A Hybrid Particle Swarm–Genetic Algorithm Framework for U-Net Hyperparameter Optimization in High-Precision Brain Tumor MRI Segmentation
Abstract
1. Introduction
- We designed a novel hybrid metaheuristic optimization framework (PSO-GA-U-Net) that integrates PSO and a GA to jointly optimize the learning rate dynamics and dropout rates in U-Net for brain tumor segmentation.
- We implemented a robust training pipeline validated across three challenging datasets (FBTS, BraTS 2021, BraTS 2018), ensuring generalization across tumor types, MRI modalities, and anatomical variations.
- We conducted extensive performance evaluations using both quantitative metrics (DSC, JI, HD-Hausdorff Distance, and ASSD-Average Symmetric Surface Distance) and qualitative heatmap analyses and performed statistical validation with paired t-tests on cross-validation folds.
- We present a comprehensive comparison with SOTA models, demonstrating superior performance in volumetric overlap, boundary precision, and robustness to modality-specific noise.
2. Related Works
- In contrast to previous PSO or GA models, it introduces a dual-level optimization pipeline where PSO governs adaptive learning rate scheduling during training. At the same time, the GA dynamically evolves the dropout rate to prevent overfitting and promote feature diversity.
- The architecture remains U-Net-based for its proven spatial fidelity, but is optimized across cross-validation folds and datasets to ensure both performance and generalization.
- The evaluation covers diverse tumor types (meningioma, glioma, and pituitary, HGG, LGG) and MRI modalities (T1CE, FLAIR, T1, and T2), with consistent superiority in DSC and JI compared to transformer-based, residual, and attention-enhanced models.
- Statistical significance tests () were used to validate the robustness of improvements across datasets and tumor classes.
3. Methods
3.1. Dataset Description
3.1.1. Figshare Brain Tumor Segmentation (FBTS) Dataset
- Meningioma: 3060 slices;
- Glioma: 708 slices;
- Pituitary Tumor: 930 slices.

3.1.2. BraTS 2021 Dataset
- T1 emphasizes anatomical structures.
- T2 highlights fluid-filled regions.
- T1CE captures active tumor enhancement.
- FLAIR is sensitive to edema and non-enhancing tumor cores.

3.1.3. BraTS 2018 Dataset
3.1.4. Preprocessing and Augmentation Pipeline
- (1)
- Intensity Normalization
- (2)
- Spatial Standardization and Binarization
- (3)
- Data Augmentation Strategy
- Rotation: ;
- Flipping: (horizontal and vertical);
- Zoom: Scaling factor ;
- Translation: Offset ;
- Elastic deformation: Applied via a random displacement field with Gaussian smoothing;
- Contrast and Brightness Shift: where , .
- (4)
- Label Harmonization and Whole Tumor Mask Generation
- (5)
- Dataset Partitioning and Cross-Validation
- (6)
- Consistency Checks
- (7)
- Preprocessing and Augmentation Pipeline Summary
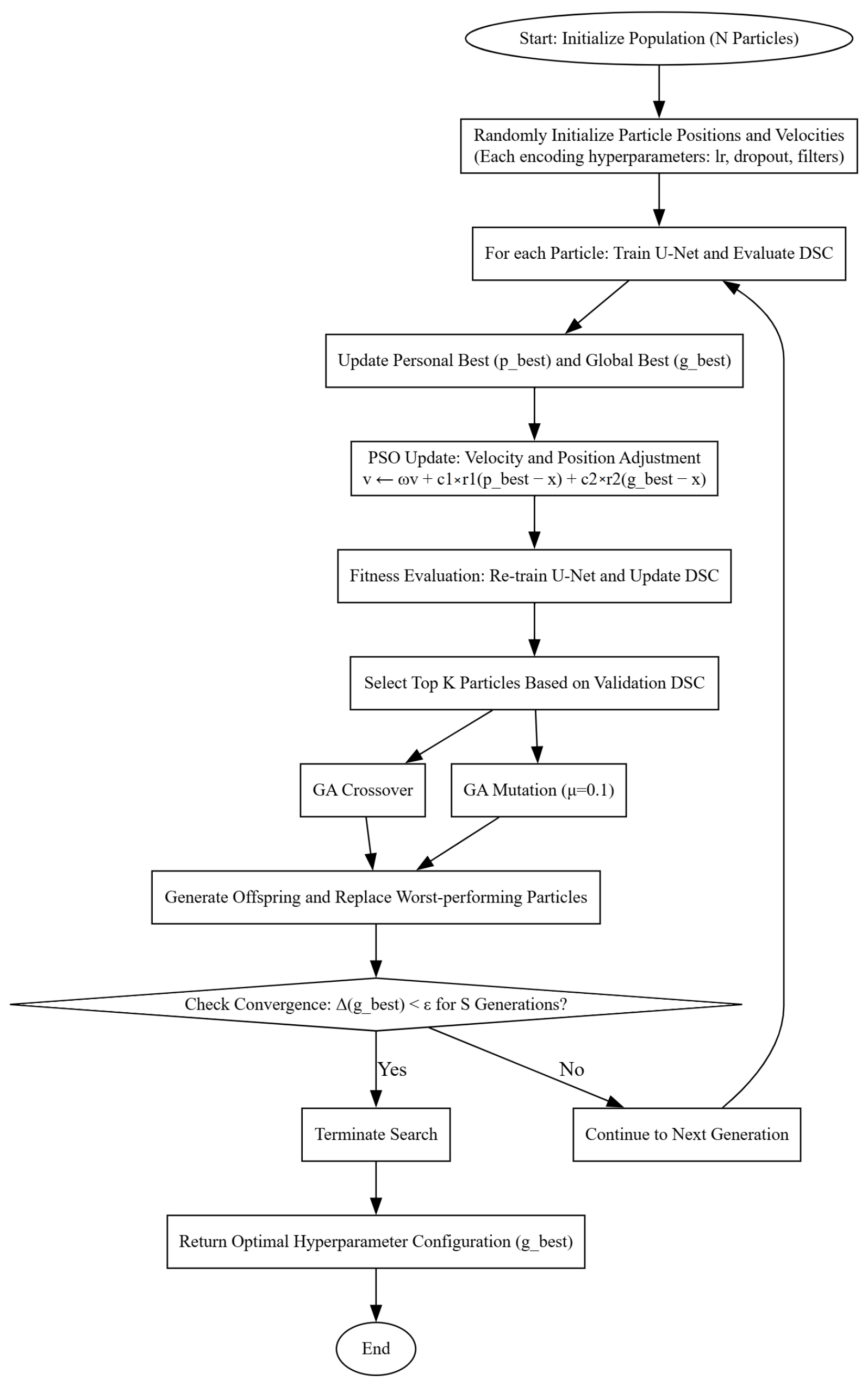
3.2. PSO-GA Hybrid Framework
3.2.1. Particle Swarm Optimization (PSO)
3.2.2. Genetic Algorithm (GA) Phase
- Selection: Elitist selection of the top particles.
- Crossover: Uniform crossover combines hyperparameter values from parent pairs to form offspring (Equation (9)).
- Mutation: Each gene in the child has the probability of being replaced by a random value from its domain.
3.2.3. Fitness Evaluation
3.2.4. Termination Criteria
3.2.5. Optimization Workflow
3.2.6. Pseudocode Implementation
| Algorithm 1 PSO-GA Hybrid Optimization for U-Net Segmentation |
|
3.3. U-Net Architecture and Training Configuration
3.3.1. Encoder and Decoder Design
3.3.2. Activation and Optimization Strategy
3.3.3. Output Layer and Loss Function
3.3.4. Evaluation Metrics
3.3.5. Implementation and Hardware
3.3.6. Example Instantiation
| { |
| learning_rate: 0.0095, |
| dropout_rate: 0.4, |
| batch_size: 8, |
| kernel_size: (3, 3), |
| encoder_filters: [64, 128, 512], |
| activation: leaky_relu, |
| optimizer: sgd |
| } |
3.3.7. Integrated Optimization and Training Loop
3.4. Experimental Setup
Unit of Boundary Metrics
4. Results and Discussion
4.1. Optimization Results and Comparative Evaluation
4.1.1. PSO-GA-Driven Hyperparameter Tuning and Convergence Behavior
4.1.2. Comparative Performance of PSO, GA, and PSO-GA Metaheuristics
4.2. Ablation Study: Evaluating Individual and Hybrid Metaheuristics
Computational Cost and Model Complexity
4.3. Evaluation on FBTS: Augmentation and Cross-Validation Impact
4.4. Evaluation on BraTS 2021: Multi-Modality Performance Analysis
4.5. Evaluation on BraTS 2018: HGG and LGG Segmentation Performance
4.5.1. High-Grade Glioma (HGG) Evaluation
4.5.2. Low-Grade Glioma (LGG) Evaluation
4.6. Qualitative Evaluation on FBTS: Visual and Interpretive Analysis
4.7. Qualitative Results on BraTS 2021: Visual and Metric-Based Analysis
4.8. Qualitative Evaluation on BraTS 2018: Visual Analysis of HGG and LGG
4.8.1. HGG: Boundary Sensitivity and Modality Reliability
4.8.2. LGG: Homogeneous Boundaries and Compact Attention Spread
4.8.3. Comparative Observations: HGG vs. LGG
4.9. Comparison with State-of-the-Art Methods
4.9.1. FBTS Dataset: Model Precision and Boundary Localization
4.9.2. BraTS 2021 Dataset: Robustness on Complex Multimodal Structures
4.9.3. BraTS 2018 Dataset: Performance in Mixed-Grade Tumor Cases
4.9.4. Overall Insights
- DSC: PSO-GA-U-Net ranks first across BraTS 2021, BraTS 2018, and FBTS.
- JI: Achieves the highest across all datasets.
- Boundary Handling: Outperforms transformer-based models in regions with irregular geometry.
4.10. Discussion of Findings and Limitations
- Domain Transferability: The model is primarily trained on public datasets with curated annotations. Generalizing to clinical real-world MRI images from various institutions (with scanner and protocol variations) may require domain adaptation techniques.
- Computational Overhead: While the PSO-GA hybrid offers notable performance improvements, the added metaheuristic layers increase computational complexity. Real-time applications may require lightweight approximations or pruning strategies.
- Class Imbalance and Rare Features: In BraTS, particularly for LGG or necrotic regions, infrequent class appearances can cause minor drops in recall. Incorporating focal loss or adaptive sampling might improve sensitivity to minority classes.
- Another limitation concerns the hyperparameter optimization protocol. In this study, the PSO–GA search is executed once using the training–validation subset rather than within a fully nested cross-validation framework. While this design substantially reduces the computational cost associated with repeated evolutionary searches for deep segmentation models, it may introduce a mild bias toward the validation subset used during optimization. Therefore, the cross-validation results are interpreted primarily as an assessment of model robustness rather than a fully nested hyperparameter evaluation.
- Hybrid Transformer–CNN Integration: Future iterations could incorporate transformer encoders with evolutionary dropout tuning to explore long-range spatial dependencies without sacrificing convergence stability.
- Multi-objective Evolutionary Optimization: Extending PSO-GA to handle trade-offs between accuracy, memory, and inference time using multi-objective fitness could yield deployment-ready segmentation models.
- Clinical Deployment Studies: Evaluating the framework in longitudinal patient cohorts with clinical endpoint correlations (e.g. survival prediction and recurrence detection) can confirm real-world impact.
5. Conclusions
Author Contributions
Funding
Institutional Review Board Statement
Informed Consent Statement
Data Availability Statement
Acknowledgments
Conflicts of Interest
Appendix A. Ablation Study Details
Appendix A.1. Fold-Wise Performance Metrics
| Model | Fold 1 | Fold 2 | Fold 3 | Fold 4 | Fold 5 | Mean ± Std |
|---|---|---|---|---|---|---|
| U-Net | 0.4853 | 0.4887 | 0.4871 | 0.4850 | 0.4873 | 0.4865 ± 0.0015 |
| GA-U-Net | 0.4861 | 0.4892 | 0.4883 | 0.4875 | 0.4860 | 0.4874 ± 0.0013 |
| PSO-U-Net | 0.6121 | 0.6178 | 0.6135 | 0.6170 | 0.6160 | 0.6153 ± 0.0022 |
| PSO-GA-U-Net | 0.7321 | 0.7383 | 0.7348 | 0.7362 | 0.7381 | 0.7359 ± 0.0023 |
Appendix A.2. Metric Variability Visualization

Appendix A.3. Confidence Interval Estimation
- U-Net: ;
- GA-U-Net: ;
- PSO-U-Net: ;
- PSO-GA-U-Net: .
Appendix B. Distributional Analysis of Cross-Validation Metrics
- Meningioma exhibits narrow, peaked distributions in both DSC and JI, reflecting high stability across folds and low inter-fold variance. The tight interquartile range suggests consistent performance.
- Glioma shows a wider spread, particularly in JI. This distribution reflects greater variability due to the morphological complexity and heterogeneity of gliomas. Although the mean performance is satisfactory, some folds yielded lower values, indicating sensitivity to data partitioning.
- Pituitary performance distributions are slightly broader than meningioma but more concentrated than glioma, demonstrating strong generalization and moderate variance.

Appendix C. Distributional Analysis of BraTS 2021 Metrics
- FLAIR shows a tight distribution with high median values for both DSC and JI, reflecting robust segmentation performance and minimal outlier spread.
- T2 also maintains a high-performing distribution, similar to FLAIR, indicating strong boundary adherence and capture of tumor structures.
- T1CE shows a wider spread across both metrics, with greater variability, particularly in JI. This suggests that the model experiences inconsistent segmentation accuracy when relying solely on contrast-enhanced T1-weighted input.
- T1 is between FLAIR and T1CE, with a moderate median but slightly wider interquartile range.

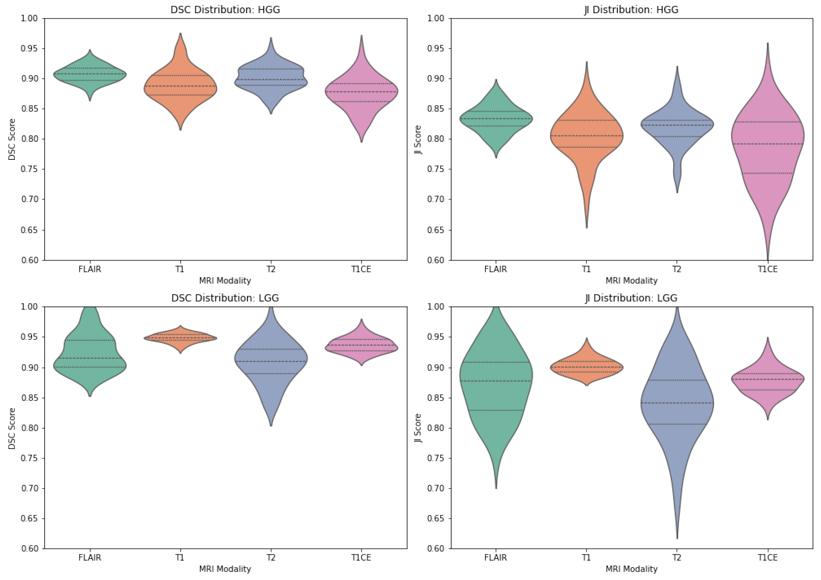
Appendix D. Violin Plot Visualizations of BraTS 2018 (HGG and LGG)

References
- Zhang, J.; Zhang, J.; Yang, C. Autophagy in brain tumors: Molecular mechanisms, challenges, and therapeutic opportunities. J. Transl. Med. 2025, 23, 52. [Google Scholar] [CrossRef]
- Batool, A.; Byun, Y.C. Brain tumor detection with integrating traditional and computational intelligence approaches across diverse imaging modalities—Challenges and future directions. Comput. Biol. Med. 2024, 175, 108412. [Google Scholar] [CrossRef]
- Ghadimi, D.J.; Vahdani, A.M.; Karimi, H.; Ebrahimi, P.; Fathi, M.; Moodi, F.; Habibzadeh, A.; Khodadadi Shoushtari, F.; Valizadeh, G.; Mobarak Salari, H.; et al. Deep Learning-Based Techniques in Glioma Brain Tumor Segmentation Using Multi-Parametric MRI: A Review on Clinical Applications and Future Outlooks. J. Magn. Reson. Imaging 2025, 61, 1094–1109. [Google Scholar] [CrossRef]
- Chukwujindu, E.; Faiz, H.; AI-Douri, S.; Faiz, K.; De Sequeira, A. Role of artificial intelligence in brain tumour imaging. Eur. J. Radiol. 2024, 176, 111509. [Google Scholar] [CrossRef]
- Rasool, N.; Bhat, J.I. A Critical Review on Segmentation of Glioma Brain Tumor and Prediction of Overall Survival. Arch. Comput. Methods Eng. 2024, 32, 1525–1569. [Google Scholar] [CrossRef]
- Datta, P.; Rohilla, R. Comprehensive Survey on Computational Techniques for Brain Tumor Detection: Past, Present and Future. Arch. Comput. Methods Eng. 2025, 32, 3241–3264. [Google Scholar] [CrossRef]
- Sreedhar, D. Evaluating the Clinical Applicability of Neural Networks for Meningioma Tumor Segmentation on Multiparametric 3D MRI. In Proceedings of the 2024 International Conference on Machine Learning and Applications (ICMLA), Miami, FL, USA, 18–20 December 2024; IEEE: Piscataway, NJ, USA, 2025; pp. 1308–1313. [Google Scholar] [CrossRef]
- Sajid Hussain, S.; Wani, N.A.; Kaur, J.; Ahmad, N.; Ahmad, S. Next-Generation Automation in Neuro-Oncology: Advanced Neural Networks for MRI-Based Brain Tumor Segmentation and Classification. IEEE Access 2025, 13, 41141–41158. [Google Scholar] [CrossRef]
- Bonato, B.; Nanni, L.; Bertoldo, A. Advancing Precision: A Comprehensive Review of MRI Segmentation Datasets from BraTS Challenges (2012–2025). Sensors 2025, 25, 1838. [Google Scholar] [CrossRef]
- Pani, K.; Chawla, I. Synthetic MRI in action: A novel framework in data augmentation strategies for robust multi-modal brain tumor segmentation. Comput. Biol. Med. 2024, 183, 109273. [Google Scholar] [CrossRef] [PubMed]
- Shivani; Agrawal, K.K.; Agrawal, G. Precision diagnosis of brain tumors: An overview of advanced machine learning techniques. In Applications of Artificial Intelligence in 5G and Internet of Things; CRC Press: London, UK, 2025; pp. 112–118. [Google Scholar] [CrossRef]
- Umarani, C.M.; Gollagi, S.; Allagi, S.; Sambrekar, K.; Ankali, S.B. Advancements in deep learning techniques for brain tumor segmentation: A survey. Inform. Med. Unlocked 2024, 50, 101576. [Google Scholar] [CrossRef]
- Das, S.; Goswami, R.S. Advancements in brain tumor analysis: A comprehensive review of machine learning, hybrid deep learning, and transfer learning approaches for MRI-based classification and segmentation. Multimed. Tools Appl. 2025, 84, 26645–26682. [Google Scholar] [CrossRef]
- Azad, R.; Aghdam, E.K.; Rauland, A.; Jia, Y.; Avval, A.H.; Bozorgpour, A.; Karimijafarbigloo, S.; Cohen, J.P.; Adeli, E.; Merhof, D. Medical Image Segmentation Review: The Success of U-Net. IEEE Trans. Pattern Anal. Mach. Intell. 2024, 46, 10076–10095. [Google Scholar] [CrossRef]
- Punn, N.S.; Agarwal, S. Modality specific U-Net variants for biomedical image segmentation: A survey. Artif. Intell. Rev. 2022, 55, 5845–5889. [Google Scholar] [CrossRef] [PubMed]
- Siddique, N.; Paheding, S.; Elkin, C.P.; Devabhaktuni, V. U-Net and Its Variants for Medical Image Segmentation: A Review of Theory and Applications. IEEE Access 2021, 9, 82031–82057. [Google Scholar] [CrossRef]
- Du, G.; Cao, X.; Liang, J.; Chen, X.; Zhan, Y. Medical Image Segmentation based on U-Net: A Review. J. Imaging Sci. Technol. 2020, 64, 020508–1–020508–12. [Google Scholar] [CrossRef]
- Saifullah, S.; Dreżewski, R. Automatic Brain Tumor Segmentation Using Convolutional Neural Networks: U-Net Framework with PSO-Tuned Hyperparameters. In Parallel Problem Solving from Nature—PPSN XVIII; Lecture Notes in Computer Science; Affenzeller, M., Winkler, S.M., Kononova, A.V., Trautmann, H., Tusar, T., Machado, P., Bäck, T., Eds.; Springer: Cham, Switzerland, 2024; Volume 15150, pp. 333–351. [Google Scholar] [CrossRef]
- Asiri, A.A.; Shaf, A.; Ali, T.; Aamir, M.; Irfan, M.; Alqahtani, S. Enhancing brain tumor diagnosis: An optimized CNN hyperparameter model for improved accuracy and reliability. PeerJ Comput. Sci. 2024, 10, e1878. [Google Scholar] [CrossRef]
- Zhang, Y.; Ngo, H.C.; Zhang, Y.; Yusof, N.F.A.; Wang, X. Imaging Segmentation of Brain Tumors Based on the Modified U-net Method. Inf. Technol. Control 2024, 53, 1074–1087. [Google Scholar] [CrossRef]
- Ali, S.; Khurram, R.; Rehman, K.U.; Yasin, A.; Shaukat, Z.; Sakhawat, Z.; Mujtaba, G. An improved 3D U-Net-based deep learning system for brain tumor segmentation using multi-modal MRI. Multimed. Tools Appl. 2024, 83, 85027–85046. [Google Scholar] [CrossRef]
- Malik, A.; Devarajan, G.G. Integrated Brain Tumor Detection: PSO-Guided Segmentation with U-Net and CNN Classification. Procedia Comput. Sci. 2024, 235, 3447–3457. [Google Scholar] [CrossRef]
- Raza, A.; Bin Musa, S.; Shahrafidz Bin Khalid, A.; Mansoor Alam, M.; Mohd Su’ud, M.; Noor, F. Enhancing Medical Image Classification Through PSO-Optimized Dual Deterministic Approach and Robust Transfer Learning. IEEE Access 2024, 12, 177144–177159. [Google Scholar] [CrossRef]
- Saifullah, S.; Dreżewski, R. Particle Swarm-Optimized U-Net Framework for Precise Multimodal Brain Tumor Segmentation. In Proceedings of the Genetic and Evolutionary Computation Conference (GECCO ’25 Companion), Malaga, Spain, 14–18 July 2025. [Google Scholar] [CrossRef]
- Shanthi, D.L.; Chethan, N. Genetic Algorithm Based Hyper-Parameter Tuning to Improve the Performance of Machine Learning Models. SN Comput. Sci. 2022, 4, 119. [Google Scholar] [CrossRef]
- Raji, I.D.; Bello-Salau, H.; Umoh, I.J.; Onumanyi, A.J.; Adegboye, M.A.; Salawudeen, A.T. Simple Deterministic Selection-Based Genetic Algorithm for Hyperparameter Tuning of Machine Learning Models. Appl. Sci. 2022, 12, 1186. [Google Scholar] [CrossRef]
- Japa, L.; Serqueira, M.; MendonçA, I.; Aritsugi, M.; Bezerra, E.; González, P.H. A Population-Based Hybrid Approach for Hyperparameter Optimization of Neural Networks. IEEE Access 2023, 11, 50752–50768. [Google Scholar] [CrossRef]
- Saifullah, S.; Dreżewski, R.; Yudhana, A.; Wielgosz, M.; Caesarendra, W. Modified U-Net with attention gate for enhanced automated brain tumor segmentation. Neural Comput. Appl. 2025, 37, 5521–5558. [Google Scholar] [CrossRef]
- Jyothi, P.; Singh, A.R. Deep learning models and traditional automated techniques for brain tumor segmentation in MRI: A review. Artif. Intell. Rev. 2023, 56, 2923–2969. [Google Scholar] [CrossRef]
- Ronneberger, O.; Fischer, P.; Brox, T. U-Net: Convolutional Networks for Biomedical Image Segmentation. In International Conference on Medical Image Computing and Computer-Assisted Intervention; Springer: Cham, Switzerland, 2015; pp. 234–241. [Google Scholar] [CrossRef]
- Saifullah, S.; Dreżewski, R. GA-UNet: Genetic Algorithm-Optimized Lightweight U-Net Architecture for Multi-Sequence Brain Tumor MRI Segmentation. IEEE Access 2025, 13, 175010–175024. [Google Scholar] [CrossRef]
- Jiangtao, W.; Ruhaiyem, N.I.R.; Panpan, F. A Comprehensive Review of U-Net and Its Variants: Advances and Applications in Medical Image Segmentation. IET Image Process. 2025, 19, e70019. [Google Scholar] [CrossRef]
- Zhang, C.; Achuthan, A.; Himel, G.M.S. State-of-the-Art and Challenges in Pancreatic CT Segmentation: A Systematic Review of U-Net and Its Variants. IEEE Access 2024, 12, 78726–78742. [Google Scholar] [CrossRef]
- Zhang, J.; Jiang, Z.; Dong, J.; Hou, Y.; Liu, B. Attention Gate ResU-Net for Automatic MRI Brain Tumor Segmentation. IEEE Access 2020, 8, 58533–58545. [Google Scholar] [CrossRef]
- Zhang, Q.; Hang, Y.; Qiu, J.; Chen, H. Application of U-Net Network Utilizing Multiattention Gate for MRI Segmentation of Brain Tumors. J. Comput. Assist. Tomogr. 2024, 48, 991–997. [Google Scholar] [CrossRef] [PubMed]
- Koteswara Rao Chinnam, S.; Sistla, V.; Krishna Kishore Kolli, V. Multimodal attention-gated cascaded U-Net model for automatic brain tumor detection and segmentation. Biomed. Signal Process. Control 2022, 78, 103907. [Google Scholar] [CrossRef]
- Rahim Khan, W.; Mustafa Madni, T.; Iqbal Janjua, U.; Javed, U.; Attique Khan, M.; Alhaisoni, M.; Tariq, U.; Cha, J.H. A Hybrid Attention-Based Residual Unet for Semantic Segmentation of Brain Tumor. Comput. Mater. Contin. 2023, 76, 647–664. [Google Scholar] [CrossRef]
- Ullah, Z.; Usman, M.; Jeon, M.; Gwak, J. Cascade multiscale residual attention CNNs with adaptive ROI for automatic brain tumor segmentation. Inf. Sci. 2022, 608, 1541–1556. [Google Scholar] [CrossRef]
- Metlek, S.; Çetıner, H. ResUNet+: A New Convolutional and Attention Block-Based Approach for Brain Tumor Segmentation. IEEE Access 2023, 11, 69884–69902. [Google Scholar] [CrossRef]
- Pandey, A.K.; Singh, S.P.; Chakraborty, C. Residual attention UNet GAN Model for enhancing the intelligent agents in retinal image analysis. Serv. Oriented Comput. Appl. 2024. [Google Scholar] [CrossRef]
- Saifullah, S.; Dreżewski, R. Redefining brain tumor segmentation: A cutting-edge convolutional neural networks-transfer learning approach. Int. J. Electr. Comput. Eng. 2024, 14, 2583. [Google Scholar] [CrossRef]
- Saifullah, S.; Dreżewski, R. Brain Tumor Segmentation Using Ensemble CNN-Transfer Learning Models: DeepLabV3plus and ResNet50 Approach. In Computational Science—ICCS 2024; Lecture Notes in Computer Science; Franco, L., de Mulatier, C., Paszynski, M., Krzhizhanovskaya, V.V., Dongarra, J.J., Sloot, P.M.A., Eds.; Springer: Cham, Switzerland, 2024; Volume 14835, pp. 340–354. [Google Scholar] [CrossRef]
- Vijay, S.; Guhan, T.; Srinivasan, K.; Vincent, P.M.D.R.; Chang, C.Y. MRI brain tumor segmentation using residual Spatial Pyramid Pooling-powered 3D U-Net. Front. Public Health 2023, 11, 1091850. [Google Scholar] [CrossRef]
- Saifullah, S.; Dreżewski, R.; Yudhana, A.; Caesarendra, W.; Huda, N. Bio-Inspired Metaheuristics in Deep Learning for Brain Tumor Segmentation: A Decade of Advances and Future Directions. Information 2025, 16, 456. [Google Scholar] [CrossRef]
- Siddique, A.A.; Raza, A.; Alshehri, M.S.; Alasbali, N.; Abbasi, S.F. Optimizing Tumor Classification Through Transfer Learning and Particle Swarm Optimization-Driven Feature Extraction. IEEE Access 2024, 12, 85929–85939. [Google Scholar] [CrossRef]
- Liu, L.; Chang, J.; Liang, G.; Xiong, S. Simulated Quantum Mechanics-Based Joint Learning Network for Stroke Lesion Segmentation and TICI Grading. IEEE J. Biomed. Health Inform. 2023, 27, 3372–3383. [Google Scholar] [CrossRef]
- Saifullah, S.; Dreżewski, R. Advanced Medical Image Segmentation Enhancement: A Particle-Swarm-Optimization-Based Histogram Equalization Approach. Appl. Sci. 2024, 14, 923. [Google Scholar] [CrossRef]
- Wortmann, T. Genetic evolution vs. function approximation: Benchmarking algorithms for architectural design optimization. J. Comput. Des. Eng. 2019, 6, 414–428. [Google Scholar] [CrossRef]
- Preethi, B.M.; Lekha, J.; Seethalakshmy, A.; Gokul, S. Adaptive Feature Selection for Brain Tumor Classification in MRI Images using Genetic Algorithm Polar Bear Optimization and SVM. J. Comput. Anal. Appl. 2024, 33, 356–375. [Google Scholar]
- Saifullah, S.; Dreżewski, R. Optimizing U-Net Architecture Using Differential Evolution for Brain Tumor Segmentation. In Computational Science—ICCS 2025; Lecture Notes in Computer Science; Lees, M.H., Cai, W., Cheong, S.A., Su, Y., Abramson, D., Dongarra, J.J., Sloot, P.M., Eds.; Springer: Cham, Switzerland, 2025; Volume 15906, pp. 403–411. [Google Scholar] [CrossRef]
- Chihaoui, M.; Dhibi, N.; Ferchichi, A. Optimization of convolutional neural network and visual geometry group-16 using genetic algorithms for pneumonia detection. Front. Med. 2024, 11, 1498403. [Google Scholar] [CrossRef] [PubMed]
- Wei, J.; Zhu, G.; Fan, Z.; Liu, J.; Rong, Y.; Mo, J.; Li, W.; Chen, X. Genetic U-Net: Automatically Designed Deep Networks for Retinal Vessel Segmentation Using a Genetic Algorithm. IEEE Trans. Med. Imaging 2022, 41, 292–307. [Google Scholar] [CrossRef]
- Khouy, M.; Jabrane, Y.; Ameur, M.; Hajjam El Hassani, A. Medical Image Segmentation Using Automatic Optimized U-Net Architecture Based on Genetic Algorithm. J. Pers. Med. 2023, 13, 1298. [Google Scholar] [CrossRef]
- Dubey, R.; Agrawal, J. An Improved Genetic Algorithm for Automated Convolutional Neural Network Design. Intell. Autom. Soft Comput. 2022, 32, 747–763. [Google Scholar] [CrossRef]
- Anwaar, A.; Ashraf, A.; Bangyal, W.H.K.; Iqbal, M. Genetic Algorithms: Brief review on Genetic Algorithms for Global Optimization Problems. In Proceedings of the 2022 Human-Centered Cognitive Systems (HCCS), Shanghai, China, 17–18 December 2022; IEEE: Piscataway, NJ, USA, 2023; pp. 1–6. [Google Scholar] [CrossRef]
- Jiang, P.; Xue, Y.; Neri, F. Continuously evolving dropout with multi-objective evolutionary optimisation. Eng. Appl. Artif. Intell. 2023, 124, 106504. [Google Scholar] [CrossRef]
- Arif, M.; Jims, A.; F., A.; Geman, O.; Craciun, M.D.; Leuciuc, F. Application of Genetic Algorithm and U-Net in Brain Tumor Segmentation and Classification: A Deep Learning Approach. Comput. Intell. Neurosci. 2022, 2022, 5625757. [Google Scholar] [CrossRef]
- Ghazouani, F.; Vera, P.; Ruan, S. Efficient brain tumor segmentation using Swin transformer and enhanced local self-attention. Int. J. Comput. Assist. Radiol. Surg. 2023, 19, 273–281. [Google Scholar] [CrossRef]
- Nancy, A.M.; Maheswari, R. Brain tumor segmentation and classification using transfer learning based CNN model with model agnostic concept interpretation. Multimed. Tools Appl. 2024, 84, 2509–2538. [Google Scholar] [CrossRef]
- Jiang, Z.; Ding, C.; Liu, M.; Tao, D. Two-Stage Cascaded U-Net: 1st Place Solution to BraTS Challenge 2019 Segmentation Task. In Brainlesion: Glioma, Multiple Sclerosis, Stroke and Traumatic Brain Injuries; Lecture Notes in Computer Science; Crimi, A., Bakas, S., Eds.; Springer: Cham, Switzerland, 2020; pp. 231–241. [Google Scholar] [CrossRef]
- Yousef, R.; Khan, S.; Gupta, G.; Albahlal, B.M.; Alajlan, S.A.; Ali, A. Bridged-U-Net-ASPP-EVO and Deep Learning Optimization for Brain Tumor Segmentation. Diagnostics 2023, 13, 2633. [Google Scholar] [CrossRef]
- Cheng, J.; Huang, W.; Cao, S.; Yang, R.; Yang, W.; Yun, Z.; Wang, Z.; Feng, Q. Enhanced Performance of Brain Tumor Classification via Tumor Region Augmentation and Partition. PLoS ONE 2015, 10, e0140381. [Google Scholar] [CrossRef] [PubMed]
- Baid, U.; Ghodasara, S.; Mohan, S.; Bilello, M.; Calabrese, E.; Colak, E.; Farahani, K.; Kalpathy-Cramer, J.; Kitamura, F.C.; Pati, S.; et al. RSNA-ASNR-MICCAI-BraTS-2021 Dataset. 2023. Available online: https://www.cancerimagingarchive.net/analysis-result/rsna-asnr-miccai-brats-2021/ (accessed on 6 March 2024). [CrossRef]
- Menze, B.H.; Jakab, A.; Bauer, S.; Kalpathy-Cramer, J.; Farahani, K.; Kirby, J.; Burren, Y.; Porz, N.; Slotboom, J.; Van Leemput, K.; et al. The Multimodal Brain Tumor Image Segmentation Benchmark (BRATS). IEEE Trans. Med. Imaging 2015, 34, 1993–2024. [Google Scholar] [CrossRef]
- Bakas, S.; Akbari, H.; Sotiras, A.; Bilello, M.; Rozycki, M.; Kirby, J.S.; Freymann, J.B.; Farahani, K.; Davatzikos, C. Advancing The Cancer Genome Atlas glioma MRI collections with expert segmentation labels and radiomic features. Sci. Data 2017, 4, 170117. [Google Scholar] [CrossRef] [PubMed]
- Bakas, S.; Reyes, M.; Jakab, A.; Bauer, S.; Rempfler, M.; Crimi, A.; Shinohara, R.T.; Berger, C.; Ha, S.M.; Rozycki, M.; et al. Identifying the Best Machine Learning Algorithms for Brain Tumor Segmentation, Progression Assessment, and Overall Survival Prediction in the BRATS Challenge. arXiv 2018, arXiv:1811.02629. [Google Scholar] [CrossRef]
- Abou Ali, M.; Charafeddine, J.; Dornaika, F.; Arganda-Carreras, I. Enhancing Generalization and Mitigating Overfitting in Deep Learning for Brain Cancer Diagnosis from MRI. Appl. Magn. Reson. 2025, 56, 359–394. [Google Scholar] [CrossRef]
- Tran, A.T.; Zeevi, T.; Payabvash, S. Strategies to Improve the Robustness and Generalizability of Deep Learning Segmentation and Classification in Neuroimaging. BioMedInformatics 2025, 5, 20. [Google Scholar] [CrossRef] [PubMed]
- Li, Y.; Ammari, S.; Balleyguier, C.; Lassau, N.; Chouzenoux, E. Impact of Preprocessing and Harmonization Methods on the Removal of Scanner Effects in Brain MRI Radiomic Features. Cancers 2021, 13, 3000. [Google Scholar] [CrossRef]
- Vitale, S.; Orlando, J.I.; Iarussi, E.; Díaz, A.; Larrabide, I. Improving realism in abdominal ultrasound simulation combining a segmentation-guided loss and polar coordinates training. Med. Phys. 2025, 52, 4540–4556. [Google Scholar] [CrossRef]
- Parimanam, K.; Lakshmanan, L.; Palaniswamy, T. Hybrid optimization based learning technique for multi-disease analytics from healthcare big data using optimal pre-processing, clustering and classifier. Concurr. Comput. Pract. Exp. 2022, 34, e6986. [Google Scholar] [CrossRef]
- Mahmud, M.I.; Mamun, M.; Abdelgawad, A. A Deep Analysis of Brain Tumor Detection from MR Images Using Deep Learning Networks. Algorithms 2023, 16, 176. [Google Scholar] [CrossRef]
- Ghaffar, A.; Javid, M.A.; Yaseen, K.; Ali, N.; Arshad, S.; El-Bahkiry, H.S.; Hassani, M.K.; Akgül, A. Innovative fusion: MRSI-guided brain tumour classification via integrated image segmentation and GLCM feature extraction. Comput. Methods Biomech. Biomed. Eng. Imaging Vis. 2025, 13, 2479707. [Google Scholar] [CrossRef]
- Pal, A.; Kruk, J.; Phute, M.; Bhattaram, M.; Yang, D.; Chau, D.H.; Hoffman, J. Semi-Truths: A Large-Scale Dataset of AI-Augmented Images for Evaluating Robustness of AI-Generated Image detectors. In Proceedings of the Advances in Neural Information Processing Systems; Globerson, A., Mackey, L., Belgrave, D., Fan, A., Paquet, U., Tomczak, J., Zhang, C., Eds.; Neural Information Processing Systems Foundation, Inc.: San Diego, CA, USA, 2024; Volume 37, pp. 118025–118051. [Google Scholar]
- Singha, A.; Thakur, R.S.; Patel, T. Deep Learning Applications in Medical Image Analysis. In Biomedical Data Mining for Information Retrieval; Wiley: Hoboken, NJ, USA, 2021; pp. 293–350. [Google Scholar] [CrossRef]
- Pang, J.; Li, X.; Han, S. PSO with Mixed Strategy for Global Optimization. Complexity 2023, 2023, 7111548. [Google Scholar] [CrossRef]
- Abualigah, L.; Sheikhan, A.; M. Ikotun, A.; Zitar, R.A.; Alsoud, A.R.; Al-Shourbaji, I.; Hussien, A.G.; Jia, H. Particle swarm optimization algorithm: Review and applications. In Metaheuristic Optimization Algorithms; Elsevier: Amsterdam, The Netherlands, 2024; pp. 1–14. [Google Scholar] [CrossRef]
- Gad, A.G. Particle Swarm Optimization Algorithm and Its Applications: A Systematic Review. Arch. Comput. Methods Eng. 2022, 29, 2531–2561. [Google Scholar] [CrossRef]
- Dar, M.F.; Ganivada, A. Deep learning and genetic algorithm-based ensemble model for feature selection and classification of breast ultrasound images. Image Vis. Comput. 2024, 146, 105018. [Google Scholar] [CrossRef]
- El Abassi, F.; Darouichi, A.; Ouaarab, A. Refining U-Net Architecture Through Genetic Algorithms for Improved Skin Lesion Image Segmentation. In Intelligent Systems and Pattern Recognition. ISPR 2024. Communications in Computer and Information Science; Bennour, A., Bouridane, A., Almaadeed, S., Bouaziz, B., Edirisinghe, E., Eds.; Springer: Cham, Switzerland, 2025; Volume 2305, pp. 135–149. [Google Scholar] [CrossRef]
- Das, S.; Swain, M.K.; Nayak, G.K.; Saxena, S.; Satpathy, S.C. Effect of learning parameters on the performance of U-Net Model in segmentation of Brain tumor. Multimed. Tools Appl. 2022, 81, 34717–34735. [Google Scholar] [CrossRef]
- Maniatopoulos, A.; Mitianoudis, N. Learnable Leaky ReLU (LeLeLU): An Alternative Accuracy-Optimized Activation Function. Information 2021, 12, 513. [Google Scholar] [CrossRef]
- Varshney, M.; Singh, P. Optimizing nonlinear activation function for convolutional neural networks. Signal Image Video Process. 2021, 15, 1323–1330. [Google Scholar] [CrossRef]
- Krithika alias AnbuDevi, M.; Suganthi, K. Review of Semantic Segmentation of Medical Images Using Modified Architectures of UNET. Diagnostics 2022, 12, 3064. [Google Scholar] [CrossRef] [PubMed]
- Liu, L.; Qi, H. Learning Effective Binary Descriptors via Cross Entropy. In Proceedings of the 2017 IEEE Winter Conference on Applications of Computer Vision (WACV), Santa Rosa, CA, USA, 24–31 March 2017; IEEE: Piscataway, NJ, USA, 2017; pp. 1251–1258. [Google Scholar] [CrossRef]
- Shu, H. Symmetrization weighted binary cross-entropy: Modeling perceptual asymmetry for human-consistent neural edge detection. Appl. Soft Comput. 2026, 192, 114750. [Google Scholar] [CrossRef]
- Saifullah, S.; Dreżewski, R.; Yudhana, A. Advanced brain tumor segmentation using DeepLabV3Plus with Xception encoder on a multi-class MR image dataset. Multimed. Tools Appl. 2025, 84, 38071–38092. [Google Scholar] [CrossRef]
- Irfan, M.; Shaf, A.; Ali, T.; Farooq, U.; Rahman, S.; Nasar Faraj Mursal, S.; Jalalah, M.; M. Alqhtani, S.; AlShorman, O. Effectiveness of Deep Learning Models for Brain Tumor Classification and Segmentation. Comput. Mater. Contin. 2023, 76, 711–729. [Google Scholar] [CrossRef]
- Saifullah, S.; Dreżewski, R.; Yudhana, A.; Suryotomo, A.P. Automatic Brain Tumor Segmentation: Advancing U-Net with ResNet50 Encoder for Precise Medical Image Analysis. IEEE Access 2025, 13, 43473–43489. [Google Scholar] [CrossRef]
- Murmu, A.; Kumar, P. A novel Gateaux derivatives with efficient DCNN-Resunet method for segmenting multi-class brain tumor. Med. Biol. Eng. Comput. 2023, 61, 2115–2138. [Google Scholar] [CrossRef]
- Kumar Tiwary, P.; Johri, P.; Katiyar, A.; Chhipa, M.K. Deep Learning-Based MRI Brain Tumor Segmentation with EfficientNet-Enhanced UNet. IEEE Access 2025, 13, 54920–54937. [Google Scholar] [CrossRef]
- Preetha, R.; Jasmine Pemeena Priyadarsini, M.; Nisha, J.S. Brain tumor segmentation using multi-scale attention U-Net with EfficientNetB4 encoder for enhanced MRI analysis. Sci. Rep. 2025, 15, 9914. [Google Scholar] [CrossRef]
- Davar, S.; Fevens, T. Enhanced U-Net Architecture for Brain Tumour Localization and Segmentation in T1-Weighted MRI. IEEE Trans. Circuits Syst. II Express Briefs 2025, 72, 993–997. [Google Scholar] [CrossRef]
- Xiong, M.; Wu, A.; Yang, Y.; Fu, Q. Efficient Brain Tumor Segmentation for MRI Images Using YOLO-BT. Sensors 2025, 25, 3645. [Google Scholar] [CrossRef]
- Alkhalid, F.F.; Salih, N.Z. Implementation of biomedical segmentation for brain tumor utilizing an adapted U-net model. Comput. Biol. Med. 2025, 194, 110531. [Google Scholar] [CrossRef]
- El Badaoui, R.; Bonmati Coll, E.; Psarrou, A.; Asaturyan, H.A.; Villarini, B. Enhanced CATBraTS for Brain Tumour Semantic Segmentation. J. Imaging 2025, 11, 8. [Google Scholar] [CrossRef]
- Sachdeva, J.; Sharma, D.; Ahuja, C.K. Multiscale segmentation net for segregating heterogeneous brain tumors: Gliomas on multimodal MR images. Image Vis. Comput. 2024, 149, 105191. [Google Scholar] [CrossRef]
- Hernandez-Gutierrez, F.D.; Avina-Bravo, E.G.; Zambrano-Gutierrez, D.F.; Almanza-Conejo, O.; Ibarra-Manzano, M.A.; Ruiz-Pinales, J.; Ovalle-Magallanes, E.; Avina-Cervantes, J.G. Brain Tumor Segmentation from Optimal MRI Slices Using a Lightweight U-Net. Technologies 2024, 12, 183. [Google Scholar] [CrossRef]
- Mojtahedi, R.; Hamghalam, M.; Simpson, A.L. Multi-modal Brain Tumour Segmentation Using Transformer with Optimal Patch Size. In Brainlesion: Glioma, Multiple Sclerosis, Stroke and Traumatic Brain Injuries; Lecture Notes in Computer Science; Bakas, S., Crimi, A., Baid, U., Malec, S., Pytlarz, M., Baheti, B., Zenk, M., Dorent, R., Eds.; Springer: Cham, Switzerland, 2023; Volume 13769, pp. 195–204. [Google Scholar] [CrossRef]
- Bouchet, P.; Deloges, J.B.; Canton-Bacara, H.; Pusel, G.; Pinot, L.; Elbaz, O.; Boutry, N. An Efficient Cascade of U-Net-Like Convolutional Neural Networks Devoted to Brain Tumor Segmentation. In Brainlesion: Glioma, Multiple Sclerosis, Stroke and Traumatic Brain Injuries; Lecture Notes in Computer Science; Bakas, S., Crimi, A., Baid, U., Malec, S., Pytlarz, M., Baheti, B., Zenk, M., Dorent, R., Eds.; Springer: Cham, Switzerland, 2023; Volume 13769, pp. 149–161. [Google Scholar] [CrossRef]
- Sadique, M.S.; Rahman, M.M.; Farzana, W.; Temtam, A.; Iftekharuddin, K.M. Brain Tumor Segmentation Using Neural Ordinary Differential Equations with UNet-Context Encoding Network. In Brainlesion: Glioma, Multiple Sclerosis, Stroke and Traumatic Brain Injuries; Lecture Notes in Computer Science; Bakas, S., Crimi, A., Baid, U., Malec, S., Pytlarz, M., Baheti, B., Zenk, M., Dorent, R., Eds.; Springer: Cham, Switzerland, 2023; pp. 205–215. [Google Scholar] [CrossRef]
- Hu, K.; Gan, Q.; Zhang, Y.; Deng, S.; Xiao, F.; Huang, W.; Cao, C.; Gao, X. Brain Tumor Segmentation Using Multi-Cascaded Convolutional Neural Networks and Conditional Random Field. IEEE Access 2019, 7, 92615–92629. [Google Scholar] [CrossRef]
- Li, X.; Jiang, Y.; Li, M.; Zhang, J.; Yin, S.; Luo, H. MSFR-Net: Multi-modality and single-modality feature recalibration network for brain tumor segmentation. Med. Phys. 2023, 50, 2249–2262. [Google Scholar] [CrossRef] [PubMed]
- Dash, S.; Mishra, S.; Siddique, M.; Gelmecha, D.J.; Singh, R.S. Improved Deviation Sparse Fuzzy C-Means-2D Cumulative Sum Average Filter and Modified Sine Cosine Crow Search Algorithm-Wavelet Extreme Learning Machine for Brain Tumor Detection and Classification. Appl. Comput. Intell. Soft Comput. 2025, 2025, 9991264. [Google Scholar] [CrossRef]
- Saeed, M.U.; Ali, G.; Bin, W.; Almotiri, S.H.; AlGhamdi, M.A.; Nagra, A.A.; Masood, K.; Amin, R.U. RMU-Net: A Novel Residual Mobile U-Net Model for Brain Tumor Segmentation from MR Images. Electronics 2021, 10, 1962. [Google Scholar] [CrossRef]
- Zhou, T.; Wang, Z.; Liu, X.; Liu, W.; Zhu, S. Learning deep feature representations for multi-modal MR brain tumor segmentation. Neurocomputing 2025, 638, 130162. [Google Scholar] [CrossRef]
- Zhou, C.; Chen, S.; Ding, C.; Tao, D. Learning Contextual and Attentive Information for Brain Tumor Segmentation. In Brainlesion: Glioma, Multiple Sclerosis, Stroke and Traumatic Brain Injuries; Lecture Notes in Computer Science; Crimi, A., Bakas, S., Kuijf, H., Keyvan, F., Reyes, M., van Walsum, T., Eds.; Springer: Cham, Switzerland, 2019; Volume 11384, pp. 497–507. [Google Scholar] [CrossRef]
- Ullah, F.; Ansari, S.U.; Hanif, M.; Ayari, M.A.; Chowdhury, M.E.H.; Khandakar, A.A.; Khan, M.S. Brain MR Image Enhancement for Tumor Segmentation Using 3D U-Net. Sensors 2021, 21, 7528. [Google Scholar] [CrossRef]
- Wang, G.; Li, W.; Ourselin, S.; Vercauteren, T. Automatic Brain Tumor Segmentation Using Convolutional Neural Networks with Test-Time Augmentation. In Brainlesion: Glioma, Multiple Sclerosis, Stroke and Traumatic Brain Injuries; Lecture Notes in Computer Science; Crimi, A., Bakas, S., Kuijf, H., Keyvan, F., Reyes, M., van Walsum, T., Eds.; Springer: Cham, Switzerland, 2019; Volume 11384, pp. 61–72. [Google Scholar] [CrossRef]
- Albiol, A.; Albiol, A.; Albiol, F. Extending 2D Deep Learning Architectures to 3D Image Segmentation Problems. In Brainlesion: Glioma, Multiple Sclerosis, Stroke and Traumatic Brain Injuries; Lecture Notes in Computer Science; Crimi, A., Bakas, S., Kuijf, H., Keyvan, F., Reyes, M., van Walsum, T., Eds.; Springer: Cham, Switzerland, 2019; Volume 11384, pp. 73–82. [Google Scholar] [CrossRef]
- Rehman, M.U.; Cho, S.; Kim, J.; Chong, K.T. BrainSeg-Net: Brain Tumor MR Image Segmentation via Enhanced Encoder–Decoder Network. Diagnostics 2021, 11, 169. [Google Scholar] [CrossRef]
- Dong, H.; Yang, G.; Liu, F.; Mo, Y.; Guo, Y. Automatic Brain Tumor Detection and Segmentation Using U-Net Based Fully Convolutional Networks. In Medical Image Understanding and Analysis. MIUA 2017. Communications in Computer and Information Science; Valdés Hernández, M., González-Castro, V., Eds.; Springer: Cham, Switzerland, 2017; Volume 723, pp. 506–517. [Google Scholar] [CrossRef]


















| Gen | LR | DO | BS | KS | Encoder Layers | BT | Activation | Optimizer | DSC |
|---|---|---|---|---|---|---|---|---|---|
| 1 | 0.0725 | 0.4 | 8 | (3, 3) | [32, 64, 128, 256] | 128 | leaky_relu | rmsprop | 0.7524 |
| 2 | 0.0095 | 0.1 | 8 | (3, 3) | [64, 128, 256, 512] | 128 | leaky_relu | rmsprop | 0.7086 |
| 3 | 0.0095 | 0.4 | 8 | (3, 3) | [64, 128, 512] | 1024 | elu | rmsprop | 0.6925 |
| 4 | 0.0095 | 0.4 | 8 | (3, 3) | [64, 128, 512] | 128 | leaky_relu | rmsprop | 0.6728 |
| 5 | 0.0095 | 0.4 | 8 | (3, 3) | [64, 128, 512] | 128 | leaky_relu | rmsprop | 0.6955 |
| 6 | 0.0624 | 0.5 | 8 | (3, 3) | [32, 64, 128, 512] | 128 | leaky_relu | rmsprop | 0.7023 |
| 7 | 0.0095 | 0.4 | 8 | (3, 3) | [64, 128, 512] | 128 | elu | sgd | 0.1593 |
| 8 | 0.0095 | 0.2 | 32 | (3, 3) | [64, 128, 512] | 128 | leaky_relu | adam | 0.4187 |
| 9 | 0.0095 | 0.4 | 32 | (3, 3) | [64, 128, 512] | 128 | leaky_relu | adam | 0.6747 |
| 10 | 0.0095 | 0.4 | 32 | (3, 3) | [64, 128, 256, 512] | 128 | leaky_relu | adam | 0.7662 |
| Method | DSC | IoU | Accuracy | Loss |
|---|---|---|---|---|
| GA | 0.4874 | 0.3231 | 0.9886 | 0.0342 |
| PSO | 0.6153 | 0.4510 | 0.9912 | 0.0308 |
| PSO-GA (Hybrid) | 0.7359 | 0.5857 | 0.9929 | 0.0321 |
| Model | DSC | IoU | Accuracy | Loss |
|---|---|---|---|---|
| U-Net | 0.4865 | 0.3223 | 0.9885 | 0.0350 |
| GA-U-Net | 0.4874 (+0.19%) n.s. | 0.3231 (+0.25%) n.s. | 0.9886 (+0.01%) n.s. | 0.0342 (−2.29%) n.s. |
| PSO-U-Net | 0.6153 (+26.47%) * | 0.4510 (+39.93%) * | 0.9912 (+0.27%) * | 0.0308 (−11.85%) * |
| PSO-GA-U-Net | 0.7359 (+51.27%) * | 0.5857 (+81.72%) * | 0.9929 (+0.45%) * | 0.0321 (−8.29%) * |
| Model | Parameters | Epoch Time (s) | Training Time (50 Epochs) |
|---|---|---|---|
| U-Net | 34,513,410 | 39.2 | 32.7 min |
| GA-U-Net | 6,166,433 | 30.0 | 25.0 min |
| PSO-U-Net | 7,771,873 | 23.0 | 30.0 min |
| PSO-GA-U-Net | 17,000,193 | 37.0 | 30.83 min |
| Class | Augment | Training | Validation | ||||||
|---|---|---|---|---|---|---|---|---|---|
| Acc | Loss | DSC | JI | Acc | Loss | DSC | JI | ||
| Meningioma | No | 0.9971 | 0.0084 | 0.8624 | 0.7600 | 0.9966 | 0.0094 | 0.8728 | 0.7755 |
| Meningioma | Yes | 0.9985 | 0.0039 | 0.9327 | 0.8743 | 0.9979 | 0.0064 | 0.9257 | 0.8620 |
| Glioma | No | 0.9904 | 0.0247 | 0.6722 | 0.5096 | 0.9836 | 0.0537 | 0.4782 | 0.3207 |
| Glioma | Yes | 0.9935 | 0.0166 | 0.7857 | 0.6503 | 0.9908 | 0.0281 | 0.7132 | 0.5597 |
| Pituitary | No | 0.9983 | 0.0043 | 0.8462 | 0.7344 | 0.9978 | 0.0063 | 0.8279 | 0.7095 |
| Pituitary | Yes | 0.9986 | 0.0034 | 0.8778 | 0.7830 | 0.9981 | 0.0057 | 0.8573 | 0.7520 |
| Class | Validation | Testing | ||||||
|---|---|---|---|---|---|---|---|---|
| Acc | Loss | DSC | JI | Acc | Loss | DSC | JI | |
| Meningioma | +0.0013 | −0.0030 | +0.0529 | +0.0865 | +0.0010 | −0.0019 | +0.0394 | +0.0677 |
| Glioma | +0.0072 | −0.0256 | +0.2350 | +0.2390 | +0.0051 | −0.0211 | +0.2184 | +0.2237 |
| Pituitary | +0.0003 | −0.0006 | +0.0294 | +0.0425 | +0.0005 | −0.0013 | +0.0429 | +0.0644 |
| Class | Fold | Accuracy | Loss | DSC | JI |
|---|---|---|---|---|---|
| Meningioma | F1–F5 Avg | 0.9992 | 0.0018 | 0.9698 | 0.9414 |
| Glioma | F1–F5 Avg | 0.9970 | 0.0081 | 0.9054 | 0.8280 |
| Pituitary | F1–F5 Avg | 0.9994 | 0.0013 | 0.9481 | 0.9014 |
| Class | T-Stat | p Value | 95% CI [Loc, Scale] |
|---|---|---|---|
| Meningioma | 8.0331 | 0.0013 | [0.9473, 0.9765] |
| Glioma | 7.9285 | 0.0014 | [0.7808, 0.9379] |
| Pituitary | 7.9872 | 0.0013 | [0.8870, 0.9572] |
| Modality | Training | Validation | Testing | |||||||||
|---|---|---|---|---|---|---|---|---|---|---|---|---|
| Acc | Loss | DSC | JI | Acc | Loss | DSC | JI | Acc | Loss | DSC | JI | |
| FLAIR | 0.9976 | 0.0057 | 0.9424 | 0.8911 | 0.9967 | 0.0081 | 0.9331 | 0.8747 | 0.9973 | 0.0063 | 0.9406 | 0.8881 |
| T1 | 0.9967 | 0.0081 | 0.9179 | 0.8485 | 0.9963 | 0.0088 | 0.9200 | 0.8520 | 0.9971 | 0.0069 | 0.9344 | 0.8770 |
| T2 | 0.9970 | 0.0073 | 0.9279 | 0.8656 | 0.9964 | 0.0090 | 0.9187 | 0.8498 | 0.9974 | 0.0061 | 0.9405 | 0.8877 |
| T1CE | 0.9962 | 0.0092 | 0.9090 | 0.8334 | 0.9954 | 0.0114 | 0.9021 | 0.8219 | 0.9958 | 0.0097 | 0.9168 | 0.8466 |
| Modality | T-Stat | p Value | 95% CI [Loc, Scale] |
|---|---|---|---|
| FLAIR | 11.0254 | 0.0004 | [0.8794, 0.9379] |
| T1 | 8.3864 | 0.0011 | [0.8148, 0.9350] |
| T2 | 8.2421 | 0.0012 | [0.8524, 0.9445] |
| T1CE | 10.5462 | 0.0005 | [0.8160, 0.9167] |
| Modality | Training | Validation | Testing | |||||||||
|---|---|---|---|---|---|---|---|---|---|---|---|---|
| Acc | Loss | DSC | JI | Acc | Loss | DSC | JI | Acc | Loss | DSC | JI | |
| FLAIR | 0.9973 | 0.0065 | 0.9114 | 0.8375 | 0.9966 | 0.0087 | 0.9269 | 0.8647 | 0.9964 | 0.0109 | 0.9087 | 0.8330 |
| T1 | 0.9968 | 0.0077 | 0.9007 | 0.8197 | 0.9970 | 0.0072 | 0.9218 | 0.8554 | 0.9979 | 0.0054 | 0.9270 | 0.8640 |
| T2 | 0.9971 | 0.0071 | 0.9098 | 0.8347 | 0.9970 | 0.0072 | 0.9266 | 0.8638 | 0.9980 | 0.0047 | 0.9316 | 0.8720 |
| T1CE | 0.9968 | 0.0077 | 0.9028 | 0.8230 | 0.9968 | 0.0076 | 0.9221 | 0.8563 | 0.9977 | 0.0055 | 0.9193 | 0.8507 |
| Modality | T-Stat | p Value | 95% CI [Loc, Scale] |
|---|---|---|---|
| FLAIR | 17.1374 | 6.8011 | [0.8899, 0.9250] |
| T1 | 10.7844 | 0.0004 | [0.8553, 0.9277] |
| T2 | 13.5308 | 0.0002 | [0.8761, 0.9263] |
| T1CE | 9.8723 | 0.0006 | [0.8389, 0.9247] |
| Modality | Training | Validation | Testing | |||||||||
|---|---|---|---|---|---|---|---|---|---|---|---|---|
| Acc | Loss | DSC | JI | Acc | Loss | DSC | JI | Acc | Loss | DSC | JI | |
| FLAIR | 0.9984 | 0.0037 | 0.9680 | 0.9379 | 0.9980 | 0.0047 | 0.9569 | 0.9173 | 0.9985 | 0.0035 | 0.9770 | 0.9550 |
| T1 | 0.9981 | 0.0047 | 0.9583 | 0.9199 | 0.9985 | 0.0035 | 0.9651 | 0.9325 | 0.9985 | 0.0036 | 0.9758 | 0.9528 |
| T2 | 0.9977 | 0.0056 | 0.9504 | 0.9056 | 0.9979 | 0.0055 | 0.9545 | 0.9130 | 0.9981 | 0.0045 | 0.9712 | 0.9441 |
| T1CE | 0.9977 | 0.0055 | 0.9495 | 0.9039 | 0.9981 | 0.0046 | 0.9568 | 0.9171 | 0.9983 | 0.0040 | 0.9730 | 0.9474 |
| Modality | T-Stat | p Value | 95% CI [Loc, Scale] |
|---|---|---|---|
| FLAIR | 6.0138 | 0.0038 | [0.8836, 0.9672] |
| T1 | 14.1150 | 0.0001 | [0.9397, 0.9609] |
| T2 | 5.8641 | 0.0042 | [0.8693, 0.9658] |
| T1CE | 11.0614 | 0.0004 | [0.9202, 0.9553] |
| Class | DSC | JI | HD | ASSD |
|---|---|---|---|---|
| Meningioma | 0.9788 | 0.9585 | 1.0000 | 0.0212 |
| Glioma | 0.9444 | 0.8947 | 3.6056 | 0.0824 |
| Pituitary | 0.9590 | 0.9212 | 1.4142 | 0.0405 |
| Modality | DSC | JI | HD | ASSD |
|---|---|---|---|---|
| FLAIR | 0.9731 | 0.9476 | 2.2361 | 0.0311 |
| T1 | 0.9563 | 0.9162 | 3.6056 | 0.0603 |
| T2 | 0.9682 | 0.9384 | 3.6056 | 0.0417 |
| T1CE | 0.9541 | 0.9122 | 4.4721 | 0.0679 |
| Grade | Modality | DSC | JI | HD | ASSD |
|---|---|---|---|---|---|
| HGG | FLAIR | 0.9554 | 0.9146 | 5.3852 | 0.0545 |
| T1 | 0.9596 | 0.9223 | 8.5440 | 0.0511 | |
| T2 | 0.9604 | 0.9237 | 8.2462 | 0.0488 | |
| T1CE | 0.9581 | 0.9196 | 7.6158 | 0.0489 | |
| LGG | FLAIR | 0.9739 | 0.9492 | 4.0000 | 0.0322 |
| T1 | 0.9840 | 0.9685 | 65.146 | 0.0849 | |
| T2 | 0.9836 | 0.9677 | 2.8284 | 0.0179 | |
| T1CE | 0.9842 | 0.9689 | 2.0000 | 0.0166 |
| Method | DSC | JI |
|---|---|---|
| Proposed (PSO-GA-U-Net) | 0.9587 | 0.9209 |
| U-Net-AG * [31] | 0.9521 | 0.9093 |
| ResUnet-TL [90] | 0.9194 | - |
| DeepLabV3+ ResNet18 [41] | 0.9124 | - |
| U-Net-T-PSO [18] | 0.9312 | 0.8722 |
| U-Net-ResNet50 [89] | 0.9553 | 0.9151 |
| EfficientNet-U-Net [91] | 0.9132 | - |
| Residual-Attention-U-Net [8] | 0.9110 | 0.8930 |
| EfficientNetB4 [92] | 0.9339 | 0.8795 |
| YOLO-U-Net [93] | 0.9273 | 0.8915 |
| YOLO-BT-UNetV2 [94] | 0.9260 | 0.8630 |
| Self-Attention U-Net [95] | 0.9327 | 0.7800 |
| YOLO-M-U-Net [93] | 0.8915 | 0.8833 |
| Method | DSC | JI |
|---|---|---|
| Proposed (PSO-GA-U-Net) | 0.9406 | 0.8881 |
| U-Net-AG [31] | 0.9095 | 0.8323 |
| E-CATBraTS [96] | 0.8510 | 0.7660 |
| AWA-VGG-19 [59] | 0.9273 | - |
| SPPNet-2 [43] | 0.9040 | - |
| ViT-self-attention [58] | 0.9174 | - |
| MS-Segnet [97] | 0.9200 | - |
| U-Net-ASPP-EVO [61] | 0.9251 | - |
| U-Net [98] | 0.8600 | 0.7807 |
| ViT-24 [99] | 0.8048 | - |
| ResU-Net [100] | 0.8841 | - |
| 2C-U-Net [60] | 0.8370 | - |
| UNCE-NODE [101] | 0.8949 | - |
| Method | DSC | JI |
|---|---|---|
| Proposed (PSO-GA-U-Net) | 0.9480 | 0.9024 |
| MCCNN-CRFs [102] | 0.8824 | - |
| MSFR-Net [103] | 0.8600 | - |
| IDSFCM [104] | 0.9418 | 0.9287 |
| RMU-Net [105] | 0.9080 | 0.8956 |
| U-Net-ResNet50 [89] | 0.9202 | 0.8536 |
| MFFM + SCFFM (Baseline) [106] | 0.8460 | - |
| OM-Net [107] | 0.9074 | - |
| U-Net-Prep [108] | 0.9000 | - |
| Cascaded Networks [109] | 0.8956 | - |
| Ensemble-Net [110] | 0.8824 | - |
| BrainSeg-Net [111] | 0.8940 | - |
| U-Net-FCN [112] | 0.8600 | - |
| AGResU-Net [34] | 0.8760 | - |
Disclaimer/Publisher’s Note: The statements, opinions and data contained in all publications are solely those of the individual author(s) and contributor(s) and not of MDPI and/or the editor(s). MDPI and/or the editor(s) disclaim responsibility for any injury to people or property resulting from any ideas, methods, instructions or products referred to in the content. |
© 2026 by the authors. Licensee MDPI, Basel, Switzerland. This article is an open access article distributed under the terms and conditions of the Creative Commons Attribution (CC BY) license.
Share and Cite
Saifullah, S.; Dreżewski, R.; Yudhana, A.; Tanone, R.; Suryotomo, A.P. A Hybrid Particle Swarm–Genetic Algorithm Framework for U-Net Hyperparameter Optimization in High-Precision Brain Tumor MRI Segmentation. Appl. Sci. 2026, 16, 3041. https://doi.org/10.3390/app16063041
Saifullah S, Dreżewski R, Yudhana A, Tanone R, Suryotomo AP. A Hybrid Particle Swarm–Genetic Algorithm Framework for U-Net Hyperparameter Optimization in High-Precision Brain Tumor MRI Segmentation. Applied Sciences. 2026; 16(6):3041. https://doi.org/10.3390/app16063041
Chicago/Turabian StyleSaifullah, Shoffan, Rafał Dreżewski, Anton Yudhana, Radius Tanone, and Andiko Putro Suryotomo. 2026. "A Hybrid Particle Swarm–Genetic Algorithm Framework for U-Net Hyperparameter Optimization in High-Precision Brain Tumor MRI Segmentation" Applied Sciences 16, no. 6: 3041. https://doi.org/10.3390/app16063041
APA StyleSaifullah, S., Dreżewski, R., Yudhana, A., Tanone, R., & Suryotomo, A. P. (2026). A Hybrid Particle Swarm–Genetic Algorithm Framework for U-Net Hyperparameter Optimization in High-Precision Brain Tumor MRI Segmentation. Applied Sciences, 16(6), 3041. https://doi.org/10.3390/app16063041

