakır, Ö. An investigation on mechanical and physical properties of recycled aggregate concrete (RAC) with and without silica fume. Constr. Build. Mater. 2014, 61, 50–59. [Google Scholar] [CrossRef]
- Wang, A.; Zheng, Y.; Zhang, Z.; Liu, K.; Li, Y.; Shi, L.; Sun, D. The durability of alkali-activated materials in comparison with ordinary Portland cements and concretes: A review. Engineering 2020, 6, 695–706. [Google Scholar] [CrossRef]
- Kong, D.L.; Sanjayan, J.G.; Sagoe-Crentsil, K. Comparative performance of geopolymers made with metakaolin and fly ash after exposure to elevated temperatures. Cem. Concr. Res. 2007, 37, 1583–1589. [Google Scholar] [CrossRef]
- Stanley, C. The use and abuse of the slump test for measuring the workability of concrete. In Proceedings of the 36th Conference on Our World in Concrete and Structures, Singapore, 14–16 August 2011. [Google Scholar]
- CEB-FIP. Diagnosis and assessment of concrete structures—State of art report. CEB Bull. 1989, 192, 83–85. [Google Scholar]
- Mehta, P.K.; Monteiro, P.J.M. Concrete: Microstructure, Properties, and Materials, 4th ed.; McGraw-Hill Education: New York, NY, USA, 2014. [Google Scholar]
- Zhang, S.P.; Zong, L. Evaluation of relationship between water absorption and durability of concrete materials. Adv. Mater. Sci. Eng. 2014, 2014, 650373. [Google Scholar] [CrossRef]










| Physical Requirements | Results | Standard Values |
|---|---|---|
| Specific Gravity | 3.08 | 3.15 |
| Fineness (Blaine) cm2/g | 4750 | - |
| Soundness (Expansion) mm | 3.5 | ≤10 |
| Chemical Composition | Test Value (%) |
|---|---|
| Loss on ignition (LOI) | 1.55 |
| Insoluble Residue | 7.50 |
| MgO | 4.75 |
| SO3 | 3.06 |
| Chloride Content | 0.03 |
| CaO | 53.8 |
| SiO2 | 23.5 |
| Al2O3 | 6.30 |
| Fe2O3 | 2.00 |
| K2O | 0.85 |
| Free Lime | 1.85 |
| Type of Test | Coarse Aggregate | Fine Aggregate |
|---|---|---|
| Specific Gravity | 2.758 | 2.585 |
| Water Absorption (%) | 0.682 | 0.785 |
| Type of Test | Coarse Aggregate | Fine Aggregate |
|---|---|---|
| Specific Gravity | 2.271 | 2.31 |
| Water Absorption (%) | 2.96 | 4.582 |
| Appearance | Specific Gravity | pH Value | Chloride Content (%) |
|---|---|---|---|
| Brown Liquid | 1.10 ± 0.03 g/cm3 | 6.0 ± 1 | ≤0.10 by mass |
| Cement (Kg/m3) | Water (Kg/m3) | Fine Aggregates (Kg/m3) | Coarse Aggregates (Kg/m3) |
|---|---|---|---|
| 500 | 240 | 810 | 1150 |
| No | Mix Designation | RAP% | SF Content % | SP Content % |
|---|---|---|---|---|
| (a) | ||||
| 1 | RAP0-00 | 0 | 0 | 0 |
| (b) | ||||
| 2 | RAP25-00 | 25 | 0 | 0 |
| 3 | RAP50-00 | 50 | 0 | 0 |
| 4 | RAP75-00 | 75 | 0 | 0 |
| 5 | RAP100-00 | 100 | 0 | 0 |
| (c) | ||||
| 6 | RAP0-SF7 | 0 | 7 | 0 |
| 7 | RAP0-SF14 | 0 | 14 | 0 |
| 8 | RAP0-SF21 | 0 | 21 | 0 |
| (d) | ||||
| 9 | RAP0-SP0.7 | 0 | 0 | 0.7 |
| 10 | RAP0-SP1.4 | 0 | 0 | 1.4 |
| 11 | RAP0-SP2.1 | 0 | 0 | 2.1 |
| (e) | ||||
| 12 | RAP25-SF7 | 25 | 7 | 0 |
| 13 | RAP50-SF7 | 50 | 7 | 0 |
| 14 | RAP75-SF7 | 75 | 7 | 0 |
| 15 | RAP100-SF7 | 100 | 7 | 0 |
| 16 | RAP25-SF14 | 25 | 14 | 0 |
| 17 | RAP50-SF14 | 50 | 14 | 0 |
| 18 | RAP75-SF14 | 75 | 14 | 0 |
| 19 | RAP100-SF14 | 100 | 14 | 0 |
| 20 | RAP25-SF21 | 25 | 21 | 0 |
| 21 | RAP50-SF21 | 50 | 21 | 0 |
| 22 | RAP75-SF21 | 75 | 21 | 0 |
| 23 | RAP100-SF21 | 100 | 21 | 0 |
| (f) | ||||
| 24 | RAP25-SP0.7 | 25 | 0 | 0.7 |
| 25 | RAP50-SP0.7 | 50 | 0 | 0.7 |
| 26 | RAP75-SP0.7 | 75 | 0 | 0.7 |
| 27 | RAP100-SP0.7 | 100 | 0 | 0.7 |
| 28 | RAP25-SP1.4 | 25 | 0 | 1.4 |
| 29 | RAP50-SP1.4 | 50 | 0 | 1.4 |
| 30 | RAP75-SP1.4 | 75 | 0 | 1.4 |
| 31 | RAP100-SP1.4 | 100 | 0 | 1.4 |
| 32 | RAP25-SP2.1 | 25 | 0 | 2.1 |
| 33 | RAP50-SP2.1 | 50 | 0 | 2.1 |
| 34 | RAP75-SP2.1 | 75 | 0 | 2.1 |
| 35 | RAP100-SP2.1 | 100 | 0 | 2.1 |
| (a) Slump (mm) | ||||||||
| RAP | SF % | SP % | ||||||
| 0 | 7 | 14 | 21 | 0 | 0.7 | 1.4 | 2.1 | |
| 0% RAP | 89 | 82 | 79 | 75 | 89 | 99 | 103 | 108 |
| 25% RAP | 94 | 92 | 88 | 83 | 94 | 105 | 109 | 113 |
| 50% RAP | 101 | 96 | 92 | 88 | 101 | 114 | 117 | 121 |
| 75% RAP | 107 | 100 | 96 | 91 | 107 | 121 | 127 | 134 |
| 100% RAP | 113 | 106 | 100 | 97 | 113 | 127 | 135 | 141 |
| (b) Water absorption (%) | ||||||||
| RAP | SF % | SP % | ||||||
| 0 | 7 | 14 | 21 | 0 | 0.7 | 1.4 | 2.1 | |
| 0% RAP | 0.897 | 1.123 | 1.277 | 1.296 | 0.897 | 1.056 | 1.089 | 1.104 |
| 25% RAP | 0.958 | 1.158 | 1.181 | 1.228 | 0.958 | 1.087 | 1.098 | 1.109 |
| 50% RAP | 0.982 | 1.058 | 1.098 | 1.105 | 0.982 | 1.107 | 1.119 | 1.124 |
| 75% RAP | 0.992 | 0.997 | 0.99 | 1.019 | 0.992 | 1.119 | 1.128 | 1.137 |
| 100% RAP | 1.058 | 0.987 | 0.999 | 1.024 | 1.058 | 1.274 | 1.298 | 1.321 |
| (c) Density (kg/m3) | ||||||||
| RAP | SF % | SP % | ||||||
| 0 | 7 | 14 | 21 | 0 | 0.7 | 1.4 | 2.1 | |
| 0% RAP | 2333 | 2333 | 2289 | 2193 | 2333 | 2338 | 2346 | 2348 |
| 25% RAP | 2274 | 2215 | 2218 | 2141 | 2274 | 2304 | 2267 | 2304 |
| 50% RAP | 2259 | 2267 | 2252 | 2252 | 2259 | 2252 | 2259 | 2260 |
| 75% RAP | 2320 | 2289 | 2259 | 2312 | 2320 | 2215 | 2267 | 2163 |
| 100% RAP | 2140 | 2207 | 2178 | 2193 | 2140 | 2274 | 2311 | 2252 |
| (a) Normalized Slump | ||||||||
| RAP | SF % | SP % | ||||||
| 0 | 7 | 14 | 21 | 0 | 0.7 | 1.4 | 2.1 | |
| 0% RAP | 1.00 | 0.92 | 0.89 | 0.84 | 1.00 | 1.11 | 1.16 | 1.21 |
| 25% RAP | 1.06 | 1.03 | 0.99 | 0.93 | 1.06 | 1.18 | 1.22 | 1.27 |
| 50% RAP | 1.13 | 1.08 | 1.03 | 0.99 | 1.13 | 1.28 | 1.31 | 1.36 |
| 75% RAP | 1.20 | 1.12 | 1.08 | 1.02 | 1.20 | 1.36 | 1.43 | 1.51 |
| 100% RAP | 1.27 | 1.19 | 1.12 | 1.09 | 1.27 | 1.43 | 1.52 | 1.58 |
| (b) Normalized Water absorption | ||||||||
| RAP | SF % | SP % | ||||||
| 0 | 7 | 14 | 21 | 0 | 0.7 | 1.4 | 2.1 | |
| 0% RAP | 1.00 | 1.25 | 1.42 | 1.44 | 1.00 | 1.18 | 1.21 | 1.23 |
| 25% RAP | 1.07 | 1.29 | 1.32 | 1.37 | 1.07 | 1.21 | 1.22 | 1.24 |
| 50% RAP | 1.09 | 1.18 | 1.22 | 1.23 | 1.09 | 1.23 | 1.25 | 1.25 |
| 75% RAP | 1.11 | 1.11 | 1.10 | 1.14 | 1.11 | 1.25 | 1.26 | 1.27 |
| 100% RAP | 1.18 | 1.10 | 1.11 | 1.14 | 1.18 | 1.42 | 1.45 | 1.47 |
| (c) Normalized Density | ||||||||
| RAP | SF % | SP % | ||||||
| 0 | 7 | 14 | 21 | 0 | 0.7 | 1.4 | 2.1 | |
| 0% RAP | 1.00 | 1.00 | 0.98 | 0.94 | 1.00 | 1.00 | 1.01 | 1.01 |
| 25% RAP | 0.97 | 0.95 | 0.95 | 0.92 | 0.97 | 0.99 | 0.97 | 0.99 |
| 50% RAP | 0.97 | 0.97 | 0.97 | 0.97 | 0.97 | 0.97 | 0.97 | 0.97 |
| 75% RAP | 0.99 | 0.98 | 0.97 | 0.99 | 0.99 | 0.95 | 0.97 | 0.93 |
| 100% RAP | 0.92 | 0.95 | 0.93 | 0.94 | 0.92 | 0.97 | 0.99 | 0.97 |
Disclaimer/Publisher’s Note: The statements, opinions and data contained in all publications are solely those of the individual author(s) and contributor(s) and not of MDPI and/or the editor(s). MDPI and/or the editor(s) disclaim responsibility for any injury to people or property resulting from any ideas, methods, instructions or products referred to in the content. |
© 2026 by the author. Licensee MDPI, Basel, Switzerland. This article is an open access article distributed under the terms and conditions of the Creative Commons Attribution (CC BY) license.
Share and Cite
Alwathaf, A.H. Enhancement and Optimization of Workability and Physical Properties of RAP Concrete Incorporating Silica Fume and Superplasticizer for Sustainable Construction. Appl. Sci. 2026, 16, 3747. https://doi.org/10.3390/app16083747
Alwathaf AH. Enhancement and Optimization of Workability and Physical Properties of RAP Concrete Incorporating Silica Fume and Superplasticizer for Sustainable Construction. Applied Sciences. 2026; 16(8):3747. https://doi.org/10.3390/app16083747
Chicago/Turabian StyleAlwathaf, Ahmed Hasan. 2026. "Enhancement and Optimization of Workability and Physical Properties of RAP Concrete Incorporating Silica Fume and Superplasticizer for Sustainable Construction" Applied Sciences 16, no. 8: 3747. https://doi.org/10.3390/app16083747
APA StyleAlwathaf, A. H. (2026). Enhancement and Optimization of Workability and Physical Properties of RAP Concrete Incorporating Silica Fume and Superplasticizer for Sustainable Construction. Applied Sciences, 16(8), 3747. https://doi.org/10.3390/app16083747
