Long-Term Interactive Response and Mechanisms Between Deep-Buried Shield Tunnels and the Surrounding Strata
Featured Application
Abstract
1. Introduction
2. Project Overview
3. Methods
3.1. Numerical Modeling
3.1.1. Basic Assumptions
- It is assumed that each soil layer is uniformly distributed in the horizontal direction, and the effects of soil voids and anisotropy are not considered.
- It is assumed that the soil is fully saturated and follows an elastic constitutive model, considering the interaction between flow and solid mechanics, with the water level assumed to be at the surface.
- The tunnel segments are modeled using a linear elastic constitutive model, with no consideration of plasticity effects on strata deformation.
- Only the response of the ground caused by tunnel leakage after the tunnel is constructed is considered.
3.1.2. Model Size and Grid Division
3.1.3. Material Parameters
3.1.4. Boundary Conditions
3.1.5. Tunnel Leakage Conditions
3.2. Working Condition Design
4. Results
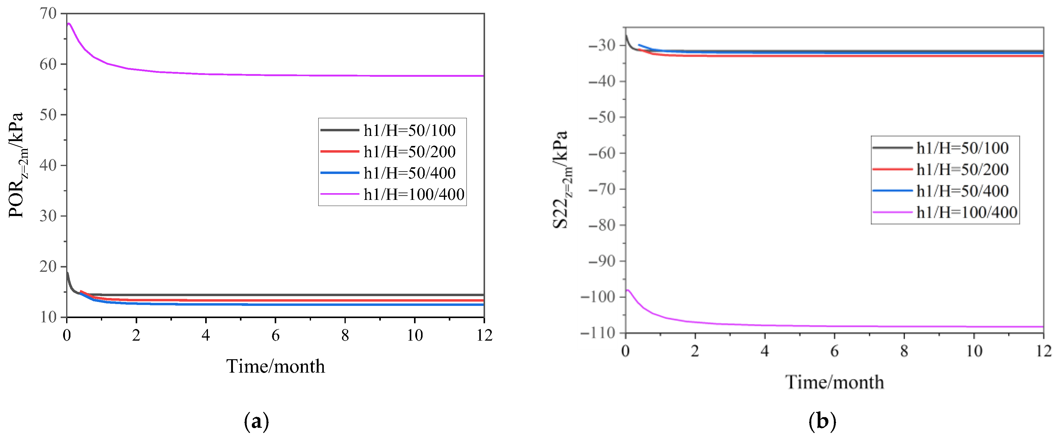
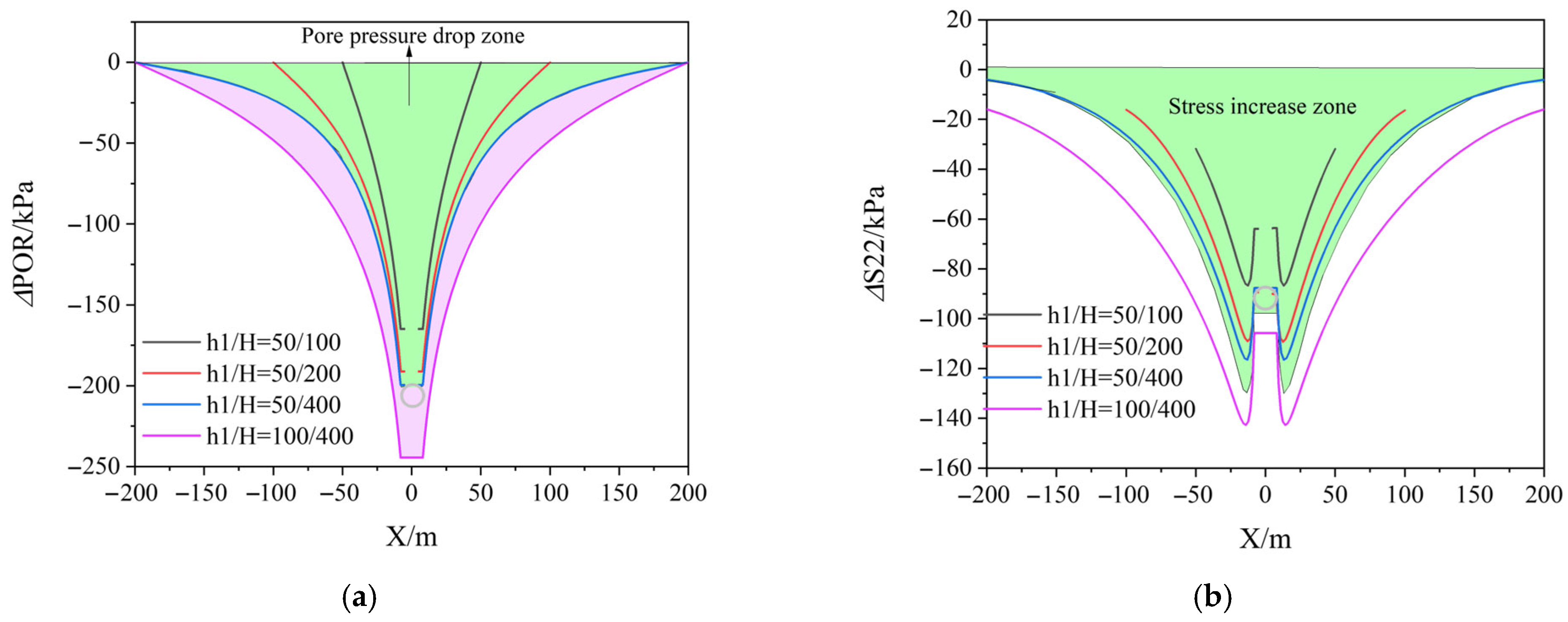
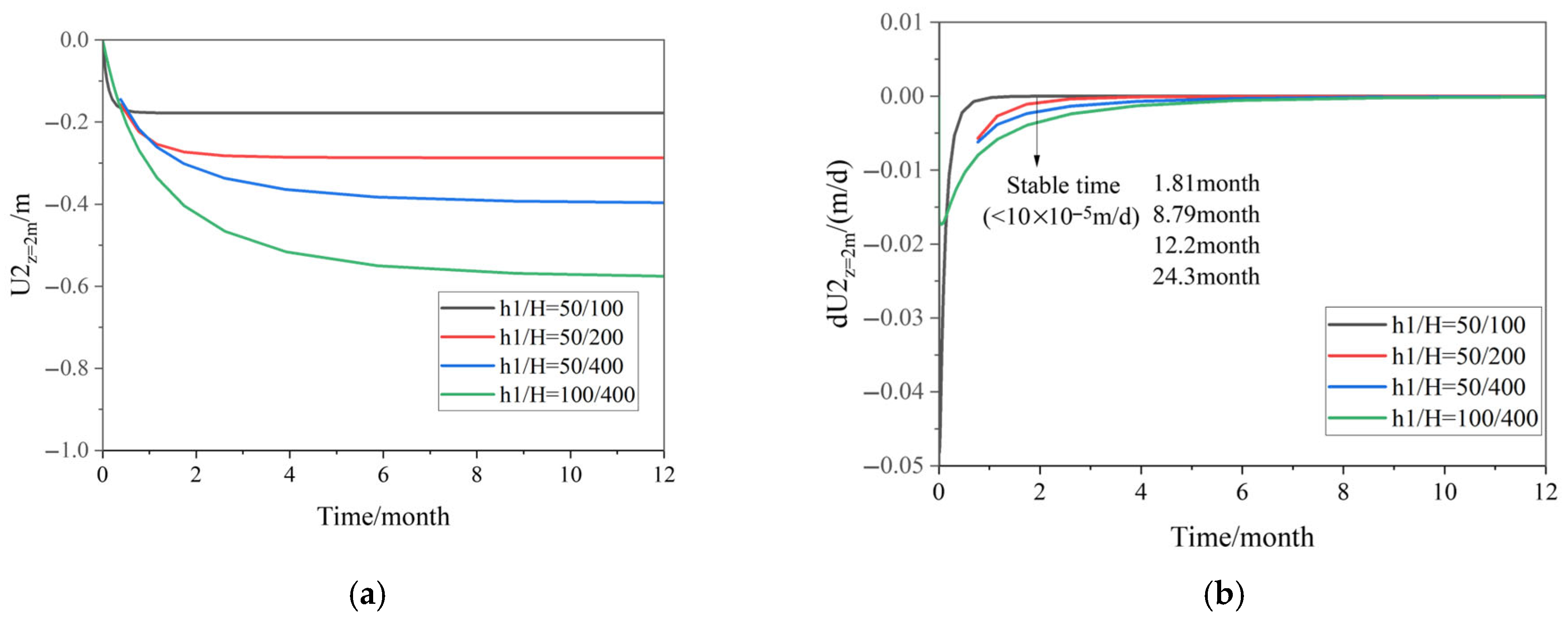
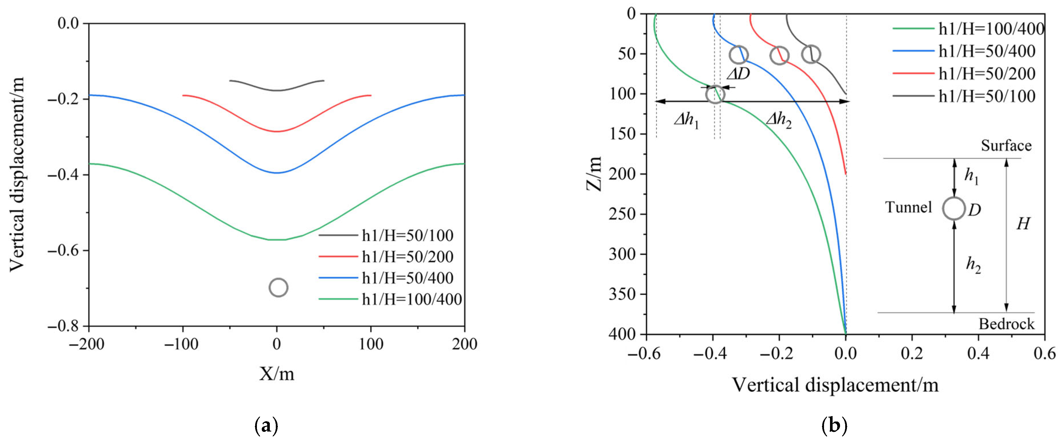
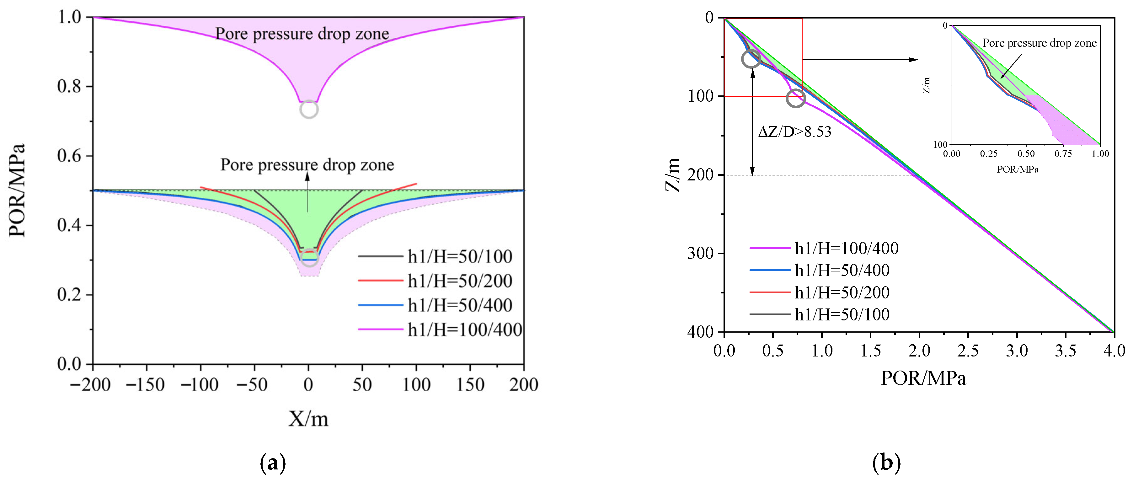
4.1. Influence of Ground Scale and Tunnel Burial Depth
4.2. Effects of Tunnel Leakage
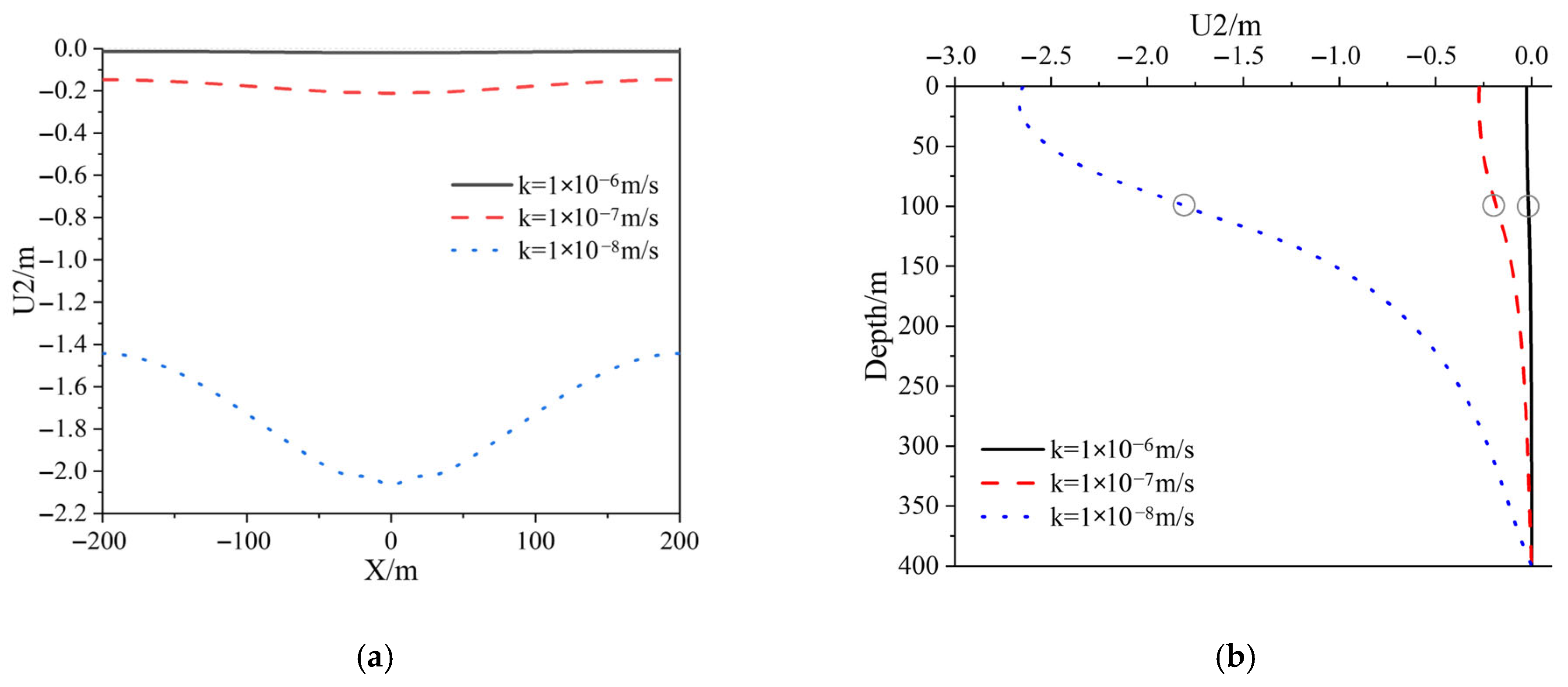
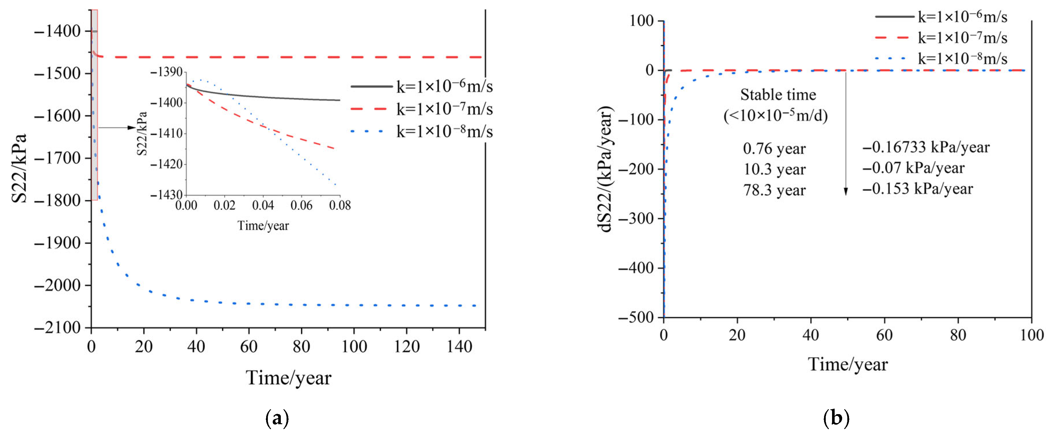
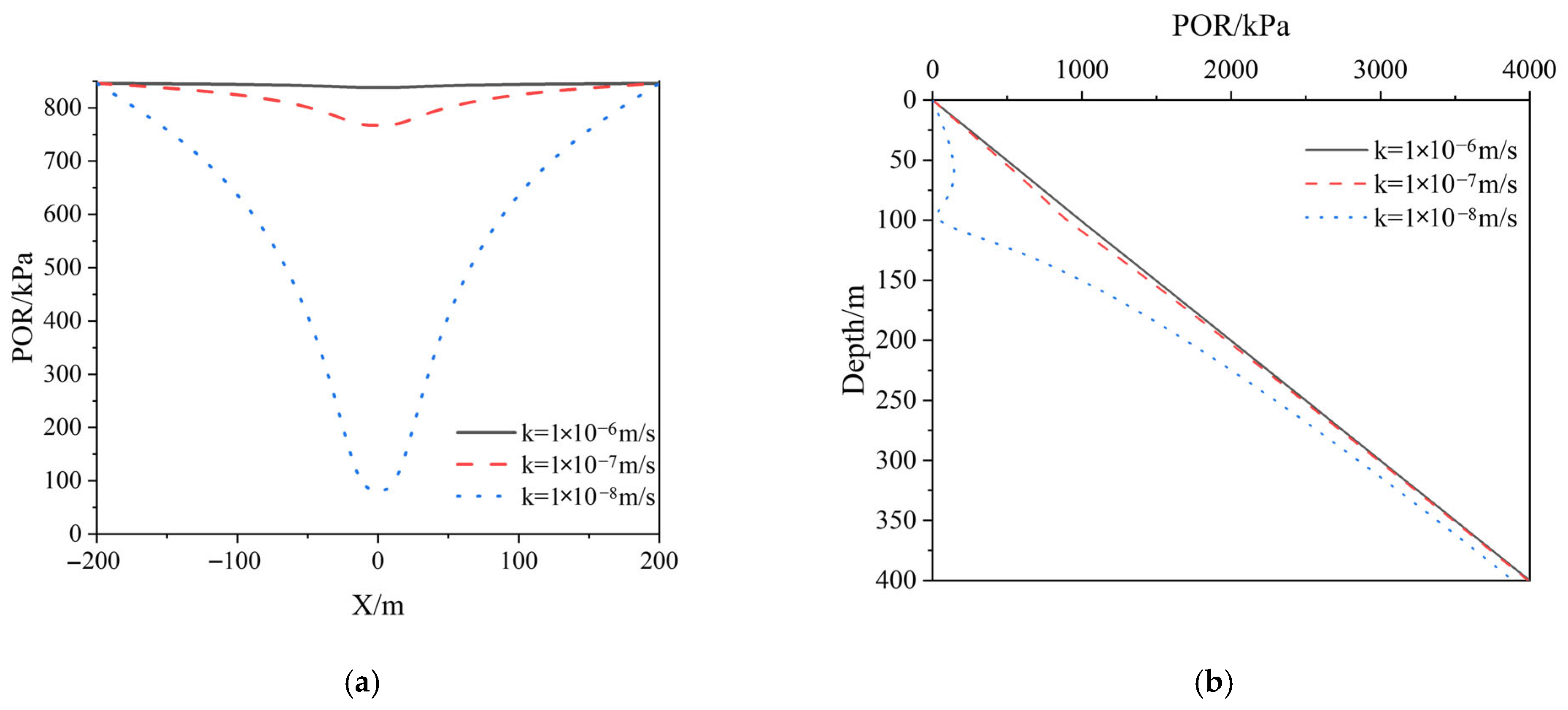
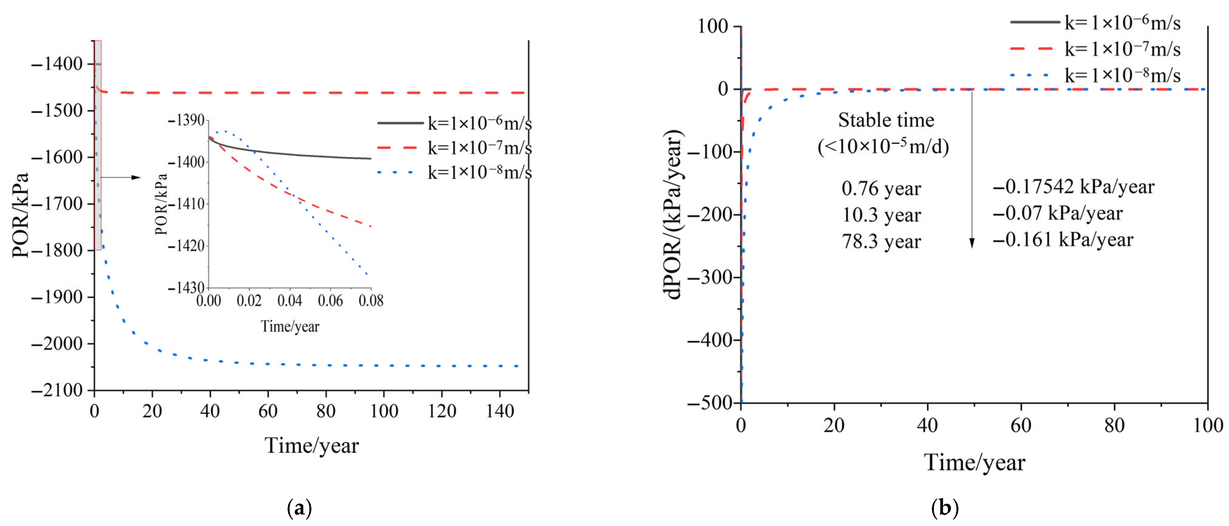
4.3. Effect of Soil Permeability Coefficient
5. Discussion
5.1. Long-Term Feedback Mechanism and Waterproofing Performance
5.2. Spatial and Temporal Characteristics of Consolidation
5.3. Limitations and Future Research
6. Conclusions
- (1)
- Tunnel leakage intensity plays a crucial role in determining the ground deformation mode. When the tunnel’s waterproofing meets or exceeds a second-grade standard, leakage is minimal, and surface settlement is mainly due to excavation unloading and tunnel deformation. However, when the waterproofing level deteriorates to Level 4, consolidation settlement becomes the dominant deformation mechanism.
- (2)
- The spatial characteristics of ground deformation are significantly influenced by the tunnel burial depth and the ground’s scale. Deeper tunnels and larger permeable layers increase pore pressure, stress disturbance, and drainage intensity, leading to more extensive and severe settlement in the ground.
- (3)
- The permeability of the ground has the greatest impact on long-term deformation. Low-permeability layers experience longer re-equilibration times. When the tunnel leakage rate approaches or exceeds the permeability of the surrounding strata, settlement and displacement increase significantly, requiring careful consideration of waterproofing measures.
Author Contributions
Funding
Institutional Review Board Statement
Informed Consent Statement
Data Availability Statement
Acknowledgments
Conflicts of Interest
References
- Lin, L.B.; Chen, F.Q.; Lu, Y.P.; Li, D.Y. Complex variable solutions for tunnel excavation at great depth in visco-elastic geomaterial considering the three-dimensional effects of tunnel advance. Appl. Math. Model. 2020, 82, 700–730. [Google Scholar] [CrossRef]
- Song, X.; Wu, H.N.; Meng, F.Y.; Chen, R.P.; Cheng, H.Z. Soil arching evolution caused by shield tunneling in deep saturated ground. Transp. Geotech. 2023, 40, 100966. [Google Scholar] [CrossRef]
- Lee, K.M.; Rowe, R.K. An analysis of three-dimensional ground movements: The Thunder Bay Tunnel. Can. Geotech. J. 1991, 28, 25–41. [Google Scholar] [CrossRef]
- Shen, S.L.; Horpibulsuk, S.; Liao, S.M.; Peng, F.L. Analysis of the behavior of DOT tunnel lining caused by rolling correction operation. Tunn. Undergr. Space Technol. 2009, 24, 84–95. [Google Scholar] [CrossRef]
- Shen, S.L.; Du, Y.J.; Luo, C.Y. Evaluation of the effect of double-o-tunnel rolling-correction via apply one-side block loading. Can. Geotech. J. 2010, 47, 1060–1070. [Google Scholar]
- Di, H.; Zhou, S.; Xiao, J.; Gong, Q.; Luo, Z. Investigation of the long-term settlement of a cut-and-cover metro tunnel in a soft deposit. Eng. Geol. 2016, 204, 33–40. [Google Scholar] [CrossRef]
- Meng, F.Y.; Chen, R.P.; Kang, X. Effects of tunneling-induced soil disturbance on the post-construction settlement in structured soft soils. Tunn. Undergr. Space Technol. 2018, 80, 53–63. [Google Scholar] [CrossRef]
- Jallow, A.; Ou, C.Y.; Lim, A. Three-dimensional numerical study of long-term settlement induced in shield tunneling. Tunn. Undergr. Space Technol. 2019, 88, 221–236. [Google Scholar] [CrossRef]
- Afshani, A.; Li, W.; Oka, S.; Itoh, Y.; Akagi, H. Study of the long-term behavior of segmented tunnels in cohesive soil based on the circumferential joint opening. Tunn. Undergr. Space Technol. 2021, 120, 104210. [Google Scholar] [CrossRef]
- Cao, L.Q.; Chen, X.S.; Lin, X.T.; Su, D.; Fang, H.C.; Lu, D.C. Analytical solutions for the restraint effect of isolation piles against tunneling-induced vertical ground displacements. J. Rock Mech. Geotech. Eng. 2023, 15, 2582–2596. [Google Scholar] [CrossRef]
- Cao, L.Q.; Chen, X.S.; Lu, D.C.; Zhang, D.L.; Su, D. Theoretical prediction of ground settlements due to shield tunneling in multi-layered soils considering process parameters. Undergr. Space 2024, 16, 29–43. [Google Scholar] [CrossRef]
- Broere, W.; Festa, D. Correlation between the kinematics of a tunnel boring machine and the observed soil displacements. Tunn. Undergr. Space Technol. 2017, 70, 125–147. [Google Scholar] [CrossRef]
- Broere, W.; Faassen, T.F.; Arends, G.; Van Tol, A.F. Modelling the boring of curves in (very) soft soils during microtunnelling. Tunn. Undergr. Space Technol. 2007, 22, 600–609. [Google Scholar] [CrossRef]
- Jin, H.; Yuan, D.; Zhou, S.; Zhao, D. Short-term and long-term displacement of surface and shield tunnel in soft soil: Field observations and numerical modeling. Appl. Sci. 2022, 12, 3564. [Google Scholar] [CrossRef]
- Jin, D.; Zhang, Z.; Yuan, D. Effect of dynamic cutterhead on face stability in EPB shield tunneling. Tunn. Undergr. Space Technol. 2021, 110, 103827. [Google Scholar] [CrossRef]
- Dang, B.; Weng, X.; Zhang, X.; Ye, F.; Li, X. Failure mechanism and support pressure of tunnel face in Saturated sandy shield tunnel under variable seepage. Tunn. Undergr. Space Technol. 2026, 168, 107212. [Google Scholar] [CrossRef]
- He, S.H.; Zhang, S.C.; Li, C.H.; Zhu, Z.P.; Liu, X.B.; Wang, D.H.; Liu, Y.P. Blowout control during EPB shield tunnelling in sandy pebble stratum with high groundwater pressure. Chin. J. Geotech. Eng. 2017, 39, 1583–1590. [Google Scholar]
- Liu, X.Y.; Yuan, D.J. Mechanical analysis of anti-buoyancy safety for a shield tunnel under water in sands. Tunn. Undergr. Space Technol. 2015, 47, 153–161. [Google Scholar] [CrossRef]
- Mao, J.H.; Yuan, D.J.; Jin, D.L.; Zeng, J.F. Optimization and application of backfill grouting material for submarine tunnel. Constr. Build. Mater. 2020, 265, 120281. [Google Scholar] [CrossRef]
- Qin, S.; Cheng, Y.; Zhou, W.H. State-of-the-art review on pressure infiltration behavior of bentonite slurry into saturated sand for TBM tunneling. Smart Constr. Sustain. Cities 2023, 1, 14. [Google Scholar] [CrossRef]
- Bian, X.C.; Zeng, E.X.; Chen, Y.M. Long-term settlements of soft soil ground induced by train traffic loadings. Rock Soil Mech. 2008, 29, 2990–2996. [Google Scholar]
- Shen, S.L.; Wu, H.N.; Cui, Y.J.; Yin, Z.Y. Long-term settlement behaviour of metro tunnels in the soft deposits of Shanghai. Tunn. Undergr. Space Technol. 2014, 40, 309–323. [Google Scholar] [CrossRef]
- Jin, H.; Yuan, D.; Jin, D.; Wu, J.; Wang, X.; Han, B.; Mao, J. Shield kinematics and its influence on ground settlement in ultra-soft soil: A case study in Suzhou. Can. Geotech. J. 2022, 59, 1887–1900. [Google Scholar] [CrossRef]
- Wang, J.; Tian, N.; Lin, G.; Feng, K.; Xie, H. Face failure of deep EPB shield tunnels in dry graded cobble-rich soil: A DEM study. Tunn. Undergr. Space Technol. 2024, 147, 105622. [Google Scholar] [CrossRef]
- Zhu, T.; Huang, F.; Li, S.; Ouyang, T.; Ying, J.; Zhao, H. Optimization of pre-grouting construction and evaluation of grouting effect in a deeply buried silt-filled shield tunnel. Tunn. Undergr. Space Technol. 2024, 152, 105902. [Google Scholar] [CrossRef]
- Chen, R.P.; Song, X.; Meng, F.Y.; Wang, H.L.; Liu, Y.; Wen, L. Experimental investigation on the soil arching effect induced by deep-buried shield tunneling. Tunn. Undergr. Space Technol. 2025, 155, 106161. [Google Scholar] [CrossRef]
- Chen, X.; Liu, L.; Ren, S.; Cheng, P.; Liu, M.; Liu, Y.; Chen, E.J. Physical modelling of face stability and ground settlement in EPB shield tunnelling incorporating dynamic cutterhead–soil interaction. Tunn. Undergr. Space Technol. 2026, 170, 107332. [Google Scholar] [CrossRef]
- Lin, J.; Tu, S.; Wang, S.; Li, W.; Zhang, C. Face stability analysis of horseshoe-shaped shield tunnels considering dynamic effects of composite cutterhead and screw conveyor. Tunn. Undergr. Space Technol. 2026, 167, 107065. [Google Scholar] [CrossRef]
- Bai, Q.; Xu, J.; Zhao, W.; Li, J.; Yang, Q.; Liu, H. Rheological experiment and transport simulation of conditioned soil in EPB shield tunneling through fully weathered granite strata. Tunn. Undergr. Space Technol. 2026, 172, 107548. [Google Scholar] [CrossRef]
- Xu, J.; Wu, X.; Huang, H.; Mao, Y. Experimental study of the pore pressure variation during EPB shield tunnelling in the saturated sand. Tunn. Undergr. Space Technol. 2025, 161, 106576. [Google Scholar] [CrossRef]
- Gangrade, R.; Grasmick, J.; Trainor-Guitton, W.; Mooney, M. Risk-based methodology to optimize geotechnical site investigations in tunnel projects. Tunn. Undergr. Space Technol. 2022, 127, 104589. [Google Scholar] [CrossRef]
- Gangrade, R. Quantifying Spatial Geotechnical Uncertainty to Advance the Practice of Risk Assessment and Decision-Making for Tunnel Projects. Ph.D. Thesis, Colorado School of Mines, Golden, CO, USA, 2021. [Google Scholar]
- GB/T 51438-2021; Standard for Design of Shield Tunnels. China Architecture & Building Press: Beijing, China, 2021.
- Huang, H.W.; Xu, L.; Yan, J.L. Effective transverse stiffness of shield tunnel linings. Chin. J. Geotech. Eng. 2006, 28, 11–18. [Google Scholar]
- He, L.; Jiang, Y. Influence factors on bending performance of large-diameter shield tunnel segments. Highw. Traffic Sci. Technol. 2022, 39, 102–109. [Google Scholar]
- GB 50108-2008; Code for Waterproofing of Underground Engineering. China Planning Press: Beijing, China, 2008.




























| Materials | Density (kg/m3) | Elastic Modulus (MPa) | Poisson’s Ratio | Permeability Coefficient (m/s) |
|---|---|---|---|---|
| Shield tunnel | 2400 | 34.5 × 103 | 0.2 | 1.77 × 10−11 |
| Grout layer | 2400 | 50 | 0.2 | 1.77 × 10−11 |
| Soil | 2000 | 20 | 0.3 | 1 × 10−6 (1 × 10−7; 1 × 10−8) |
| Seepage Control Requirements | Average Seepage Velocity (m/s) | Leakage Mode |
|---|---|---|
| Grade I | 0 | No leakage |
| Grade II | 5.78704 × 10−10 | Dampness/Moisture |
| Grade III | - | Minor leaks: 100 m2 waterproof area, no more than 7 leakage or damp spots, with each spot not exceeding 2.89 × 10−8 m3/s in leakage and 0.3 m2 in area. |
| Grade IV | 2.31481 × 10−8 | Numerous leakage points |
| Damage | 1.00 × 10−6 | Full circumference leakage, average seepage volume. |
| Conditions | Model Dimensions (m × m) | Tunnel Depth (m) | Tunnel Leakage Rate (m3/m2/s) | Soil Permeability Coefficient (m/s) | Simulation Time (Year) |
|---|---|---|---|---|---|
| 1 | 100 × 100 | 50 | 1 × 10−6 | 1.00 × 10−6 | 2 |
| 2 | 200 × 200 | 50 | 1 × 10−6 | 1.00 × 10−6 | 2 |
| 3 | 400 × 400 | 50 | 1 × 10−6 | 1.00 × 10−6 | 2 |
| 4 | 400 × 400 | 100 | 1 × 10−6 | 1.00 × 10−6 | 2 |
| 5 | 400 × 400 | 100 | 2.31481 × 10−8 | 1.00 × 10−6 | 2 |
| 6 | 400 × 400 | 100 | 5.78704 × 10−10 | 1.00 × 10−6 | 2 |
| 7 | 400 × 400 | 100 | 2.31481 × 10−8 | 1.00 × 10−7 | 150 |
| 8 | 400 × 400 | 100 | 2.31481 × 10−8 | 1.00 × 10−8 | 150 |
| Materials | Density (kg/m3) | Elastic Modulus (MPa) | Poisson’s Ratio | Permeability Coefficient (m/s) | Average Tunnel Seepage Velocity (m/s) | Simulation Time (Year) |
|---|---|---|---|---|---|---|
| High-permeability soil | 2000 | 20 | 0.3 | 1.00 × 10−6 | 2.31481 × 10−8 | 2 |
| Low-permeability soil | 2000 | 20 | 0.3 | 1.00 × 10−7 | 2.31481 × 10−8 | 150 |
| Impermeable soil | 2000 | 20 | 0.3 | 1.00 × 10−8 | 2.31481 × 10−8 | 150 |
Disclaimer/Publisher’s Note: The statements, opinions and data contained in all publications are solely those of the individual author(s) and contributor(s) and not of MDPI and/or the editor(s). MDPI and/or the editor(s) disclaim responsibility for any injury to people or property resulting from any ideas, methods, instructions or products referred to in the content. |
© 2026 by the authors. Licensee MDPI, Basel, Switzerland. This article is an open access article distributed under the terms and conditions of the Creative Commons Attribution (CC BY) license.
Share and Cite
Jin, H.; Wang, E.; Jin, D.; Xu, Z. Long-Term Interactive Response and Mechanisms Between Deep-Buried Shield Tunnels and the Surrounding Strata. Appl. Sci. 2026, 16, 3711. https://doi.org/10.3390/app16083711
Jin H, Wang E, Jin D, Xu Z. Long-Term Interactive Response and Mechanisms Between Deep-Buried Shield Tunnels and the Surrounding Strata. Applied Sciences. 2026; 16(8):3711. https://doi.org/10.3390/app16083711
Chicago/Turabian StyleJin, Hui, Enzhi Wang, Dalong Jin, and Zhen Xu. 2026. "Long-Term Interactive Response and Mechanisms Between Deep-Buried Shield Tunnels and the Surrounding Strata" Applied Sciences 16, no. 8: 3711. https://doi.org/10.3390/app16083711
APA StyleJin, H., Wang, E., Jin, D., & Xu, Z. (2026). Long-Term Interactive Response and Mechanisms Between Deep-Buried Shield Tunnels and the Surrounding Strata. Applied Sciences, 16(8), 3711. https://doi.org/10.3390/app16083711

