Study of Seismic Behavior of an Urban Underpass Tunnel in Soft Soil Through 3D Numerical Modeling
Abstract
1. Introduction
2. Problem Statement
3. Numerical Modeling
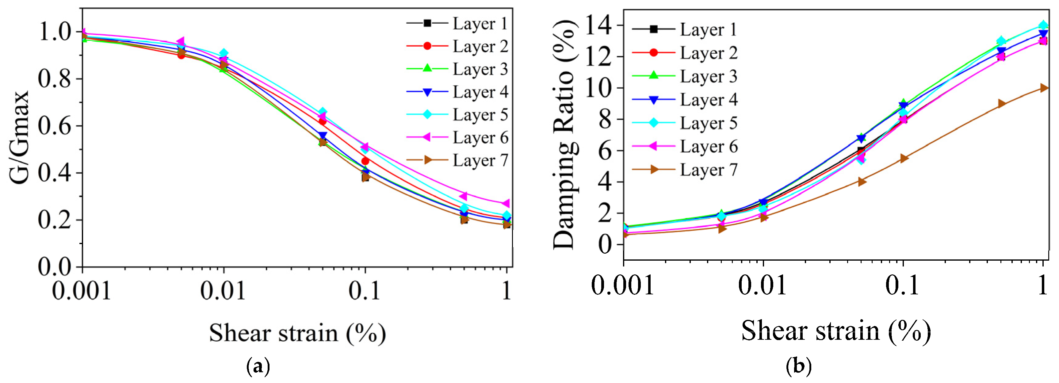
3.1. Soil Domain Model
3.2. Numerical Model of the Soil–Structure System
3.3. Input Motions
4. Validation of Numerical Model Against Equivalent Linear Analysis Results
5. Results and Analysis
5.1. Seismic Responses of the 3D Boat-Shaped Excavations
5.2. Structural Displacement and Deformation
5.3. Dynamic Soil Pressure on the Structural Side Wall
5.4. Structural Stress and Strain
5.5. Seismic Damage of Underpass Tunnel
6. Discussion
7. Conclusions
- (1)
- The 3D boat-shaped excavations dominate the seismic responses of the underpass tunnel. The drift ratios between the top and bottom of the excavation increase with depth within the 3D boat-shaped excavation, resulting in an increase in the U-shaped retaining walls’ drift ratios with depth.
- (2)
- The buried section of the underpass tunnel is more vulnerable to earthquake hazards than the open section. For the former, the numerical results show that the most vulnerable components during earthquakes may be the base of the side walls, the ceiling slabs adjacent to the longitudinal beam, and the top and bottom of the central columns.
- (3)
- The seismic responses of the segments adjacent to the junction between the open and buried sections are obviously affected by the abrupt change in structural stiffness. On one hand, the buried frame of F5 could exert end wall effects on the adjacent retaining wall of U1, resulting in a decrease in the latter’s IDRs; on the other hand, the side walls of segment F5, located at the portal of the buried section, tend to suffer more serious earthquake damage.
Author Contributions
Funding
Institutional Review Board Statement
Informed Consent Statement
Data Availability Statement
Conflicts of Interest
References
- Iida, H.; Hiroto, T.; Yoshida, N.; Iwafuji, M. Damage to Daikai subway station. Soils Found. 1996, 36, 283–300. [Google Scholar] [CrossRef]
- Iwatate, T.; Kobayashi, Y.; Kusu, H.; Rin, K. Investigation and shaking table tests of subway structures of the Hyogoken-Nanbu earthquake. In Proceedings of the 12th World Conference on Earthquake Engineering, Auckland, New Zealand, 30 January–4 February 2000. [Google Scholar]
- Yao, C.; He, C.; Wang, T.; Chen, C.; Geng, P.; Dong, W.; Yuan, F.; Xu, G. Damages of highway tunnels during 2022 Luding earthquake (Mw = 6.6). Soil Dyn. Earthq. Eng. 2024, 177, 108357. [Google Scholar] [CrossRef]
- Yan, K.; Miyajima, M.; Kumsar, H.; Aydan, Ö.; Ulusay, R.; Tao, Z.; Chen, Y.; Wang, F. Preliminary report of field reconnaissance on the 6 February 2023 Kahramanmaras Earthquakes in Türkiye. Geoenviron. Disast. 2024, 11, 11. [Google Scholar] [CrossRef]
- Xu, Z.; Du, X.; Xu, C.; Hao, H.; Bi, K.; Jiang, J. Numerical research on seismic response characteristics of shallow buried rectangular underground structure. Soil Dyn. Earthq. Eng. 2019, 116, 242–252. [Google Scholar] [CrossRef]
- Yu, H.; Chen, G. Pseudo-static simplified analytical solution for seismic response of deep tunnels with arbitrary cross-section shapes. Comput. Geotech. 2021, 137, 104306. [Google Scholar] [CrossRef]
- Zhao, M.; Duan, Y.; Huang, J.; Li, H.; Zhao, X.; Du, X. Analytical solutions for circular composite-lined tunnels under obliquely incident seismic SV and P waves. Comput. Geotech. 2022, 151, 104939. [Google Scholar] [CrossRef]
- Shi, C.; Tao, L.; Ding, P.; Wang, Z.; Jia, Z.; Shi, M. Analytical solution for deep non-circular tunnels considering slippage effects under far-field seismic SV waves. Tunn. Undergr. Space Technol. 2024, 144, 105552. [Google Scholar] [CrossRef]
- Ma, C.; Zhao, Y.; Dong, H.; Lu, D.; Du, X. Comparative study on the seismic performance of subway stations using reinforced concrete cast-in-place columns and truncated columns. Soil Dyn. Earthq. Eng. 2023, 169, 107862. [Google Scholar] [CrossRef]
- Chen, J.; Xu, C.; El Naggar, H.M.; Du, X. Seismic response analysis of rectangular prefabricated subway station structure. Tunn. Undergr. Space Technol. 2023, 131, 104795. [Google Scholar] [CrossRef]
- Chen, S.; Tang, B.; Zhao, K.; Li, X.; Zhuang, H. Seismic response of irregular underground structures under adverse soil conditions using shaking table tests. Tunn. Undergr. Space Technol. 2020, 95, 103145. [Google Scholar] [CrossRef]
- Wen, Y.; Xin, C.; Shen, Y.; Huang, Z.; Gao, B. The seismic response mechanisms of segmental lining structures applied in fault-crossing mountain tunnel: The numerical investigation and experimental validation. Soil Dyn. Earthq. Eng. 2021, 151, 107001. [Google Scholar] [CrossRef]
- Guan, Z.; Zhou, Y.; Gou, X.; Huang, H.; Wu, X. The seismic responses and seismic properties of large section mountain tunnel based on shaking table tests. Tunn. Undergr. Space Technol. 2019, 90, 383–393. [Google Scholar] [CrossRef]
- Wang, Z.; Jiang, L.; Gao, Y. Shaking table test of seismic response of immersed tunnels under effect of water. Soil Dyn. Earthq. Eng. 2019, 116, 436–445. [Google Scholar] [CrossRef]
- Zhang, S.; Yuan, Y.; Li, C.; Chen, H.; Chen, Z. Seismic responses of long segmental immersed tunnel under unfavorable loads combination. Transp. Geotech. 2021, 30, 100621. [Google Scholar] [CrossRef]
- Chen, W.; Lin, J.; Zheng, Y.; Liu, C.; Huang, L. Seismic response and damage analysis of immersed tunnel considering the seabed-seawater coupling effect. Soil Dyn. Earthq. Eng. 2024, 184, 108853. [Google Scholar] [CrossRef]
- Tao, L.; Ding, P.; Lin, H.; Wang, H.; Kou, W.; Shi, C.; Li, S.; Wu, S. Three-dimensional seismic performance analysis of large and complex underground pipe trench structure. Soil Dyn. Earthq. Eng. 2021, 150, 106904. [Google Scholar] [CrossRef]
- Ding, P.; Shi, C.; Tao, L.; Liu, Z.; Zhang, T. Research on seismic analysis methods of large and complex underground pipe structures in hard rock sites. Tunn. Undergr. Space Technol. 2023, 135, 105035. [Google Scholar] [CrossRef]
- Qiu, D.; Chen, J.; Xu, Q. Comparative numerical analysis on dynamic effects of underground large scale frame structures under seismic waves. Tunn. Undergr. Space Technol. 2019, 83, 35–50. [Google Scholar] [CrossRef]
- Qiu, D.; Chen, J.; Fu, H. Research on the comprehensive evaluating index of seismic performance of underground large-scale frame structures. Structures 2022, 37, 645–660. [Google Scholar] [CrossRef]
- Cavalagli, N.; Gusella, V.; Liberotti, R. The role of shape irregularities on the lateral loads bearing capacity of circular masonry arches. In Conference of the Italian Association of Theoretical and Applied Mechanics, Rome, Italy, 15–19 September 2019; Springer: Cham, Switzerland, 2020. [Google Scholar]
- Zhang, J.; Wei, K.; Gao, L.; Qin, S. Effect of V-shape canyon topography on seismic response of deep-water rigid-frame bridge based on simulated ground motions. Structures 2021, 33, 1077–1095. [Google Scholar] [CrossRef]
- Ding, Y.; Chen, S.; Li, X.; Wang, S.; Luan, S.; Sun, H. Self-adaptive physics-driven deep learning for seismic wave modeling in complex topography. Eng. Appl. Artif. Intel. 2023, 123, 106425. [Google Scholar] [CrossRef]
- Gao, Y.; Zhang, N.; Li, D.; Liu, H.; Cai, Y.; Wu, Y. Effects of topographic amplification induced by a U-shaped canyon on seismic waves. Bull. Seismol. Soc. Am. 2012, 102, 1748–1763. [Google Scholar] [CrossRef]
- Bao, X.; Xia, Z.; Ye, G.; Fu, Y.; Su, D. Numerical analysis on the seismic behavior of a large metro subway tunnel in liquefiable ground. Tunn. Undergr. Space Technol. 2017, 66, 91–106. [Google Scholar] [CrossRef]
- Li, Y.; Zhao, M.; Xu, C.; Du, X.; Li, Z. Earthquake input for finite element analysis of soil-structure interaction on rigid bedrock. Tunn. Undergr. Space Technol. 2018, 79, 250–262. [Google Scholar] [CrossRef]
- Du, X.; Xu, Z.; Xu, C.; Li, Y.; Jiang, J. Time-history analysis method for soil-underground structure system based on equivalent linear method. Chin. J. Geotech. Eng. 2018, 40, 2155–2163. [Google Scholar] [CrossRef]
- Li, W.; Chen, Q. Effect of vertical ground motions and overburden depth on the seismic responses of large underground structures. Eng. Struct. 2020, 205, 110073. [Google Scholar] [CrossRef]
- Zhuang, H.; Zhao, C.; Chen, S.; Fu, J.; Zhao, K.; Chen, G. Seismic performance of underground subway station with sliding between column and longitudinal beam. Tunn. Undergr. Space Technol. 2020, 102, 103439. [Google Scholar] [CrossRef]
- Ordonez, G.A. User’s Manual of SHAKE2000: A Computer Program for the 1-D Analysis of Geotechnical Earthquake Engineering Problems; University of California: Berkeley, CA, USA, 2000. [Google Scholar]
- Kaklamanos, J.; Baise, L.G.; Thompson, E.M.; Dorfmann, L. Comparison of 1D linear, equivalent-linear, and nonlinear site response models at six KiK-net validation sites. Soil Dyn. Earthq. Eng. 2015, 69, 207–219. [Google Scholar] [CrossRef]
- Kim, S.H.; Kim, K.J. Comparative studies between frequency domain analysis and time domain analysis on free-field one-dimensional shear wave propagation. Appl. Mech. 2024, 5, 141–161. [Google Scholar] [CrossRef]
- Hashash, Y.M.A.; Hook, J.J.; Schmidt, B.; Yao, J.I.C. Seismic design and analysis of underground structures. Tunn. Undergr. Space Technol. 2001, 16, 247–293. [Google Scholar] [CrossRef]
- Tezcan, S.S.; Kaya, E.; Engin Bal, İ.; Özdemir, Z. Seismic amplification at Avcılar, Istanbul. Eng. Struct. 2002, 24, 661–667. [Google Scholar] [CrossRef]
- Rayhani, M.H.; El Naggar, M.H. Numerical modeling of seismic response of rigid foundation on soft soil. Int. J. Geomech. 2008, 8, 336–346. [Google Scholar] [CrossRef]
- Firat, S.; Isik, N.S.; Arman, H.; Demir, M.; Vural, I. Investigation of the soil amplification factor in the Adapazari region. Bull. Eng. Geol. Environ. 2016, 75, 141–152. [Google Scholar] [CrossRef]
- Liu, X.; Congress, S.S.C.; Shen, J.; Cai, G.; Chen, G. A simple site amplification model originating from the NGA project for deep soft soil deposits in Suzhou, China. Nat. Hazards 2024, 120, 107–129. [Google Scholar] [CrossRef]
- Huo, H.; Bobet, A.; Fernández, G.; Ramírez, J. Load transfer mechanisms between underground structure and surrounding ground: Evaluation of the failure of the Daikai station. J. Geotech. Geoenviron. Eng. 2005, 131, 1522–1533. [Google Scholar] [CrossRef]
- Zhuang, H.; Wang, R.; Shi, P.; Chen, G. Seismic response and damage analysis of underground structures considering the effect of concrete diaphragm wall. Soil Dyn. Earthq. Eng. 2019, 116, 278–288. [Google Scholar] [CrossRef]
- Tsinidis, G.; Pitilakis, K.; Trikalioti, A.D. Numerical simulation of round robin numerical test on tunnels using a simplified kinematic hardening model. Acta Geotech. 2014, 116, 641–659. [Google Scholar] [CrossRef]
- Fabozzi, S.; Licata, V.; Autuori, S.; Bilotta, E.; Russo, G.; Silvestri, F. Prediction of the seismic behavior of an underground railway station and a tunnel in Napoli (Italy). Undergr. Space 2017, 2, 88–105. [Google Scholar] [CrossRef]
- Yiouta-Mitra, P.; Kouretzis, G.; Bouckovalas, G.; Sofianos, A. Effect of underground structures in earthquake resistant design of surface structures. Geotech. Spec. Publ. Dyn. Response Soil Prop. 2007, 1–10. [Google Scholar] [CrossRef]
- Gao, Y.; Zhang, N. Scattering of cylindrical SH waves induced by a symmetrical V-shaped canyon near-source topographic effects. Geophys. J. Int. 2013, 193, 874–885. [Google Scholar] [CrossRef]
- Zhao, C.; Valliappan, S. Seismic wave scattering effects under different canyon topographic and geological conditions. Soil Dyn. Earthq. Eng. 1993, 12, 129–143. [Google Scholar] [CrossRef]
- Jiang, J.; Xun, Z.; Bai, X.; Liu, D.; Zhao, K.; Du, X. Seismic damage mechanics and vulnerability analysis for the immersed tunnel subjected transverse earthquake records. Soil Dyn. Earthq. Eng. 2024, 182, 108703. [Google Scholar] [CrossRef]
- Candia, G.; Mikola, R.G.; Sitar, N. Seismic response of retaining walls with cohesive backfill: Centrifuge model studies. Soil Dyn. Earthq. Eng. 2016, 90, 411–419. [Google Scholar] [CrossRef]
- Mok, C.; Vallenas, J.; Zhang, M.; Wen, J. End wall effect for underground structures: Three-dimensional dynamic soil-structure interaction parametric study. In Proceedings of 100th Anniversary Earthquake Conference Commemorating the 1906 San Francisco Earthquake, San Francisco, CA, USA, 18–22 April 2006; Earthquake Engineering Research Institute: Oakland, CA, USA, 2006. [Google Scholar]
- Wang, G.; Hao, P.; Sun, F. Spatial influence scope of end wall of metro station structures. Chin. J. Geotech. Eng. 2020, 42, 1435–1445. [Google Scholar] [CrossRef]
- Wu, D.; Gao, B.; Shen, Y.; Zhou, J.; Chen, G. Damage evolution of tunnel portal during the longitudinal propagation of Rayleigh waves. Nat. Hazards 2015, 75, 2519–2543. [Google Scholar] [CrossRef]






















| U1 | U2 | U3 | U4 | U5 | U6 | U7 | U8 | U9 | U10 | U11 | U12 | U13 | |
|---|---|---|---|---|---|---|---|---|---|---|---|---|---|
| Height (h in Figure 2) | 8.65 | 8.2 | 7.6 | 7 | 6 | 5.2 | 4 | 3.2 | 2.7 | 2.1 | 1.5 | 0.9 | 0.9 |
| Thickness (t in Figure 2) | 1.4 | 1.4 | 1.4 | 1.4 | 1.2 | 1 | 0.6 | 0.6 | 0.6 | 0.3 | 0.3 | 0.3 | 0.3 |
| Soil Layer | Depth (m) | Unit Weight (kN/m3) | Shear Wave Velocity (m/s) | Poisson′s Ratio |
|---|---|---|---|---|
| 1 | 0.0–3.2 | 17.8 | 137 | 0.36 |
| 2 | 3.2–6.0 | 18.5 | 140 | 0.33 |
| 3 | 6.0–17.0 | 17.4 | 132 | 0.41 |
| 4 | 17.0–31.0 | 17.4 | 181 | 0.41 |
| 5 | 31.0–48.3 | 17.6 | 263 | 0.41 |
| 6 | 48.3–66.1 | 18.4 | 360 | 0.33 |
| 7 | 66.1–70.0 | 19.2 | 396 | 0.33 |
| Dilation Angle | Eccentricity | fb0/fc0 | K | Viscosity |
|---|---|---|---|---|
| 30° | 0.1 | 1.16 | 0.6667 | 0.0005 |
Disclaimer/Publisher’s Note: The statements, opinions and data contained in all publications are solely those of the individual author(s) and contributor(s) and not of MDPI and/or the editor(s). MDPI and/or the editor(s) disclaim responsibility for any injury to people or property resulting from any ideas, methods, instructions or products referred to in the content. |
© 2026 by the authors. Licensee MDPI, Basel, Switzerland. This article is an open access article distributed under the terms and conditions of the Creative Commons Attribution (CC BY) license.
Share and Cite
Zhang, Z.; He, X. Study of Seismic Behavior of an Urban Underpass Tunnel in Soft Soil Through 3D Numerical Modeling. Appl. Sci. 2026, 16, 3025. https://doi.org/10.3390/app16063025
Zhang Z, He X. Study of Seismic Behavior of an Urban Underpass Tunnel in Soft Soil Through 3D Numerical Modeling. Applied Sciences. 2026; 16(6):3025. https://doi.org/10.3390/app16063025
Chicago/Turabian StyleZhang, Zhiming, and Xianhao He. 2026. "Study of Seismic Behavior of an Urban Underpass Tunnel in Soft Soil Through 3D Numerical Modeling" Applied Sciences 16, no. 6: 3025. https://doi.org/10.3390/app16063025
APA StyleZhang, Z., & He, X. (2026). Study of Seismic Behavior of an Urban Underpass Tunnel in Soft Soil Through 3D Numerical Modeling. Applied Sciences, 16(6), 3025. https://doi.org/10.3390/app16063025

