Valorization of Kinmen Peanut Skin, an Agro-Industrial By-Product: A Polyphenol- and Phytosterol-Rich Extract with Antioxidant and Hypolipidemic Effects in Hamsters
Abstract
1. Introduction
2. Materials and Methods
2.1. Materials and Reagents
2.2. Preparation of Peanut Skins (PSs) and Ethanolic Extract (PSE)
2.3. Hyperlipidemic Hamster Model and Experimental Design
2.4. Sample Collection and Serum Lipid Analysis
Derived Lipid Risk Indices and Descriptive Improvement Metrics
2.5. In Vitro Antioxidant Capacity Assays
2.5.1. DPPH Radical Scavenging Assay
2.5.2. ABTS Radical Cation Scavenging Assay
2.5.3. Reducing Power Assay
2.6. Proximate Composition, Total Phenolics, HPLC Phenolic Profiling, and Phytosterols
2.6.1. Proximate Analysis
2.6.2. Total Polyphenol Content (Folin–Ciocalteu)
2.6.3. HPLC Analysis of Selected Phenolic Compounds
2.6.4. Crude Phytosterol Content
2.7. Statistical Analysis
3. Results and Discussion
3.1. Hypolipidemic Effect of PSE in Hamsters Fed a Cholesterol/Fat-Enriched Diet
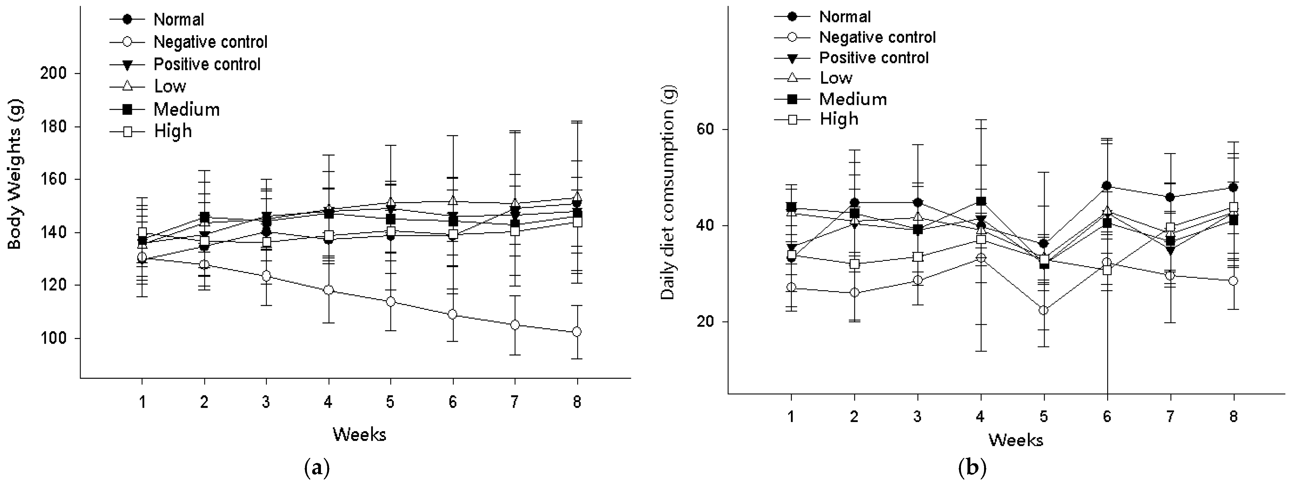
3.1.1. Growth Performance and Organ Indices
3.1.2. Diet-Induced Dyslipidemia and Lipid-Lowering Response to PSE
3.2. Antioxidant Capacity of PSE
3.3. Chemical Composition of PS and PSE (Proximate Composition, Phenolics, Phytosterols, and HPLC Profiling)
3.3.1. Proximate Composition of Peanut Skin (PS)
3.3.2. Total Phenolics and Phytosterols
3.3.3. HPLC Profiling and Linkage to Bioactivity
4. Conclusions
Author Contributions
Funding
Institutional Review Board Statement
Informed Consent Statement
Data Availability Statement
Conflicts of Interest
Abbreviations
| PS | Peanut Skin |
| PSE | Peanut Skin ethanolic Extract |
| NC | Negative Control |
| PC | Positive Control |
| AIP | Atherogenic Index of Plasma |
| CRI | Castelli risk index |
| TC | Total Cholesterol |
| LDL-C | Low-Density Lipoprotein Cholesterol |
| HDL-C | High-Density Lipoprotein Cholesterol |
References
- Rosales, T.K.O.; Fabi, J.P. Valorization of polyphenolic compounds from food industry by-products for application in polysaccharide-based nanoparticles. Front. Nutr. 2023, 10, 1144677. [Google Scholar] [CrossRef] [PubMed]
- Bekavac, N.; Krog, K.; Stanić, A.; Šamec, D.; Šalić, A.; Benković, M.; Jurina, T.; Gajdoš Kljusurić, J.; Valinger, D.; Jurinjak Tušek, A. Valorization of Food Waste: Extracting Bioactive Compounds for Sustainable Health and Environmental Solutions. Antioxidants 2025, 14, 714. [Google Scholar] [CrossRef] [PubMed]
- Putra, N.R.; Rizkiyah, D.N.; Yunus, M.A.C.; Abdul Aziz, A.H.; Md Yasir, A.S.H.; Irianto, I.; Jumakir, J.; Waluyo, W.; Suparwoto, S.; Qomariyah, L. Valorization of peanut skin as agricultural waste using various extraction methods: A review. Molecules 2023, 28, 4325. [Google Scholar] [CrossRef] [PubMed]
- Sobolev, V.C.; Cole, R.J. Note on utilisation of peanut seed testa. J. Sci. Food Agric. 2004, 84, 105–111. [Google Scholar] [CrossRef]
- Sorita, G.D.; Leimann, F.V.; Ferreira, S.R.S. Phenolic Fraction from Peanut (Arachis hypogaea L.) By-product: Innovative Extraction Techniques and New Encapsulation Trends for Its Valorization. Food Bioprocess Technol. 2023, 16, 726–748. [Google Scholar] [CrossRef]
- Yu, L.; Feng, S.; Song, Y.; Bi, J.; Gao, Y.; Wang, L.; Jiang, C.; Wang, M. Exploring the extraction, antioxidant activities and its stabilities of peanut skins crude proanthocyanidins extract. Sci. Rep. 2025, 15, 26274. [Google Scholar] [CrossRef]
- Chukwumah, Y.C.; Walker, L.T.; Verghese, M.; Bokanga, M.; Ogutu, S.; Alphonse, K. Comparison of extraction methods for the quantification of selected phytochemicals in peanuts (Arachis hypogaea). J. Agric. Food Chem. 2007, 55, 285–290. [Google Scholar] [CrossRef]
- Wang, J.; Yuan, X.; Jin, Z.; Tian, Y.; Song, H. Free radical and reactive oxygen species scavenging activities of peanut skins extract. Food Chem. 2007, 104, 242–250. [Google Scholar] [CrossRef]
- Xu, M.; Lv, C.; Wang, H.; Lu, Q.; Ye, M.; Zhu, X.; Liu, R. Peanut skin extract ameliorates high-fat diet-induced atherosclerosis by regulating lipid metabolism, inflammation reaction and gut microbiota in ApoE−/− mice. Food Res. Int. 2022, 154, 111014. [Google Scholar] [CrossRef]
- Miszczuk, E.; Bajguz, A.; Kiraga, Ł.; Crowley, K.; Chłopecka, M. Phytosterols and the Digestive System: A Review Study from Insights into Their Potential Health Benefits and Safety. Pharmaceuticals 2024, 17, 557. [Google Scholar] [CrossRef]
- Vekic, J.; Stromsnes, K.; Mazzalai, S.; Zeljkovic, A.; Rizzo, M.; Gambini, J. Oxidative Stress, Atherogenic Dyslipidemia, and Cardiovascular Risk. Biomedicines 2023, 11, 2897. [Google Scholar] [CrossRef] [PubMed]
- Ohara, Y.; Peterson, T.E.; Harrison, D.G. Hypercholesterolemia increases endothelial superoxide anion production. Clin. Res. J. 1993, 91, 2546–2551. [Google Scholar] [CrossRef] [PubMed]
- Robak, J.; Gryglewski, R.J. Flavonoids are scavengers of superoxide anions. Biochem. Pharmacol. 1988, 37, 837–841. [Google Scholar] [CrossRef] [PubMed]
- Huang, C.H.; Hsu, H.S.; Chiang, M.T. Influence of varied dietary cholesterol levels on lipid metabolism in hamsters. Nutrients 2024, 16, 2472. [Google Scholar] [CrossRef]
- Nepote, V.; Grosso, N.R.; Guzmán, C.A. Optimization of extraction of phenolic antioxidants from peanut skins. J. Sci. Food Agric. 2005, 85, 33–38. [Google Scholar] [CrossRef]
- Chemat, F.; Rombaut, N.; Sicaire, A.G.; Meullemiestre, A.; Fabiano-Tixier, A.S.; Abert-Vian, M. Ultrasound assisted extraction of food and natural products. Mechanisms, techniques, combinations, protocols and applications. A review. Ultrason. Sonochem. 2017, 34, 540–560. [Google Scholar] [CrossRef]
- Percie du Sert, N.; Hurst, V.; Ahluwalia, A.; Alam, S.; Avey, M.T.; Baker, M.; Browne, W.J.; Clark, A.; Cuthill, I.C.; Dirnagl, U.; et al. The ARRIVE guidelines 2.0: Updated guidelines for reporting animal research. PLoS Biol. 2020, 18, e3000410. [Google Scholar] [CrossRef]
- Reeves, P.G.; Nielsen, F.H.; Fahey, G.C., Jr. AIN-93 purified diets for laboratory rodents: Final report of the American Institute of Nutrition ad hoc writing committee on the reformulation of the AIN-76A rodent diet. J. Nutr. 1993, 123, 1939–1951. [Google Scholar] [CrossRef]
- Taiwan Food and Drug Administration. Health Food Evaluation Method for Blood Lipid Regulation; Announcement No. 0960403114; Ministry of Health and Welfare: Taiwan, China, 2022. Available online: https://www.fda.gov.tw/tc/includes/GetFile.ashx?id=f638055937628026543&type=1 (accessed on 12 January 2025).
- Taylor, J.R.; Lopez, L.M. Cholesterol: Point-of-care testing. Ann. Pharmacother. 2004, 38, 1252–1257. [Google Scholar] [CrossRef]
- Dobiásová, M. Atherogenic index of plasma [log(triglycerides/HDL-cholesterol)]: Theoretical and practical implications. Clin. Chem. 2004, 50, 1113–1115. [Google Scholar] [CrossRef]
- Dobiásová, M.; Frohlich, J.; Sedová, M.; Cheung, M.C.; Brown, B.G. Cholesterol esterification and atherogenic index of plasma correlate with lipoprotein size and findings on coronary angiography. J. Lipid Res. 2011, 52, 566–571. [Google Scholar] [CrossRef]
- Gaggini, M.; Gorini, F.; Vassalle, C. Lipids in Atherosclerosis: Pathophysiology and the Role of Calculated Lipid Indices in Assessing Cardiovascular Risk in Patients with Hyperlipidemia. Int. J. Mol. Sci. 2022, 24, 75. [Google Scholar] [CrossRef] [PubMed]
- Brand-Williams, W.; Cuvelier, M.E.; Berset, C. Use of a free radical method to evaluate antioxidant activity. LWT-Food Sci. Technol. 1995, 28, 25–30. [Google Scholar] [CrossRef]
- Re, R.; Pellegrini, N.; Proteggente, A.; Pannala, A.; Yang, M.; Rice-Evans, C. Antioxidant activity applying an improved ABTS radical cation decolorization assay. Free Radic. Biol. Med. 1999, 26, 1231–1237. [Google Scholar] [PubMed]
- Oyaizu, M. Studies on Products of Browning Reactions: Antioxidative Activities of Product of Browning Reaction Prepared from Glucosamine. Jpn. J. Nutr. 1986, 44, 307–315. [Google Scholar] [CrossRef]
- Valenzuela, C.; Abugoch, L.; Tapia, C.; Gamboa, A. Effect of alkaline extraction on the structure of the protein of quinoa (Chenopodium quinoa Willd.) and its influence on film formation. Int. J. Food Sci. Technol. 2013, 48, 843–849. [Google Scholar] [CrossRef]
- Singleton, V.L.; Rossi, J.A. Calorimetry of total phenolics with phosphotungstic acid reagents. Am. J. Enol. Vitic. 1965, 16, 144–158. [Google Scholar]
- Carden, T.J.; Hang, J.; Dussault, P.H.; Carr, T.P. Dietary Plant Sterol Esters Must Be Hydrolyzed to Reduce Intestinal Cholesterol Absorption in Hamsters. J. Nutr. 2015, 145, 1402–1407. [Google Scholar] [CrossRef]
- Deng, Q.; Yu, X.; Xu, J.; Kou, X.; Zheng, M.; Huang, F.; Huang, Q.; Wang, L. Single frequency intake of α-linolenic acid rich phytosterol esters attenuates atherosclerosis risk factors in hamsters fed a high fat diet. Lipids Health Dis. 2016, 15, 23. [Google Scholar] [CrossRef]
- Lin, Y.; He, C.; Liu, J.; Chung, H.Y.; Chen, Z.Y.; Wong, W.T. Houttuynia cordata Thunb. Extracts Alleviate Atherosclerosis and Modulate Gut Microbiota in Male Hypercholesterolemic Hamsters. Nutrients 2024, 16, 3290. [Google Scholar] [CrossRef]
- Berger, A.; Rein, D.; Kratky, E.; Monnard, I.; Hajjaj, H.; Meirim, I.; Piguet-Welsch, C.; Hauser, J.; Mace, K.; Niederberger, P. Cholesterol-lowering properties of Ganoderma lucidum in vitro, ex vivo, and in hamsters and minipigs. Lipids Health Dis. 2004, 3, 2. [Google Scholar] [CrossRef][Green Version]
- Weingand, K.W.; Daggy, B.P. Effects of dietary cholesterol and fasting on hamster plasma lipoprotein lipids. Eur. J. Clin. Chem. Clin. Biochem. J. Forum Eur. Clin. Chem. Soc. 1991, 29, 425–428. [Google Scholar] [CrossRef][Green Version]
- Oliveira, T.V.; Maniero, F.; Santos, M.H.; Bydlowski, S.P.; Maranhão, R.C. Impact of high cholesterol intake on tissue cholesterol content and lipid transfers to high-density lipoprotein. Nutrition 2011, 27, 713–718. [Google Scholar] [CrossRef]
- Okan, T.; Doruk, M.; Ozturk, A.; Topaloglu, C.; Dogdus, M.; Yilmaz, M.B. Evaluation of Plasma Atherogenic Index, Triglyceride-Glucose Index and Other Lipid Ratios as Predictive Biomarkers of Coronary Artery Disease in Different Age Groups. Diagnostics 2024, 14, 1495. [Google Scholar] [CrossRef]
- Scholz, S.; Williamson, G. Interactions affecting the bioavailability of dietary polyphenols in vivo. Int. J. Vitam. Nutr. Res. Int. Z. Vitam. Ernahrungsforschung J. Int. Vitaminol. Nutr. 2007, 77, 224–235. [Google Scholar] [CrossRef] [PubMed]
- Jodynis-Liebert, J.; Kujawska, M. Biphasic Dose-Response Induced by Phytochemicals: Experimental Evidence. J. Clin. Med. 2020, 9, 718. [Google Scholar] [CrossRef] [PubMed]
- Hu, S.; Fan, H.; Zhang, S.; Chen, C.; You, Y.; Wang, C.; Li, J.; Luo, L.; Cheng, Y.; Zhou, M.; et al. Association of LDL-C/HDL-C ratio with coronary heart disease: A meta-analysis. Indian Heart J. 2024, 76, 79–85. [Google Scholar] [CrossRef] [PubMed]
- Shimizu-Ibuka, A.; Udagawa, H.; Kobayashi-Hattori, K.; Mura, K.; Tokue, C.; Takita, T.; Arai, S. Hypocholesterolemic effect of peanut skin and its fractions: A case record of rats fed on a high-cholesterol diet. Biosci. Biotechnol. Biochem. 2009, 73, 205–208. [Google Scholar] [CrossRef]
- Bansode, R.R.; Randolph, P.; Hurley, S.; Ahmedna, M. Evaluation of hypolipidemic effects of peanut skin-derived polyphenols in rats on Western-diet. Food Chem. 2012, 135, 1659–1666. [Google Scholar] [CrossRef]
- Tamura, T.; Inoue, N.; Shimizu-Ibuka, A.; Tadaishi, M.; Takita, T.; Arai, S.; Mura, K. Serum cholesterol reduction by feeding a high-cholesterol diet containing a lower-molecular-weight polyphenol fraction from peanut skin. Biosci. Biotechnol. Biochem. 2012, 76, 834–837. [Google Scholar] [CrossRef]
- Bansode, R.R.; Randolph, P.; Ahmedna, M.; Williams, L.L.; Yu, J. Bioavailability and hypolipidemic effects of peanut skin polyphenols. J. Med. Food 2015, 18, 265–272. [Google Scholar] [CrossRef]
- Lin, X.; Ma, P.; Yang, C.; Wang, J.; He, K.; Chen, G.; Huang, W.; Fan, J.; Xian, X.; Wang, Y.; et al. Dietary-Induced Elevations of Triglyceride-Rich Lipoproteins Promote Atherosclerosis in the Low-Density Lipoprotein Receptor Knockout Syrian Golden Hamster. Front. Cardiovasc. Med. 2021, 8, 738060. [Google Scholar] [CrossRef]
- Chambers, K.F.; Day, P.E.; Aboufarrag, H.T.; Kroon, P.A. Polyphenol Effects on Cholesterol Metabolism via Bile Acid Biosynthesis, CYP7A1: A Review. Nutrients 2019, 11, 2588. [Google Scholar] [CrossRef] [PubMed]
- Sun, P.; Zhao, L.; Zhang, N.; Zhou, J.; Zhang, L.; Wu, W.; Ji, B.; Zhou, F. Bioactivity of Dietary Polyphenols: The Role in LDL-C Lowering. Foods 2021, 10, 2666. [Google Scholar] [CrossRef]
- de Camargo, A.C.; Regitano-d’Arce, M.A.B.; Rasera, G.B.; Canniatti-Brazaca, S.G.; do Prado-Silva, L.; Alvarenga, V.O.; Sant’Ana, A.S.; Shahidi, F. Phenolic acids and flavonoids of peanut by-products: Antioxidant capacity and antimicrobial effects. Food Chem. 2017, 237, 538–544. [Google Scholar] [CrossRef] [PubMed]
- Yen, G.; Duh, P. Scavenging effect of methanolic extracts of peanut hulls on free-radical and active-oxygen species. J. Agric. Food Chem. 1994, 42, 629–632. [Google Scholar]
- Chang, L.W.; Yen, W.J.; Huang, S.C.; Duh, P.D. Antioxidant activity of sesame coat. Food Chem. 2002, 78, 347–354. [Google Scholar] [CrossRef]
- Bodoira, R.M.; Rodríguez Ruiz, A.C.; Martínez, M.L.; Velez, A.R.; Ribotta, P.D.; Maestri, D.M. From by-product to natural antioxidant: Incorporation of peanut skin extract in mayonnaise and its effect on physico-chemical and sensory properties. Food Biosci. 2024, 61, 104680. [Google Scholar] [CrossRef]
- Ballard, T.S.; Mallikarjunan, P.; Zhou, K.; O’Keefe, S.F. Optimizing the extraction of phenolic antioxidants from peanut skins using response surface methodology. J. Agric. Food Chem. 2009, 57, 3064–3072. [Google Scholar] [CrossRef]
- Ballard, T.S.; Mallikarjunan, P.; Zhou, K.; O’Keefe, S. Microwave-assisted extraction of phenolic antioxidant compounds from peanut skins. Food Chem. 2010, 120, 1185–1192. [Google Scholar] [CrossRef]
- Wu, J.G.; Chen, K.; Zhang, X.Y. Extraction of peanut skin total polyphenols by microwave combined-assisted ethanol method. China Food Addit. 2010, 5, 103–106. [Google Scholar]
- Bodoira, R.; Cecilia Cittadini, M.; Velez, A.; Rossi, Y.; Montenegro, M.; Martínez, M.; Maestri, D. An overview on extraction, composition, bioactivity and food applications of peanut phenolics. Food Chem. 2022, 381, 132250. [Google Scholar] [CrossRef]
- Jiang, Y.H.; Li, X.; Niu, W.; Wang, D.L.; Wu, B.; Yang, C.H. β-sitosterol regulated microRNAs in endothelial cells against an oxidized low-density lipoprotein. Food Funct. 2020, 11, 1881–1890. [Google Scholar] [PubMed]
- Putra, N.R.; Yunus, M.A.C.; Ruslan, M.S.H.; Idham, Z.; Idrus, F.N. Comparison extraction of peanut skin between CO2 supercritical fluid extraction and soxhlet extraction in term of oil yield and catechin. Pertanika J. Sci. Technol. 2018, 26, 799–810. [Google Scholar]
- Chacko, S.M.; Thambi, P.T.; Kuttan, R.; Nishigaki, I. Beneficial effects of green tea: A literature review. Chin. Med. 2010, 5, 13. [Google Scholar] [CrossRef] [PubMed]
- Luceri, C.; Giannini, L.; Lodovici, M.; Antonucci, E.; Abbate, R.; Masini, E.; Dolara, P. p-Coumaric acid, a common dietary phenol, inhibits platelet activity in vitro and in vivo. Br. J. Nutr. 2007, 97, 458–463. [Google Scholar] [CrossRef]
- Srinivasan, M.; Sudheer, A.R.; Menon, V.P. Ferulic acid: Therapeutic potential through its antioxidant property. J. Clin. Biochem. Nutr. 2007, 4, 92–100. [Google Scholar] [CrossRef]
- Martinez, M.d.C.; Afonso, S.G.; Buzaleh, A.M.; Batlle, A. Protective action of antioxidants on hepatic damage induced by griseofulvin. Sci. World J. 2014, 2014, 982358. [Google Scholar] [CrossRef]
- Kyei, S.K.; Eke, W.I.; Abdul-Karim, H.; Darko, G.; Akaranta, O. Phytochemicals from peanut (Arachis hypogaea L.) skin extract with potential for pharmacological activity. Curr. Bioact. Compd. 2021, 17, 38–56. [Google Scholar] [CrossRef]
- Alasalvar, C.; Huang, G.; Bolling, B.W.; Jantip, P.A.; Pegg, R.B.; Wong, X.K.; Chang, S.K.; Pelvan, E.; de Camargo, A.C.; Mandalari, G.; et al. Upcycling commercial nut byproducts for food, nutraceutical, and pharmaceutical applications: A comprehensive review. Food Chem. 2025, 467, 142222. [Google Scholar] [CrossRef]



| Constituents | Percentage (%) | |||||
|---|---|---|---|---|---|---|
| Normal | Negative Control (NC) | Positive Control (PC) | Low Dosage | Medium Dosage | High Dosage | |
| Corn starch | 46.569 | 40.369 | 36.369 | 40.269 | 40.169 | 39.969 |
| Casein | 14.000 | 14.000 | 14.000 | 14.000 | 14.000 | 14.000 |
| Dextrinized corn starch | 15.500 | 15.500 | 15.500 | 15.500 | 15.500 | 15.500 |
| Sucrose | 10.000 | 10.000 | 10.000 | 10.000 | 10.000 | 10.000 |
| Soybean oil | 4.000 | 5.000 | 5.000 | 5.000 | 5.000 | 5.000 |
| Lard | - | 5.000 | 5.000 | 5.000 | 5.000 | 5.000 |
| Alphacel, non-nutritive bulk | 5.000 | 5.000 | 5.000 | 5.000 | 5.000 | 5.000 |
| AIN-93M-mineral mix | 3.500 | 3.500 | 3.500 | 3.500 | 3.500 | 3.500 |
| L-cystine | 0.180 | 0.180 | 0.180 | 0.180 | 0.180 | 0.180 |
| AIN-93M-vitamin mix | 1.000 | 1.000 | 1.000 | 1.000 | 1.000 | 1.000 |
| Choline bitartrate | 0.250 | 0.250 | 0.250 | 0.250 | 0.250 | 0.250 |
| Tert-butylhydroquinone | 0.001 | 0.001 | 0.001 | 0.001 | 0.001 | 0.001 |
| Cholesterol | - | 0.200 | 0.200 | 0.200 | 0.200 | 0.200 |
| β-sitosterol | - | - | 4.000 | - | - | - |
| Peanut skin extract (PSE) | - | - | - | 0.100 | 0.200 | 0.400 |
| Total | 100.000 | 100.000 | 100.000 | 100.000 | 100.000 | 100.000 |
| Normal | NC | PC | Low Dosage | Medium Dosage | High Dosage | |
|---|---|---|---|---|---|---|
| Body weight (g) | 151.0 ± 30.3 a | 102.3 ± 10.2 b | 147.9 ± 13.0 a | 153.3 ± 28.8 a | 146.3 ± 20.8 a | 144.0 ± 11.3 a |
| Liver weight (g) | 5.09 ± 1.92 a | 4.99 ± 1.21 a | 5.53 ± 0.99 a | 6.13 ± 1.21 a | 5.84 ± 1.05 a | 5.53 ± 0.98 a |
| Epididymal fat pad (g) | 2.59 ± 1.44 a | 1.25 ± 0.34 a | 2.28 ± 0.36 a | 2.70 ± 0.61 a | 2.36 ± 0.57 a | 2.21 ± 0.24 a |
| Perirenal fat pad (g) | 1.68 ± 0.87 a | 0.78 ± 0.20 a | 1.39 ± 0.21 a | 2.16 ± 0.55 a | 1.85 ± 0.57 a | 1.59 ± 0.35 a |
| Normal | NC | PC | Low | Medium | High | |
|---|---|---|---|---|---|---|
| AIP | 0.46 ± 0.26 a | 0.68 ± 0.18 a | 0.50 ± 0.14 a | 0.50 ± 0.11 a | 0.51 ± 0.13 a | 0.53 ± 0.12 a |
| CRI | 1.46 ± 0.26 a | 1.68 ± 0.18 a | 1.50 ± 0.14 a | 1.50 ± 0.11 a | 1.51 ± 0.13 a | 1.53 ± 0.12 a |
| LDL-C/HDL-C | 0.36 ± 0.09 ab | 0.56 ± 0.12 c | 0.35 ± 0.05 ab | 0.33 ± 0.04 a | 0.36 ± 0.03 ab | 0.42 ± 0.07 b |
| AIP improvement vs. NC (%) | - | - | 26.37 | 26.27 | 24.50 | 22.34 |
| CRI improvement vs. NC (%) | - | - | 10.65 | 10.61 | 9.90 | 9.03 |
| LDL-C/HDL-C improvement vs. NC (%) | - | - | 37.68 | 41.73 | 36.25 | 24.92 |
| Proximate Analysis (%) | ||||||||
|---|---|---|---|---|---|---|---|---|
| Fresh peanut skin (PS) | Water content | Ash | Crude protein | Crude fat | Dietary fiber contents | |||
| Water insoluble | Water soluble | Total | ||||||
| 6.81 ± 0.13 | 4.14 ± 0.02 | 17.94 ± 0.32 | 11.01 ± 0.85 | 48.58 ± 0.08 | 3.57 ± 0.36 | 52.15 ± 0.30 | ||
| PS ethanolic extract (PSE) | phenolic components contents (µg/g PS) | |||||||
| p-coumaric acid | Ferulic acid | Gallic acid | Chlorogenic acid | Daidzein | Catechin | Genistein | Resveratrol | |
| 48.29 ± 0.91 | 1.63 ± 0.06 | 6.18 ± 0.07 | 34.23 ± 0.76 | 0.29 ± 0.01 | 0.91 ± 0.01 | Not-detected | 19.36 ± 0.52 | |
| Crude phytosterol (µg β-sitosterol equivalent/g PS) | Total polyphenol contents (mg gallic acid equivalent/g PS) | |||||||
| 1098 ± 189 | 199.3 ± 4.6 | |||||||
Disclaimer/Publisher’s Note: The statements, opinions and data contained in all publications are solely those of the individual author(s) and contributor(s) and not of MDPI and/or the editor(s). MDPI and/or the editor(s) disclaim responsibility for any injury to people or property resulting from any ideas, methods, instructions or products referred to in the content. |
© 2026 by the authors. Licensee MDPI, Basel, Switzerland. This article is an open access article distributed under the terms and conditions of the Creative Commons Attribution (CC BY) license.
Share and Cite
Chung, C.-P.; Tsai, S.-H.; Lai, Y.-J.; Hsu, C.-Y.; Chang, C.-H.; Shi, B.-H.; Lee, M.-Y. Valorization of Kinmen Peanut Skin, an Agro-Industrial By-Product: A Polyphenol- and Phytosterol-Rich Extract with Antioxidant and Hypolipidemic Effects in Hamsters. Appl. Sci. 2026, 16, 3116. https://doi.org/10.3390/app16073116
Chung C-P, Tsai S-H, Lai Y-J, Hsu C-Y, Chang C-H, Shi B-H, Lee M-Y. Valorization of Kinmen Peanut Skin, an Agro-Industrial By-Product: A Polyphenol- and Phytosterol-Rich Extract with Antioxidant and Hypolipidemic Effects in Hamsters. Applied Sciences. 2026; 16(7):3116. https://doi.org/10.3390/app16073116
Chicago/Turabian StyleChung, Cheng-Pei, Shu-Hsien Tsai, Ying-Jang Lai, Ching-Yun Hsu, Chia-Hsin Chang, Bao-Hong Shi, and Ming-Yi Lee. 2026. "Valorization of Kinmen Peanut Skin, an Agro-Industrial By-Product: A Polyphenol- and Phytosterol-Rich Extract with Antioxidant and Hypolipidemic Effects in Hamsters" Applied Sciences 16, no. 7: 3116. https://doi.org/10.3390/app16073116
APA StyleChung, C.-P., Tsai, S.-H., Lai, Y.-J., Hsu, C.-Y., Chang, C.-H., Shi, B.-H., & Lee, M.-Y. (2026). Valorization of Kinmen Peanut Skin, an Agro-Industrial By-Product: A Polyphenol- and Phytosterol-Rich Extract with Antioxidant and Hypolipidemic Effects in Hamsters. Applied Sciences, 16(7), 3116. https://doi.org/10.3390/app16073116

