Next Article in Journal
Dual-Distillation Vision-Language Model for Multimodal Emotion Recognition in Conversation with Quantized Edge Deployment
Previous Article in Journal
AI-Enhanced IoT Mechatronic Platform for Assisted Mobility and Safety Monitoring in Small Dogs Based on Laser-Induced Graphene Contact Temperature Sensing
 
 
Font Type:
Arial Georgia Verdana
Font Size:
Aa Aa Aa
Line Spacing:
Column Width:
Background:
Article

Technological and Energy-Related Implications of Extending the Hydraulic Retention Time in a Rotating Electrobiological Disc Contactor (REBDC)

by
Joanna Rodziewicz
1,
Karolina Kłobukowska
1,
Kamil Bryszewski
2 and
Wojciech Janczukowicz
1,*
1
Department of Environment Engineering, University of Warmia and Mazury in Olsztyn, Warszawska St. 117a, 10-719 Olsztyn, Poland
2
Hanna Instruments Sp. z.o.o., Al. J. Piłsudskiego St. 73, 10-449 Olsztyn, Poland
*
Author to whom correspondence should be addressed.
Appl. Sci. 2026, 16(6), 3101; https://doi.org/10.3390/app16063101
Submission received: 10 February 2026 / Revised: 13 March 2026 / Accepted: 20 March 2026 / Published: 23 March 2026

Abstract

The removal of nitrogen and phosphorus from wastewater with low organic carbon content requires the addition of an external carbon source. The objective of this study was to assess the influence of hydraulic retention time (HRT) on the efficiency of external carbon source utilization and on nitrogen and phosphorus removal in a Rotating Electro-Biological Disc Contactor (REBDC). The energy demand was evaluated based on energy consumption (E) and current efficiency (CE). Hydroponic tomato wastewater was treated in the REBDC at a constant current density of 2.5 A/m2. Sodium acetate was used as the carbon source. Two C/N ratios were tested, 2.0 and 3.0, under HRT conditions of 24 h and 48 h. For both C/N ratios, extending the HRT resulted in decreased nitrogen removal efficiency. At HRT = 48 h and C/N = 3.0, the nitrogen concentration in the effluent was more than three times lower compared with C/N = 2.0. The highest phosphorus removal efficiency was achieved at C/N = 3.0 and HRT = 48 h (98.8%). Increasing the HRT led to reduced TOC utilization for both C/N ratios. As a consequence of extended HRT, lower CE values and higher E values were observed, indicating increased energy demand for nutrient removal.

1. Introduction

When wastewater contains insufficient biodegradable organic compounds relative to its nitrogen and phosphorus load, the implementation of biological denitrification and enhanced biological phosphorus removal requires the addition of an external carbon source [1]. The efficiency of heterotrophic denitrification in both biological and electro-biological systems depends not only on environmental conditions but also on the quantity and type of available organic carbon. This carbon may originate either from internal sources (organic matter naturally present in wastewater) or from externally supplied compounds. During denitrification, microorganisms oxidize organic substrates and use them as electron donors in the respiratory pathway.
Various external carbon sources have been applied in wastewater treatment, including acetic acid, citric acid, methanol, ethanol, molasses, starch, acetone, alanine, casein, citrates, glucose, glycol, acetates, and industrial by-products from the agri-food sector [2].
In reactors containing suspended biomass, complete denitrification can be achieved at an organic-matter-to-nitrogen ratio of approximately 2.3 mg BOD5 per mg NO3–N. Typically, about 4–5 mg COD is required to reduce 1 mg NO3–N to N2. When methanol is used as the carbon source, the requirement decreases to approximately 2.5 mg methanol per mg NO3–N, including biomass synthesis [3]. In systems using acetic acid as a substrate, the reduction of 1 mg nitrate generally requires 3.0–4.0 mg COD. Substrate consumption rates expressed as volatile fatty acids (VFA) per unit of biomass range from 0.07 mg VFA/(g MLVSS·d) at C/N ratios below 2 to 0.26 mg VFA/(g MLVSS·d) when C/N exceeds 2 [4].
In electro-biological systems where hydrogenotrophic denitrification occurs, the theoretical carbon demand is considerably lower. For each 1 mg of NO3–N reduced to nitrogen gas, only 0.20 mg C in the form of bicarbonate or 0.12–0.21 mg C as carbon dioxide is required, enabling complete hydrogenotrophic denitrification under favorable conditions [5].
Despite these low theoretical requirements, experimental studies indicate that carbon availability rarely limits microbial acclimation when supplied in sufficient quantities. However, excessively high C/N ratios may lead to nitrite (NO2) accumulation or the formation of intermediate nitrogen compounds, whereas insufficient carbon results in incomplete denitrification [6]. A C/N ratio of 7.85 mg C/mg N has been reported to ensure complete denitrification, while complete removal of nitrate and nitrite was achieved at a mass ratio of 0.504 mg C/mg N [7].
Compared with nitrogen removal, the influence of additional organic carbon on phosphorus removal efficiency is considerably weaker. High C/N ratios may even reduce biological phosphorus removal due to the proliferation of glycogen-accumulating organisms (GAO), which compete with phosphorus-accumulating organisms (PAO) for available carbon but do not contribute to phosphorus storage [8].
Excessive carbon dosing may also negatively affect effluent quality. Systems receiving external carbon inputs may exhibit elevated concentrations of BOD5, COD, TC, TOC, and DOC in the treated effluent. Although additional carbon may enhance nitrogen and phosphorus removal, it may simultaneously increase the concentration of residual organic matter relative to the influent wastewater [9].
Extending the hydraulic retention time (HRT) may improve the utilization efficiency of externally supplied carbon in both biological and electro-biological reactors. Longer HRT increases the duration of biochemical and electrochemical reactions, facilitates biofilm stabilization, maintains favorable redox conditions, and enhances denitrification, nitrate electroreduction, and biological phosphorus removal. However, in systems containing both biofilm and suspended biomass, prolonged HRT may also promote secondary processes that limit complete carbon oxidation, resulting in residual organic compounds in the effluent [10,11].
Previous studies conducted by the authors on a biological rotating biological disc contactor (RBDC) and an electro-biological rotating biological disc contactor (REBDC) treating wastewater from hydroponic tomato cultivation (operated at a current density of J = 2.5 A/m2) indicated that extending HRT could improve nitrogen removal efficiency and enhance the utilization of external carbon sources [10,11]. Increasing current density was considered unfavorable because it would significantly increase both operational and capital costs [12]. These studies also suggested that maintaining the C/N ratio within the range of 2.0–3.0 ensures high nitrogen removal efficiency while simultaneously supporting effective phosphorus removal [9].
In reactors operating under an applied electric current, such as the REBDC system, it is necessary to evaluate the effect of HRT not only on nitrate removal but also on current efficiency (CE), which is a key indicator of denitrification performance in bio-electrochemical systems. CE represents the fraction of the supplied electrical current effectively used for hydrogen generation, which serves as the electron donor in hydrogenotrophic denitrification [13]. Previous research has shown that inadequate HRT or inappropriate current settings may significantly reduce CE, mainly due to hydrogen losses caused by insufficient contact between the produced hydrogen and the active biofilm. At the same time, energy consumption (E) reflects the specific energy demand associated with phosphorus removal via electrocoagulation occurring in the REBDC reactor [13,14]. Consequently, although increasing HRT may enhance nutrient removal through more efficient carbon utilization, it may also lead to increased energy demand and lower current efficiency.
Against this background, the present study investigates the role of extended hydraulic retention time in improving the performance of an electro-biological rotating biological disc contactor treating wastewater from soilless tomato cultivation. The novelty of this research lies in the integrated evaluation of prolonged HRT as a strategy to enhance external carbon utilization in the REBDC system, thereby improving nutrient removal efficiency while simultaneously assessing the associated energy implications of this operational modification. Unlike previous studies, which primarily focused on reactor performance under fixed operational conditions, this work specifically examines how extended HRT influences the optimization of biological processes, particularly with respect to the effective use of externally supplied carbon.
The study involved determining the removal efficiencies of nitrogen, phosphorus, and carbon in an REBDC reactor operated at a direct current density of 2.5 A/m2 and supplemented with an external carbon source. The results were compared with those obtained in a conventional RBDC reactor. Additionally, the effect of prolonged HRT on energy consumption during denitrification and phosphorus removal was evaluated by calculating energy consumption (E) and current efficiency (CE) at HRT values of 24 h and 48 h.
The experiments were conducted using wastewater from soilless tomato cultivation characterized by low organic carbon content and elevated concentrations of nitrogen and phosphorus. Due to the low initial C/N ratio, sodium acetate was added as an external carbon source to achieve C/N ratios of 2.0 and 3.0. The electro-biological reactor was operated at a constant direct current density of 2.5 A/m2.

2. Materials and Methods

Effluent from hydroponic tomato cultivation on mineral wool substrate operated in an open-loop system was used in this study. The cultivation facility was located in Legajny, Poland. The wastewater was collected during the plant growth phase and stored at 4 °C to minimize biological activity and maintain stable influent wastewater parameters throughout the three-month experimental period. The composition of raw wastewater used in the study is presented in Table 1.
Physicochemical analyses of raw and treated wastewater were performed on filtered samples.
Samples of the influent and the effluent were collected daily and analyzed for the following parameters:
  • COD: dichromate method [15];
  • TN: persulfate digestion followed by UV–spectrophotometric detection [16];
  • NO3: ion chromatography [17];
  • TP: molybdenum blue spectrophotometric method [18];
  • EC: conductometric method [19].
TOC, TC, IC, and TN concentrations were measured using a TOC-L CPH/CPN analyzer (Shimadzu, Kyoto, Japan) employing oxidative combustion–infrared detection for carbon and combustion–chemiluminescence for nitrogen. Additional physicochemical parameters were measured using a UV-VIS DR 5000 spectrophotometer (HACH Lange, Düsseldorf, Germany) with standard cuvette test procedures for total phosphorus (TP) (LCK 348–350), ammonium nitrogen (NH4+–N), and nitrites (NO2–N) (LCK 303 and LCK 342) and using a VWR UV-3100PC Spectrophotometer (VWR International, Shanghai, China), with a colorimetric method, for nitrates; chemical oxygen demand (COD; titrimetric method) was measured using a Gerhardt KI 16 (Königswinter, Germany) laboratory heater—with a dichromate method. Electrical conductivity, pH, and temperature were monitored using a CX-461 multiparameter meter (Elmetron, Zabrze, Poland).
The wastewater exhibited a low carbon-to-nitrogen ratio (C/N), with more than 99% of total nitrogen present in the form of nitrate (Table 1).
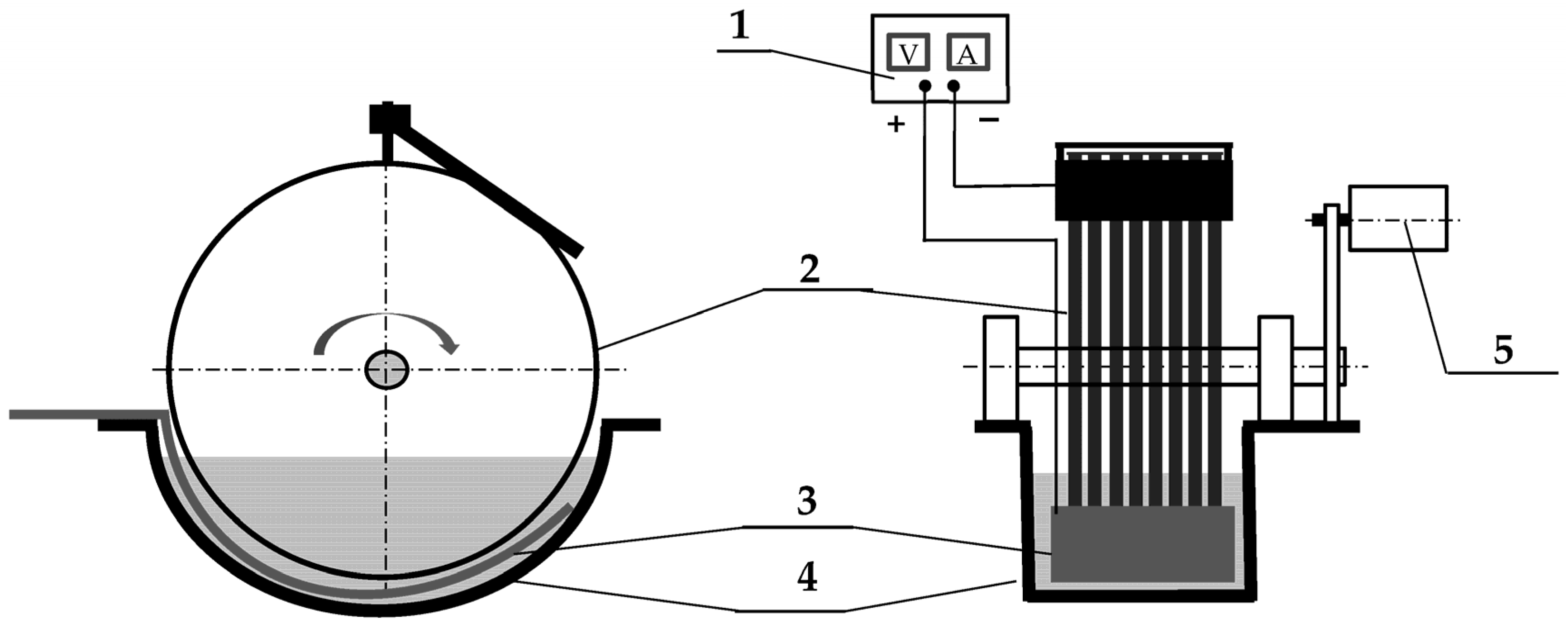
The treatment trials were performed using laboratory-scale Rotating Biological Disc Contactor (RBDC) and Rotating Electro-Biological Disc Contactor (REBDC), with four parallel units of each type. Each reactor contained eight discs with a diameter of 22 cm, providing a total active surface area of 0.56 m2. The discs were immersed to 40% of their diameter in the liquid phase. The working liquid volume of each unit was 2.0 L, and the rotation speed was maintained at 10 rpm (Figure 1).
In the REBDC, aluminum plate electrodes mounted on the reactor walls served as the anode, while stainless steel discs served as the cathode. A programmable DC power supply (HANTEK PPS2116A, Qingdao, China) provided a constant current density of 2.5 A/m2. Sodium acetate was dosed to wastewater to maintain C/N ratios of 2.0 and 3.0. Activated sludge (MLSS 4 g/L) collected from the denitrification zone of a municipal wastewater treatment plant in Olsztyn was used as inoculum. A four-week acclimation period was applied, after which the reactors operated for an additional two months. During the steady-state period samples were collected 4 times a week, and 24 analytical results per operating condition were used to calculate mean values. Experimental conditions included hydraulic retention times of 24 h and 48 h at a controlled temperature of 20–22 °C. A schematic of the experimental setup is presented in Figure 2.
The research results obtained were subjected to statistical analysis in order to organize the data and assess the nature of their distribution. In the first phase, the arithmetic mean was calculated as a measure of the tendency, which allows the average level of the analyzed characteristic to be determined. The standard deviation was then calculated to assess the degree of variability of the results and their dispersion around the mean. Significant differences between variants were evaluated using one-way ANOVA.
The efficiency of hydrogenotrophic denitrification was calculated using Equation (1) [20]:
C E = ( ( C NO 3 in C NO 3 eff ) 5 C NO 2 eff 3 ) 14 I 26.8 Q 1000 100 %
where
C N O 3 i n —nitrate concentration in the influent (mg N/L);
C N O 3 e f f —nitrate concentration in the effluent (mg N/L);
C N O 2 e f f —nitrite concentration in the effluent (mg N/L);
Q—flow rate (mL/h);
I—current applied in the reactor (mA);
5—number of electrons required for the reduction of NO3-;
3—number of electrons required for the reduction of NO2-;
14—molar mass of nitrogen g/mol;
26.8—Faraday constant expressed in Ah/mol.
Energy consumption associated with phosphorus removal via electrocoagulation was calculated using Equation (2) [21]:
E = U · I · t ( C P i n C P e f f ) · V ( k W h / g   p h o s p h o r u s   r e m o v e d )
where
U—cell voltage (V);
I—current applied in the reactor (A);
t—electrocoagulation time (h);
CPin—phosphorus compounds concentration in the influent (mg P/L);
CPeff—phosphorus compounds concentration in the effluent (mg P/L);
V—treated wastewater volume (L).

3. Results and Discussion

3.1. pH

The initial pH of the influent wastewater was 7.69 ± 0.37, which reflected the hydroponic nutrient composition and the additives used during the cultivation period. The measured value was consistent with previously reported ranges for similar wastewater types [10,11]. During treatment, an increase in pH was observed in both reactors (Figure 3), and similar growth patterns were noted regardless of operational conditions. Extending the HRT contributed to a higher pH in both the biological and electro-biological systems, with consistently higher values recorded in the REBDC. Additionally, higher C/N ratios resulted in elevated pH levels compared with those obtained at C/N = 2.0, confirming trends reported earlier by Rodziewicz et al. [9].
In all cases, the pH of the effluent became alkaline, exceeding 9.2. The highest values were recorded in the REBDC, reaching 9.63 ± 0.09 and 9.81 ± 0.11 at HRT = 48 h for C/N ratios of 2.0 and 3.0, respectively. In the RBDC, the highest effluent pH values were 9.36 ± 0.21 and 9.45 ± 0.09, both observed at C/N = 3.0 and HRT = 48 h.
The pH value was primarily influenced by sodium acetate addition, which is alkaline and was supplied to achieve the target C/N ratio. Therefore, wastewater supplemented to C/N = 2.0 initially exhibited lower pH than wastewater at C/N = 3.0 immediately after dosing. Subsequent differences between RBDC and REBDC pH values resulted from reactor-specific biochemical and electrochemical processes.
In the RBDC, the pH increase was attributed to heterotrophic denitrification, where conversion of one mole of NO3 results in the formation of one mole of OH, elevating alkalinity. Additionally, the biochemical reduction of nitrate to gaseous nitrogen contributes to increased pH [12].
In the REBDC, the same biological processes occurred; however, additional mechanisms further elevated pH. Electrolysis of water generated OH ions at the cathode, increasing alkalinity, and hydrogenotrophic denitrification consumed one mole of H+ per mole of NO2 reduced to N2 gas. This reaction increases the system’s alkalinity by approximately one equivalent of base per equivalent of nitrogen removed, corresponding to 3.57 mg CaCO3 per mg N [12].
In both reactors, extending HRT from 24 h to 48 h resulted in higher effluent pH values, with the effect more pronounced in the REBDC due to cathodic OH generation, a process absent in the RBDC [9,12].

3.2. Electrical Conductivity (EC)

Electrical conductivity is a parameter commonly used to assess the concentration of dissolved nutrients in hydroponic solutions. During the experiment, the EC of the raw wastewater averaged 5.60 mS/cm (Figure 4), which was slightly higher than typical values reported in the literature. Standard EC values for hydroponic nutrient solutions range from 1.5 to 4.5 mS/cm [10].
EC values measured in the biological reactor were higher than those observed in the electro-biological reactor for both C/N ratios. Extending the hydraulic retention time contributed to an increase in EC in the effluent from both the RBDC and REBDC. At C/N = 2.0, EC values in the RBDC were 9.07 ± 0.31 and 11.46 ± 0.24 mS/cm for HRT = 24 h and 48 h, respectively, while corresponding values in the REBDC were 8.01 ± 0.54 and 9.37 ± 0.13 mS/cm. When a higher carbon dose was applied (C/N = 3.0), the EC values increased further, reaching 11.32 ± 0.45 and 15.09 ± 0.38 mS/cm for the RBDC and 10.71 ± 0.63 and 12.46 ± 0.24 mS/cm for the REBDC at HRT = 24 h and 48 h, respectively.
These results demonstrate that EC increased with higher organic substrate doses in both reactors. The change was influenced by the addition of sodium acetate, which is a strong electrolyte with high conductivity, as well as by biological and electrochemical reactions occurring simultaneously, including heterotrophic denitrification, hydrogenotrophic denitrification, and electrochemical nitrate reduction, which reduce nitrate concentrations in the treated wastewater [22].
Nitrogen removal via denitrification in the REBDC contributes to a reduction in solution conductivity [23]. Previous findings confirmed that lower EC values in effluent from electro-biological systems result from the higher denitrification efficiency and lower residual nitrogen concentration compared with biological systems [9].
Therefore, the lower EC values recorded in the REBDC effluent were most likely associated with more efficient nitrate removal and consequently lower nitrogen concentrations in the treated wastewater [24].

3.3. Total Nitrogen (TN)

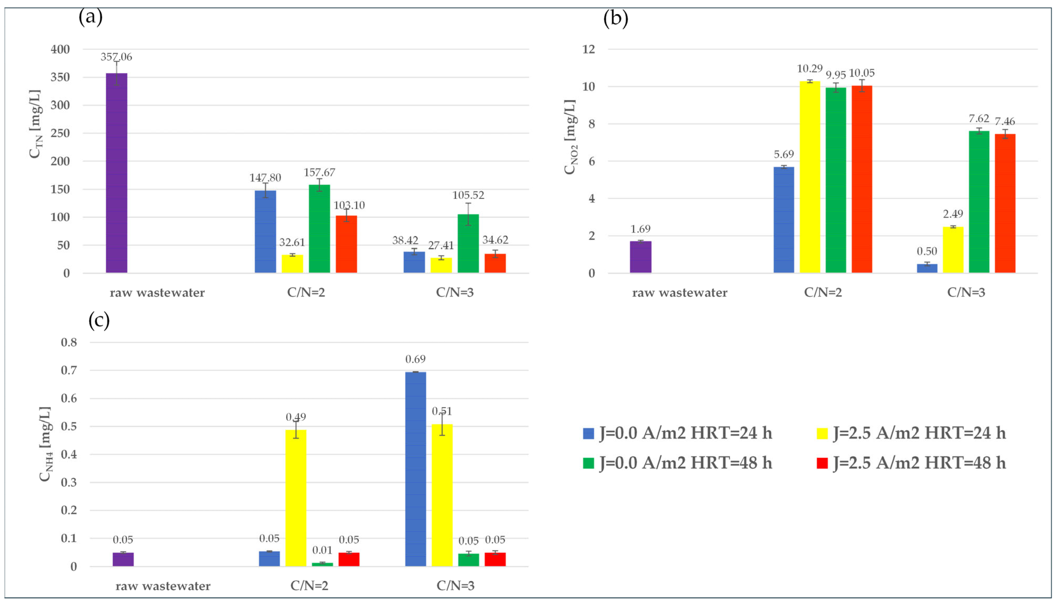
Nitrogen removal efficiency in the electro-biological reactor was higher than in the biological reactor for both applied C/N ratios (Figure 5a). This trend is reflected in the effluent nitrogen concentrations. At C/N = 2.0 and HRT = 24 h, the effluent TN concentration from the RBDC was 147.80 ± 13.2 mg N/L, whereas in the REBDC it was significantly lower at 32.61 ± 2.3 mg N/L, corresponding to nitrogen removal efficiencies of 58.6% and 90.9%, respectively. Extending the HRT to 48 h resulted in decreased nitrogen removal efficiency in both systems, reaching 55.9% in the RBDC and 71.1% in the REBDC, with effluent concentrations of 157.67 ± 11.3 mg N/L and 103.10 ± 10.9 mg N/L, respectively.
At C/N = 3.0 and HRT = 24 h, effluent TN concentrations were 38.42 ± 5.65 mg N/L for the RBDC and 27.41 ± 3.70 mg N/L for the REBDC. Under these conditions, both reactors demonstrated substantially higher nitrogen removal efficiencies than at C/N = 2.0, reaching 89.4% in the RBDC and 92.3% in the REBDC. Given an influent TN concentration of 357.06 ± 21.2 mg N/L, these results confirm that at C/N = 3.0 and HRT = 24 h, removal efficiencies approaching 90% can be achieved, with the electro-biological configuration performing slightly better.
Increasing the amount of external organic carbon was therefore an effective operational strategy, even though the initial nitrogen and phosphorus concentrations in the wastewater were lower than those reported in earlier research [9]. In the RBDC, nitrogen removal resulted from heterotrophic denitrification and assimilation by biofilm microorganisms. In contrast, nitrogen removal in the REBDC was additionally supported by hydrogenotrophic denitrification and electrochemical nitrate reduction, processes characteristic of systems with direct current application. These findings are consistent with previously reported work by Rodziewicz et al. [24] and Chen et al. [25].
The efficiency of hydrogenotrophic denitrification is influenced by wastewater pH, with an optimal range of 7.6–8.6 [25]. However, denitrifying microorganisms may have varying pH tolerance ranges depending on microbial composition [26]. In electro-biological reactors, pH increases due to both biological denitrification and electrochemical reactions, resulting in elevated alkalinity. This condition promotes nitrite accumulation and may inhibit the rate of further nitrate removal. Additionally, nitrite formation is a known intermediate of electrochemical nitrate reduction [23]. In the biological reactor, increased nitrite concentrations may also result from limited diffusion of acetate into deeper biofilm layers, where the final reduction step from NO2 to N2 occurs [23,27]. This effect was less pronounced in the REBDC, likely due to the release of gaseous electrochemical reaction products, which enhanced mass transfer within the biofilm [12].
At the same C/N ratio (3.0) and extended HRT of 48 h, effluent TN concentrations increased in both systems, reaching 105.5 ± 19.8 mg N/L in the RBDC and 34.6 ± 6.80 mg N/L in the REBDC. In the biological reactor, this value was 2.7 times higher than at HRT = 24 h, whereas in the electro-biological reactor the increase was only 1.26-fold. Notably, at C/N = 3.0 and HRT = 48 h, effluent TN in the REBDC was more than three times lower than at the same HRT with C/N = 2.0. These results suggest that extending the HRT in the electrobiological reactor may be technologically justified, as it appears to enhance nitrogen removal efficiency, provided that an adequate supply of organic carbon is maintained, as observed at a C/N ratio of 3.0.

3.4. Nitrites and Ammonium Nitrogen

The results indicate that nitrite accumulation occurred during treatment in both the biological and electro-biological reactors at C/N = 2.0 (Figure 5b). Nitrite concentrations increased from an initial 1.69 ± 0.09 mg NO2N/L to 5.69 ± 0.08 mg NO2N/L and 9.95 ± 0.25 mg NO2N/L in the effluent from the RBDC at HRT values of 24 h and 48 h, respectively. In the REBDC, nitrite concentrations were higher and reached 10.29 ± 0.08 mg NO2N/L and 10.05 ± 0.32 NO2N/L at the same HRT conditions. While nitrite accumulation increased markedly with HRT extension in the biological reactor, the concentrations in the REBDC remained relatively consistent, suggesting that HRT had limited influence on nitrite accumulation in the electro-biological system.
At C/N = 3.0, nitrite concentrations decreased during treatment in the RBDC at HRT = 24 h—from 1.69 ± 0.07 mg NO2N/L in raw wastewater to 0.5 ± 0.1 NO2N/L in the effluent. However, extending HRT to 48 h resulted in a notable increase to 7.62 ± 0.16 mg NO2N/L. A similar trend occurred in the REBDC, where nitrite concentrations increased from 2.49 ± 0.06 mg NO2N/L at HRT = 24 h to 7.46 ± 0.16 mg NO2N/L at HRT = 48 h. At C/N = 3.0, nitrite accumulation in the REBDC effluent was lower than at C/N = 2.0, indicating that additional carbon improved reduction beyond the nitrite stage. At the same time, HRT extension produced a clearer difference in nitrite levels between 24 h and 48 h compared with C/N = 2.0.
In previous studies [9], an increase in nitrite concentration was observed in both reactors when higher substrate doses were applied, which also altered pH conditions. It should be noted that the raw wastewater used in the earlier research had a significantly higher influent nitrogen concentration (609.98 ± 11.52 mg NO2N/L), along with higher acetate dosing. As a result, nitrite concentrations in the effluent reached 12.8 and 29.6 NO2N/L in the biological reactor and 34.4 and 43.5 mg NO2N/L in the electro-biological reactor at C/N = 2.0 and 3.0, respectively. In the present work, influent nitrogen levels were lower (357.0 ± 1.69 mg NO2N/L), and the amount of carbon added was reduced accordingly. As a result, nitrite concentrations in the effluent did not exceed 11.0 mg NO2N/L for C/N = 2.0 and 8.0 mg NO2N/L for C/N = 3.0.
The accumulation of nitrite observed in the REBDC system may be partially explained by the elevated effluent pH values, which exceeded 9 under certain operating conditions. Such alkaline conditions can directly affect denitrification kinetics, particularly the activity of nitrite-reducing enzymes (e.g., nitrite reductase), whose optimal performance typically occurs at near-neutral pH. At pH values above 9, enzymatic activity may be reduced, leading to slower nitrite conversion to nitrogen gas and, consequently, its accumulation in the effluent. Therefore, in addition to the possible contribution of electrochemical intermediates, the increase in pH should be considered an important operational factor influencing nitrogen transformation pathways in the REBDC system. Nitrite accumulation may also result from oxygen stratification within the biofilm, creating anoxic microzones with limited access to electron donors. Under such conditions, nitrate reduction may halt at the nitrite stage rather than proceed to nitrogen gas [27].
Ammonium nitrogen was detected in the effluent of both reactors at very low concentrations, below 1.0 mg NH4N/L (Figure 5c). The highest concentration (0.69 ± 0.01 mg NH4N/L) occurred in the RBDC at C/N = 3.0 and HRT = 24 h, while the lowest concentration (0.01 ± 0.03 mg NH4N/L) was recorded in the same reactor at C/N = 2.0 and HRT = 48 h. At C/N = 2.0, higher ammonium concentrations occurred at the shorter HRT, while the opposite trend was observed at C/N = 3.0. At HRT = 48 h, ammonium concentrations in both reactors were approximately ten times lower than at HRT = 24 h.
In the REBDC, extending HRT resulted in lower ammonium concentrations for both C/N ratios, with similar trends observed in the RBDC. The presence of ammonium in the effluent may be attributed to biofilm decay and mineralization of organic nitrogen. Over prolonged retention periods, aging biofilm and autolysis may enhance ammonium release, potentially exceeding its biochemical oxidation rate [28,29].

3.5. Total Phosphorus (TP)

Phosphorus removal in the electro-biological reactor occurred primarily through electrocoagulation, followed by incorporation of phosphorus into biofilm biomass and enhanced biological phosphorus removal (EBPR) driven by phosphorus-accumulating organisms (PAOs). In the biological reactor, the decrease in phosphorus concentration resulted mainly from biomass growth and phosphorus uptake by PAOs [8,9].
The influent contained 11.06 ± 0.89 mg P/L. In the biological reactor, phosphorus concentrations decreased to 7.23 ± 0.23 mg P/L at C/N = 2.0 and to 7.58 ± 0.39 mg P/L at C/N = 3.0 (Figure 6), corresponding to biological phosphorus removal efficiencies of 37.7% and 34.7%, respectively. Increasing the external carbon dose was associated with lower biological phosphorus removal efficiency. When HRT was extended to 48 h, phosphorus removal efficiency in the RBDC increased at C/N = 2.0, as evidenced by the reduced effluent concentration (6.98 ± 0.54 mg P/L vs. 7.23 ± 0.23 mg P/L for HRT = 48 h and 24 h, respectively). However, at C/N = 3.0, the opposite trend was observed, with effluent phosphorus increasing from 7.58 ± 0.39 mg P/L (24 h) to 8.96 ± 0.36 mg P/L (48 h).
In contrast, effluent phosphorus concentrations in the electro-biological reactor were substantially lower than in the biological system. At C/N = 2.0, phosphorus concentrations reached 0.45 ± 0.03 mg P/L and 0.16 ± 0.01 mg P/L at HRT values of 24 h and 48 h, corresponding to removal efficiencies of 91.5% and 98.6%, respectively. Thus, extending HRT significantly enhanced phosphorus removal.
A similar effect was observed at C/N = 3.0, where effluent TP concentrations were 0.31 ± 0.04 mg P/L at HRT = 24 h and 0.13 ± 0.02 mg P/L at HRT = 48 h, corresponding to removal efficiencies of 97.2% and 98.8%, respectively. Additionally, phosphorus concentrations in the REBDC effluent were lower at C/N = 3.0 than at C/N = 2.0, demonstrating that both extended HRT and increased availability of carbon supported more effective phosphorus removal in the electro-biological system.
The positive effect of longer HRT on phosphorus removal efficiency in rotating biofilm-based systems such as REBDC and RBDC is consistent with findings reported in earlier research conducted by Rodziewicz et al. [30] and by Sandeep [31].

3.6. Chemical Oxygen Demand (COD)

The COD concentration in the raw wastewater was 51.45 ± 7.3 mg O2/L (Figure 7). After sodium acetate supplementation based on the applied C/N ratio, COD values increased due to the presence of the external carbon source. COD concentrations fluctuated during treatment and were higher at C/N = 3.0 compared with C/N = 2.0. The lowest COD concentration in the effluent was observed in the RBDC at C/N = 2.0 and HRT = 48 h (138.0 ± 11.5 mg O2/L), whereas the highest value was recorded in the REBDC at C/N = 3.0 and HRT = 48 h (329.0 ± 24.8 mg O2/L).
In the biological reactor, extending the HRT improved utilization of the organic substrate for both C/N ratios, as evidenced by lower effluent COD values. At C/N = 2.0, COD decreased from 228.0 ± 11.2 mg O2/L at HRT = 24 h to 138.0 ± 11.5 mg O2/L at HRT = 48 h. A similar pattern was observed at C/N = 3.0, where COD decreased from 287.0 ± 15.9 mg O2/L /L to 195.0 ± 17.0 mg O2/L with extended HRT.
A different trend was observed in the electro-biological reactor. In the REBDC, extending HRT resulted in higher effluent COD. At C/N = 2.0, COD increased from 161.0 ± 16.3 mg O2/L (HRT = 24 h) to 226.0 ± 21.3 mg O2/L (HRT = 48 h). Likewise, at C/N = 3.0, COD increased from 229.0 ± 14.6 mg O2/L to 329.0 ± 24.6 mg O2/L.
The best utilization of the external carbon source was observed in the biological reactor at HRT = 48 h for both C/N ratios, demonstrating that increased retention time positively affected substrate consumption. In contrast, the same operational change in the REBDC resulted in reduced substrate utilization efficiency.
Considering the relatively low COD of the untreated wastewater (51.45 ± 7.3 mg O2/L) compared with the COD measured in treated effluent, it can be concluded that a substantial portion of the added external carbon remained unused.
The reduced utilization of the external carbon source in the REBDC at HRT = 48 h may indicate changes in microbial activity under electric field exposure [32,33]; however, this interpretation should be treated with caution, as no direct microbiological analyses were performed in this study. The observed increase in COD and TOC could also be associated with the formation of electrochemical intermediates or partial oxidation products, although their presence was not directly confirmed.
Furthermore, it cannot be excluded that the applied HRT was longer than optimal for the metabolic requirements of the biofilm-forming microorganisms, or that the sodium acetate dosage exceeded their actual carbon demand. In such a case, residual organic compounds could accumulate in the effluent, contributing to the elevated COD and TOC values [34].
Therefore, the above explanations should be considered as plausible hypotheses. Further studies including detailed microbial characterization and identification of intermediate compounds would be necessary to confirm the underlying mechanisms.

3.7. Total Carbon (TC), Inorganic Carbon (IC), and Total Organic Carbon (TOC)

Changes in total carbon (TC), inorganic carbon (IC), and total organic carbon (TOC) concentrations illustrate the extent to which the carbon supplied to the reactors was utilized.
For TC, similar trends were observed for both tested C/N ratios. In the biological reactor, extending the hydraulic retention time supported more complete carbon utilization. At C/N = 2.0 and HRT = 24 h, the effluent TC concentration was 86.0 ± 8.9 mg/L, whereas at HRT = 48 h it decreased to 53.0 ± 4.8 mg/L (Figure 8a). This value was only slightly higher than the influent TC concentration prior to sodium acetate addition (41.00 ± 5.6 mg/L). In reactors supplied with a higher external carbon dose (C/N = 3.0), the TC values were higher, amounting to 109.0 ± 6.7 mg/L and 78.0 ± 7.1 mg/L for HRT values of 24 h and 48 h, respectively.
In contrast, the opposite trend was observed in the electro-biological reactor, where increasing HRT resulted in higher TC concentrations. At C/N = 2.0, TC increased from 58.00 ± 4.5 mg/L to 95.00 ± 7.6 mg/L with extended retention time. At C/N = 3.0, the increase was much more pronounced, from 91.00 ± 5.3 mg/L to 288.00 ± 15.8 mg/L.
These findings indicate that, at HRT = 24 h, the REBDC demonstrated more effective utilization of sodium acetate than the RBDC. However, at HRT = 48 h, the biological reactor demonstrated superior carbon utilization, while the electro-biological system accumulated substantially more residual carbon.
A similar pattern was observed for inorganic carbon (Figure 8b). At both C/N ratios and at HRT = 24 h, the REBDC produced lower IC concentrations in the effluent compared with the biological reactor. At HRT = 48 h, this trend reversed, and lower IC concentrations were observed in the effluent from the biological system. However, IC concentrations ranging from 16 ± 2.3 mg/L to 68 ± 7.9 mg/L, when compared with TC values, suggest that the utilization of the added carbon source remained limited. This is further confirmed by TOC measurements, which represent the fraction of organic carbon available for denitrification and phosphorus removal.
The relationships observed for TC and IC also applied to TOC concentrations (Figure 8c). In the REBDC, TOC concentrations ranged from 40.00 ± 8.9 mg/L (C/N = 2.0, HRT = 24 h) to 220.00 ± 24.3 mg/L (C/N = 3.0, HRT = 48 h). At HRT = 24 h and C/N = 2.0, the residual organic carbon remained relatively low compared with the influent wastewater before sodium acetate addition (24.5 ± 8.9 mg/L). However, at HRT = 48 h the effluent contained substantially higher TOC concentrations −69.0 ± 10.3 mg/L at C/N = 2.0 and 220.0 ± 24.3 mg/L at C/N = 3.0. Reduced carbon utilization in the REBDC may be associated with altered microbial activity under the electric field, accumulation of intermediate products, or disruption of metabolic pathways [33,35,36]. These are just suggestions as they have not been directly confirmed.
In the biological reactor, carbon utilization during treatment was more complete. At C/N = 2.0 and HRT = 48 h, the effluent TOC concentration was 37.0 ± 6.8 mg/L, while the influent contained 24.5 ± 8.9 mg/L before carbon supplementation—indicating that nearly all of the externally supplied carbon had been consumed. Under conditions of increased external carbon availability (C/N = 3.0), the effluent TOC was 59.0 ± 7.3 mg/L (compared with 220.0 ± 24.3 mg/L in the REBDC), confirming that the biological reactor used the supplied substrate more efficiently.
The high TOC concentration observed in the REBDC effluent at C/N = 3.0 and HRT = 48 h may result from the increased presence of short-chain organic acids, incomplete electrochemical oxidation, partial mineralization, and formation of aldehydes and other by-products at the anode surface [30,37,38]. The presented explanations should be considered as plausible hypotheses. Further studies including detailed microbial characterization and identification of intermediate compounds would be necessary to confirm the underlying mechanisms.

3.8. Current Efficiency (CE)

Current efficiency reflects the contribution of electrochemical denitrification to overall nitrogen removal in electro-biological systems. The results clearly show that extending HRT reduces CE by approximately half for both tested C/N ratios (Figure 9). At C/N = 2.0, CE decreased from 19.5 ± 1.89% at HRT = 24 h to 8.5 ± 2.56% at HRT = 48 h. At C/N = 3.0, CE values were similar for HRT = 24 h (19.4 ± 2.3%) and declined to 9.67 ± 3.2% at HRT = 48 h. While CE values at 24 h were comparable for both C/N ratios, the longer HRT resulted in a slightly higher CE at C/N = 3.0 than at C/N = 2.0.
Figure 9 additionally presents CE values calculated for the second 24 h period of reactors operating at 48 h HRT. These values were estimated assuming that nitrogen concentrations at the beginning of the 25th hour matched the final effluent concentrations of reactors operated at HRT = 24 h. Under these conditions, the CE values were negative for both C/N ratios, indicating that extended retention increases energy costs and is not economically efficient. Similar trends were reported by Rodziewicz et al. [14], where CE decreased with increasing HRT. At the same time, CE values obtained in that study for J = 2.5 A/m2 and HRT = 24 h (7.5%) were lower than those observed in the present work (19.5% and 19.4%). This difference may be attributed to the much lower C/N ratio used previously (C/N = 0.5), compared with C/N = 2.0 and 3.0 applied in this experiment.
Feng et al. [20], using methanol and starch as external carbon sources, reported CE values of 23.0% and 19.0%, respectively. These results remain significantly lower than those obtained in studies by Wan et al. [39,40], where sodium bicarbonate (NaHCO3) was used as the carbon source. Even greater values—exceeding 240% CE—were reported for three-dimensional (3D) bio-electrochemical reactors [41]. For comparison, in two-dimensional (2D) reactors such as the REBDC, CE values reported in literature do not exceed 100%.

3.9. Energy Consumption in Phosphorus Compound Removal Process (E)

Previous studies conducted by the authors demonstrated that phosphorus removal efficiencies exceeding 90% can be achieved in electro-biological reactors at hydraulic retention times longer than 4 h [14,24]. However, extending HRT is associated with increased energy demand, as reflected in the calculated energy consumption values (E).
Similarly to the CE analysis, energy consumption was evaluated for reactors operating at HRT values of 24 h and 48 h and during the “second retention interval” (hours 25–48 in the reactor operated at HRT = 48 h). The amount of external carbon supplied to the REBDC (i.e., the C/N ratio) did not influence the electric energy consumption per unit of phosphorus removed (Figure 10). For both C/N = 2.0 and C/N = 3.0, energy consumption at HRT = 24 h was 0.20 ± 0.02 kWh/g P and 0.40 ± 0.06 kWh/g P at HRT = 48 h. This corresponds to an energy consumption of 100.8 and 201.6 kWh/m3 of treated wastewater. Thus, doubling the hydraulic retention time resulted in a twofold increase in energy demand per gram of phosphorus removed.
During the second 24 h period of the 48 h cycle, energy consumption increased significantly, reaching 7.45 ± 2.3 kWh/g P at C/N = 2.0 and 24.0 ± 1.9 kWh/g P at C/N = 3.0. The higher value is comparable with results published in a related study [30], where E reached 2360 kWh/kg P under similar operational conditions (HRT = 24 h and current density of 2.50 A/m2).
These findings indicate that most phosphorus removal driven by electrochemical reactions occurs within the first 24 h. Between hours 25 and 48, only marginal improvements in effluent phosphorus concentration were observed—from 0.45 to 0.16 mg P/L at C/N = 2.0 and from 0.31 to 0.13 mg P/L at C/N = 3.0—while the associated energy cost increased disproportionately. This suggests that similar levels of phosphorus removal may be achievable within a shorter operating time than 48 h.
Rodziewicz [14] reported an energy demand of 2.36 kWh/g P at a current density of 2.50 A/m2 and 24 h HRT, which was higher than values obtained in the present study. It should be noted, however, that the referenced study was performed using synthetic wastewater with a C/N ratio of 0.5. Lower organic carbon concentrations are associated with reduced energy consumption for electrochemical oxidation processes [42,43,44].

4. Conclusions

The efficiency of nitrate removal via denitrification in electro-biological reactors is influenced by both current density and hydraulic retention time (HRT). When nitrogen, phosphorus, and residual organic carbon originating from an external carbon source are removed simultaneously, the evaluation of treatment performance should consider multiple parameters rather than a single pollutant.
The results of the study showed that extending HRT from 24 h to 48 h reduced phosphorus concentrations in the REBDC effluent but did not improve the degree of organic substrate utilization. The presence of residual organic carbon in the treated wastewater may be associated with an excessive carbon dose relative to the metabolic requirements of heterotrophic denitrifiers present in the biofilm. These microorganisms compete with hydrogenotrophic denitrifiers for available electron donors. In addition, other concurrent processes—such as incomplete electrochemical oxidation, partial mineralization of organic carbon, and the formation of aldehydes or other oxidation by-products at the anode—may also contribute to the persistence of organic compounds in the effluent.
From a technological perspective, extending HRT from 24 h to 48 h was justified in terms of phosphorus removal efficiency at both tested C/N ratios. In the case of nitrogen removal, increasing HRT to 48 h combined with a higher carbon dose (C/N = 3.0) resulted in noticeably higher total nitrogen (TN) removal compared with C/N = 2.0. However, when nitrogen removal efficiency at C/N = 3.0 was compared between HRT values of 24 h and 48 h, the longer retention time did not improve treatment performance. In fact, the effluent nitrogen concentration at HRT = 48 h was 7.21 mg N/L higher than at HRT = 24 h, indicating a decrease in nitrogen removal efficiency under extended retention conditions.
Overall, the conventional biological reactor exhibited lower nitrogen and phosphorus removal efficiencies than the electro-biological reactor under all tested operational conditions, including both C/N ratios and HRT values. The electro-biological reactor consistently demonstrated superior performance in nutrient removal. Moreover, increasing the external carbon dose improved nitrogen removal efficiency and resulted in substantially lower residual TN concentrations in the effluent. At the same time doubling the HRT from 24 to 48 h leads to a substantial increase in energy costs and is therefore economically unjustified.
Detailed conclusions regarding the impact of extended HRT on the operational performance of both reactors, as well as on the energy consumption of the REBDC system, are presented below. In the biological reactor (RBDC), extending the hydraulic retention time resulted in:
  • A slight reduction in phosphorus concentration in the effluent (by 0.25 mg P/L) at C/N = 2.0 and a noticeable deterioration of effluent quality at C/N = 3.0 (increase of 1.38 mg P/L).
  • A minor increase in total nitrogen in the effluent (by 6.8%) from 147.8 to 157.7 mg N/L at C/N = 2.0 and a substantial deterioration of effluent quality (276%) from 38.4 to 105.5 mg N/L at C/N = 3.0. Increasing carbon availability significantly improved nitrogen removal efficiency and resulted in a much lower final TN concentration.
  • Higher nitrate concentrations in the effluent at both C/N ratios, likely due to limited penetration of the organic substrate into deeper biofilm layers, where the final reduction step (NO2 → N2) occurs.
  • Reduced ammonium nitrogen concentration in the effluent at both C/N ratios.
  • Increased utilization of the available organic carbon expressed as TOC for both C/N ratios, with near-complete consumption observed at C/N = 2.0.
In the electro-biological reactor (REBDC), extending the hydraulic retention time resulted in:
  • A substantial decrease in phosphorus concentration in the effluent for both C/N ratios—more than a 2.8-fold reduction at C/N = 2.0 (down to 0.16 mg P/L) and a 2.38-fold reduction at C/N = 3.0 (to 0.13 mg P/L);
  • A significant increase in total nitrogen concentration in the effluent (316.3%) from 32.6 to 103.1 mg N/L at C/N = 2.0 and a moderate deterioration of effluent quality (26.3%) from 27.4 to 34.6 mg N/L at C/N = 3.0;
  • Increased nitrite concentrations for both C/N ratios, associated with elevated pH caused by denitrification, increased alkalinity, and electrochemical nitrate reduction (where nitrite is an intermediate product);
  • A marked (multi-fold) reduction in ammonium nitrogen concentrations in the effluent for both C/N ratios;
  • Reduced utilization of available organic carbon (lower TOC removal) at both C/N ratios;
  • Increased energy demand for hydrogenotrophic denitrification (lower current efficiency) and electrochemical phosphorus removal (higher energy consumption).
Further research should focus on determining the dose of an external carbon source within a C/N range of 2.0 to 3.0 and the hydraulic retention time within a range of 24 to 48 h, at which high efficiency of biogenic compound removal coincides with nearly complete utilization of the introduced carbon source and low energy costs.

Author Contributions

Conceptualization, J.R. and W.J.; methodology, K.B. and K.K.; validation, K.K.; formal analysis, J.R. and K.B.; data curation, K.B. and J.R.; writing—original draft preparation, W.J.; writing—review and editing, J.R. and K.K.; supervision, W.J. All authors have read and agreed to the published version of the manuscript.

Funding

This research was funded in the framework of Project No. 29.610.023-110 of the University of Warmia and Mazury in Olsztyn, Poland.

Institutional Review Board Statement

Not applicable.

Informed Consent Statement

Not applicable.

Data Availability Statement

The original contributions presented in the study are included in the article, further inquiries can be directed to the corresponding author.

Conflicts of Interest

Author Kamil Bryszewski was employed by the company Hanna Instruments Sp. z.o.o., Al. J. Piłsudskiego St. 73, 10-449 Olsztyn, Poland. The remaining authors declare that the research was conducted in the absence of any commercial or financial relationships that could be construed as a potential conflict of interest.

References

  1. Han, Y.; Zhao, J.; Liao, Y.; Tian, Y.; Li, W.; Li, A. External carbon sources shape the distinction of advanced nitrogen removal system: Insights into organic matters and microbial characteristics. J. Environ. Chem. Eng. 2025, 13, 119001. [Google Scholar] [CrossRef]
  2. Fu, X.; Hou, R.; Yang, P.; Qian, S.; Feng, Z.; Chen, Z.; Wang, F.; Yuan, R.; Chen, H.; Zhou, B. Application of external carbon source in heterotrophic denitrification of domestic sewage: A review. Sci. Total Environ. 2022, 817, 153061. [Google Scholar] [CrossRef] [PubMed]
  3. Liu, S.; Hu, D.; Hou, P.; Zhang, G.; Liang, J. Comprehensive review of methods, microbial mechanism, and model evaluation of internal carbon source—Biological nitrogen removal. Chem. Eng. J. 2025, 515, 163590. [Google Scholar] [CrossRef]
  4. Chen, H.; Feng, Z.; Yin, Z.; Wang, J.; Liu, S.; Hou, R. eVOCs absorption liquid enhanced nitrogen removal in A/O reactor treating low C/N wastewater. J. Environ. Chem. Eng. 2025, 13, 118863. [Google Scholar] [CrossRef]
  5. Ortega-Martínez, E.; Toledo-Alarcón, J.; Fernández, E.; Campos, J.L.; Oyarzún, R.; Etchebehere, C.; Cardeña, R.; Cabezas, A.; Koók, L.; Bakonyi, P.; et al. A review of autotrophic denitrification for groundwater remediation: A special focus on bioelectrochemical reactors. J. Environ. Chem. Eng. 2024, 12, 111552. [Google Scholar] [CrossRef]
  6. Chiu, Y.-C.; Chung, M.-S. Determination of Optimal COD/Nitrate Ratio for Biological Denitrification. Int. Biodeter. Biodegr. 2003, 51, 43–49. [Google Scholar] [CrossRef]
  7. Ebrahimzadeh, P.; Navidjouy, N.; Khorsandi, H.; Rahimnejad, M. Application of Bioelectrochemical System in Nitrogen Removal via Simultaneous Autotrophic Nitrification and Denitrification from Wastewater. ChemElectroChem 2024, 11, e202400432. [Google Scholar] [CrossRef]
  8. Gaspar, E.; Munteanu, I.; Sintea, S. Removal of N and P in a Rotating Biological Contactor Plant: Case Study Agnita, Romania. Water 2022, 14, 3670. [Google Scholar] [CrossRef]
  9. Rodziewicz, J.; Mielcarek, A.; Bryszewski, K.; Kwietniewski, M.; Janczukowicz, W. Limited Utilization of an External Carbon Source in a Rotating Electro-Biological Disc Contactor (REBDC). Processes 2025, 13, 3115. [Google Scholar] [CrossRef]
  10. Mielcarek, A.; Rodziewicz, J.; Janczukowicz, W.; Dobrowolski, A. Analysis of wastewater generated in greenhouse soilless tomato cultivation in central Europe. Water 2019, 11, 2538. [Google Scholar] [CrossRef]
  11. Van Der Salm, C.; Voogt, W.; Beerling, E.; van Ruijven, J.; van Os, E. Minimising emissions to water bodies from NW European greenhouses; with focus on Dutch vegetable cultivation. Agric. Water Manag. 2020, 242, 106398. [Google Scholar] [CrossRef]
  12. Di Capua, F.; Pirozzi, F.; Lens, P.N.L.; Esposito, G. Electron donors for autotrophic denitrification. Chem. Eng. J. 2019, 362, 922–937. [Google Scholar] [CrossRef]
  13. Mousset, E.; Trellu, C.; Olvera-Vargas, H.; Pechaud, Y.; Fourcade, F.; Oturan, M.A. Electrochemical technologies coupled with biological treatment. Curr. Opin. Electrochem. 2021, 26, 100668. [Google Scholar] [CrossRef]
  14. Rodziewicz, J.; Mielcarek, A.; Janczukowicz, W.; Bryszewski, K. Electric power consumption and current efficiency of electrochemical and electrobiological rotating disk contactors removing nutrients from wastewater generated in soil-less plant cultivation systems. Water 2020, 12, 213. [Google Scholar] [CrossRef]
  15. PN-ISO 6060:2006; Water Quality—Determination of the Chemical Oxygen Demand. Polish Committee for Standardization: Warsaw, Poland, 2006.
  16. PN-EN 12260:2005; Water Quality—Determination of Nitrogen—Determination of Bound Nitrogen (TN), Following Oxidation to Nitrogen Oxides. Polish Committee for Standardization: Warsaw, Poland, 2005.
  17. PN-EN ISO 10304-1:2009; Water Quality—Determination of Dissolved Anions by Liquid Chromatography of Ions—Part 1: Determination of Bromide, Chloride, Fluoride, Nitrate, Nitrite, Phosphate and Sulfate. Polish Committee for Standardization: Warsaw, Poland, 2009.
  18. PN-EN ISO 6878:2006; Water Quality—Determination of Phosphorus—Ammonium Molybdate Spectrometric Method. Polish Committee for Standardization: Warsaw, Poland, 2006.
  19. PN-EN 27888:1999; Water Quality—Determination of Electrical Conductivity. Polish Committee for Standardization: Warsaw, Poland, 1999.
  20. Feng, H.; Huang, B.; Zou, Y.; Li, N.; Wang, M.; Yin, J.; Cong, Y.; Shen, D. The effect of carbon sources on nitrogen removal performance in bioelectrochemical systems. Bioresour. Technol. 2013, 128, 565–570. [Google Scholar] [CrossRef]
  21. Hooshmandfar, A.; Ayati, B.; Khodadadi Darban, A. Optimization of material and energy consumption for removal of Acid Red 14 by simultaneous electrocoagulation and electroflotation. Water Sci. Technol. 2016, 73, 192–202. [Google Scholar] [CrossRef]
  22. Huang, W.; Gong, B.; Wang, Y.; Lin, Z.; He, L.; Zhou, J.; He, Q. Metagenomic analysis reveals enhanced nutrients removal from low C/N municipal wastewater in a pilot-scale modified AAO system coupling electrolysis. Water Res. 2020, 173, 115530. [Google Scholar] [CrossRef]
  23. Zhang, L.; Hao, S.; Wang, Y.; Lan, S.; Dou, Q.; Peng, Y. Rapid start-up strategy of partial denitrification and microbially driven mechanism of nitrite accumulation mediated by dissolved organic matter. Bioresour. Technol. 2021, 340, 125663. [Google Scholar] [CrossRef]
  24. Rodziewicz, J.; Mielcarek, A.; Janczukowicz, W.; Jóźwiak, T.; Struk–Sokołowska, J.; Bryszewski, K. The share of electro-chemical reduction, hydrogenotrophic and heterotrophic denitrification in nitrogen removal in rotating electrobiological contactor (REBC) treating wastewater from soilless cultivation systems. Sci. Total Environ. 2019, 683, 21–28. [Google Scholar] [CrossRef]
  25. Chen, Y.Z.; Zhang, L.J.; Ding, L.Y.; Zhang, Y.Y.; Wang, X.S.; Qiao, X.J.; Pan, B.Z.; Wang, Z.W.; Xu, N.; Tao, H.C. Sustainable treatment of nitrate-containing wastewater by an autotrophic hydrogen-oxidizing bacterium. Environ. Sci. Ecotechnol. 2022, 9, 100146. [Google Scholar] [CrossRef] [PubMed]
  26. Lee, K.C.; Rittmann, B.E. Effects of pH and precipitation on autohydrogenotrophic denitrification using the hollow-fiber membrane-biofilm reactor. Water Res. 2003, 37, 1551–1556. [Google Scholar] [CrossRef] [PubMed]
  27. Pan, Y.; Liu, Y.; Peng, L.; Ngo, H.H.; Guo, W.; Wei, W.; Wang, D.; Ni, B.-J. Substrate Diffusion within Biofilms Significantly Influencing the Electron Competition during Denitrification. Environ. Sci. Technol. 2019, 53, 261–269. [Google Scholar] [CrossRef] [PubMed]
  28. Rigby, H.; Clarke, B.O.; Pritchard, D.L.; Meehan, B.; Beshah, F.; Smith, S.R.; Porter, N.A. A critical review of nitrogen mineralization in biosolids-amended soil, the associated fertilizer value for crop production and potential for emissions to the environment. Sci. Total Environ. 2016, 541, 1310–1338. [Google Scholar] [CrossRef] [PubMed]
  29. Młyńska, A.; Chmielowski, K. The changes of nitrogen content during sewage treatment: A study of a two-stages wastewater treatment plant. J. Water. Land. Dev. 2024, 61, 106–114. [Google Scholar] [CrossRef]
  30. Rodziewicz, J.; Mielcarek, A.; Bryszewski, K.; Janczukowicz, W.; Kłobukowska, K. Energy consumption for nutrient removal from high-nitrate and high-phosphorus wastewater in aerobic and anaerobic bioelectrochemical reactors. Energies 2022, 15, 7251. [Google Scholar] [CrossRef]
  31. Sandeep, R.; Madsen, J.S.; Marzocchi, U.; Vergeynst, L. Synergizing carbon and phosphorus recovery from wastewater: Integrating biofilm-based phosphorus removal in high-rate activated sludge. Water Res. 2025, 280, 123546. [Google Scholar] [CrossRef]
  32. Corona-Martínez, D.A.; Martínez-Amador, S.Y.; Rodríguez-De la Garza, J.A.; Laredo-Alcalá, E.I.; Pérez-Rodríguez, P. Recent advances in scaling up bioelectrochemical systems: Challenges and perspectives. BioTech 2025, 14, 8. [Google Scholar] [CrossRef]
  33. Ndayisenga, F.; Yu, Z.; Wang, B.; Zhou, D. Effects of the applied voltage on electroactive microbial biofilm viability and hydrogen production in a recalcitrant organic waste-fed single-chamber membrane-free microbial electrolysis cell performance. Chem. Eng. J. 2023, 469, 1444002. [Google Scholar] [CrossRef]
  34. Sikarwar, D.; Bashir, Y.; Sharma, N.; Rasheed, A.; Das, S. Critical perspective on the elimination of emerging contaminants from industrial wastewater via microbial electrochemical technologies. Clean-Soil Air Water 2024, 52, 2300346. [Google Scholar] [CrossRef]
  35. Sun, J.; Zhang, L.; Loh, K.C. Review and perspectives of enhanced volatile fatty acids production from acidogenic fermentation of lignocellulosic biomass wastes. Bioresour. Bioprocess. 2021, 8, 68. [Google Scholar] [CrossRef]
  36. Liu, C.; Yin, Y.; Chen, C.; Zhang, X.; Zhou, J.; Zhang, Q.; Chen, Y. Advances in Electricity-Steering Organic Waste Bio-Valorization for Medium Chain Carboxylic Acids Production. Energies 2023, 16, 2571. [Google Scholar] [CrossRef]
  37. Cheng, H.; Ma, S.; Liao, K.; Wang, J.; Wu, B.; Hu, H.; Ren, H. Effect of external carbon source type on effluent dissolved organic nitrogen characteristics in post-denitrifying moving bed biofilm reactors: Chemical, molecular and microbial insights. Chem. Eng. J. 2023, 466, 143338. [Google Scholar] [CrossRef]
  38. Mohamed, A.A.R.; El-Dissouky, A.; El-Din Hassouna, M.S.; Elhusseiny, A.F.; He, Z.; Moustafa, H. Efficacy of bioelectrochemical and electrochemical systems in ammonia recovery from slaughterhouse wastewater. Appl. Water Sci. 2025, 15, 28. [Google Scholar] [CrossRef]
  39. Wan, D.; Liu, H.; Liu, R.; Qu, J. Study of a combined sulfur autotrophic with proton-exchange membrane electrodialytic denitrification technology: Sulfate control and pH balance. Bioresour. Technol. 2011, 102, 10803–10809. [Google Scholar] [CrossRef]
  40. Wan, D.; Li, Q.; Chen, J.; Niu, Z.; Liu, Y.; Li, H.; Xiao, S. Simultaneous bio-electrochemical reduction of perchlorate and electro-disinfection in a novel Moving-Bed Biofilm Reactor (MBBR) based on proton-exchange membrane electrolysis. Sci. Total. Environ. 2019, 679, 288–297. [Google Scholar] [CrossRef]
  41. Wu, Z.-Y.; Xu, J.; Wu, L.; Ni, B.-J. Three-dimensional biofilm electrode reactors (3D-BERs) for wastewater treatment. Bioresour. Technol. 2022, 344, 126274. [Google Scholar] [CrossRef]
  42. Najafinejad, M.S.; Chianese, S.; Fenti, A.; Iovino, P.; Musmarra, D. Application of Electrochemical Oxidation for Water and Wastewater Treatment: An Overview. Molecules 2023, 28, 4208. [Google Scholar] [CrossRef]
  43. Yao, J.; Mei, Y.; Jiang, J.; Xia, G.; Chen, J. Process Optimization of Electrochemical Treatment of COD and Total Nitrogen Containing Wastewater. Int. J. Environ. Res. Public Health 2022, 19, 850. [Google Scholar] [CrossRef]
  44. Hu, M.; Luo, T.; Li, Q.; Xie, Y.; Liu, G.; Wang, L.; Peijnenburg, W.J.G.M. Remediation of low C/N wastewater by iron–carbon micro-electrolysis coupled with biological denitrification: Performance, mechanisms, and application. J. Water Process Eng. 2022, 48, 102899. [Google Scholar] [CrossRef]
Figure 1. Scheme of unit experimental model: 1—laboratory power supply; 2—discs (cathode); 3—anode; 4—tank; 5—electric engine.
Figure 1. Scheme of unit experimental model: 1—laboratory power supply; 2—discs (cathode); 3—anode; 4—tank; 5—electric engine.
Applsci 16 03101 g001
Figure 2. The research scheme.
Figure 2. The research scheme.
Applsci 16 03101 g002
Figure 3. The effect of the C/N ratio and HRT on effluent pH.
Figure 3. The effect of the C/N ratio and HRT on effluent pH.
Applsci 16 03101 g003
Figure 4. The effect of the C/N ratio and HRT on the electrical conductivity (EC) of the effluent.
Figure 4. The effect of the C/N ratio and HRT on the electrical conductivity (EC) of the effluent.
Applsci 16 03101 g004
Figure 5. The effect of the C/N ratio and HRT on the concentration of nitrogen compounds in the effluent: (a) total nitrogen (TN), (b) nitrites, (c) the ammonium nitrogen.
Figure 5. The effect of the C/N ratio and HRT on the concentration of nitrogen compounds in the effluent: (a) total nitrogen (TN), (b) nitrites, (c) the ammonium nitrogen.
Applsci 16 03101 g005
Figure 6. The effect of the C/N ratio and HRT on the concentration of total phosphorus (TP) in the effluent.
Figure 6. The effect of the C/N ratio and HRT on the concentration of total phosphorus (TP) in the effluent.
Applsci 16 03101 g006
Figure 7. The effect of the C/N ratio and HRT on COD concentration in the effluent.
Figure 7. The effect of the C/N ratio and HRT on COD concentration in the effluent.
Applsci 16 03101 g007
Figure 8. The effect of the C/N ratio and HRT on the carbon forms concentration in the effluent; (a) TC concentration, (b) TOC concentration, (c) IC concentration.
Figure 8. The effect of the C/N ratio and HRT on the carbon forms concentration in the effluent; (a) TC concentration, (b) TOC concentration, (c) IC concentration.
Applsci 16 03101 g008
Figure 9. Current efficiency (CE) of REBDC depending on HRT and C/N ratio.
Figure 9. Current efficiency (CE) of REBDC depending on HRT and C/N ratio.
Applsci 16 03101 g009
Figure 10. Influence of HRT and C/N ratio on electric power consumption in the removal of phosphorus in REBDC.
Figure 10. Influence of HRT and C/N ratio on electric power consumption in the removal of phosphorus in REBDC.
Applsci 16 03101 g010
Table 1. The composition of wastewater treated in reactors.
Table 1. The composition of wastewater treated in reactors.
ParametersValue
Mean
COD [mg O2/L]51.45 ± 7.3
Total nitrogen (TN) [mg N/L]357.1 ± 9.7
Nitrate [mg N/L]355.36 ± 10.2
Nitrite [mg N/L]1.69 ± 0.07
Ammonia nitrogen [mg N/L]0.05 ± 0.01
Total phosphorus (TP) [mg P/L]11.06 ± 4.4
Total carbon (TC) [mg C/L]39.07 ± 1.2
Total organic carbon (TOC) [mg C/L]24.56 ± 1.2
Inorganic carbon (IC) [mg C/L]16.7 ± 1.2
pH7.69 ± 0.37
Electrolytic conductivity [mS/cm]5.66 ± 0.10
Temperature [°C]21.5 ± 1.4
Disclaimer/Publisher’s Note: The statements, opinions and data contained in all publications are solely those of the individual author(s) and contributor(s) and not of MDPI and/or the editor(s). MDPI and/or the editor(s) disclaim responsibility for any injury to people or property resulting from any ideas, methods, instructions or products referred to in the content.

Share and Cite

MDPI and ACS Style

Rodziewicz, J.; Kłobukowska, K.; Bryszewski, K.; Janczukowicz, W. Technological and Energy-Related Implications of Extending the Hydraulic Retention Time in a Rotating Electrobiological Disc Contactor (REBDC). Appl. Sci. 2026, 16, 3101. https://doi.org/10.3390/app16063101

AMA Style

Rodziewicz J, Kłobukowska K, Bryszewski K, Janczukowicz W. Technological and Energy-Related Implications of Extending the Hydraulic Retention Time in a Rotating Electrobiological Disc Contactor (REBDC). Applied Sciences. 2026; 16(6):3101. https://doi.org/10.3390/app16063101

Chicago/Turabian Style

Rodziewicz, Joanna, Karolina Kłobukowska, Kamil Bryszewski, and Wojciech Janczukowicz. 2026. "Technological and Energy-Related Implications of Extending the Hydraulic Retention Time in a Rotating Electrobiological Disc Contactor (REBDC)" Applied Sciences 16, no. 6: 3101. https://doi.org/10.3390/app16063101

APA Style

Rodziewicz, J., Kłobukowska, K., Bryszewski, K., & Janczukowicz, W. (2026). Technological and Energy-Related Implications of Extending the Hydraulic Retention Time in a Rotating Electrobiological Disc Contactor (REBDC). Applied Sciences, 16(6), 3101. https://doi.org/10.3390/app16063101

Note that from the first issue of 2016, this journal uses article numbers instead of page numbers. See further details here.

Article Metrics

Back to TopTop