Mechanical Behavior of Prestressed Concrete Cylinder Pipe Joints Under Rotation Action
Abstract
1. Introduction
2. Experimental Program
2.1. Specimens and Materials
2.2. Data Acquisition and Sensor Layout
2.3. Test Setup and Loading Process
3. Experimental Results
3.1. Joint Failure Analysis
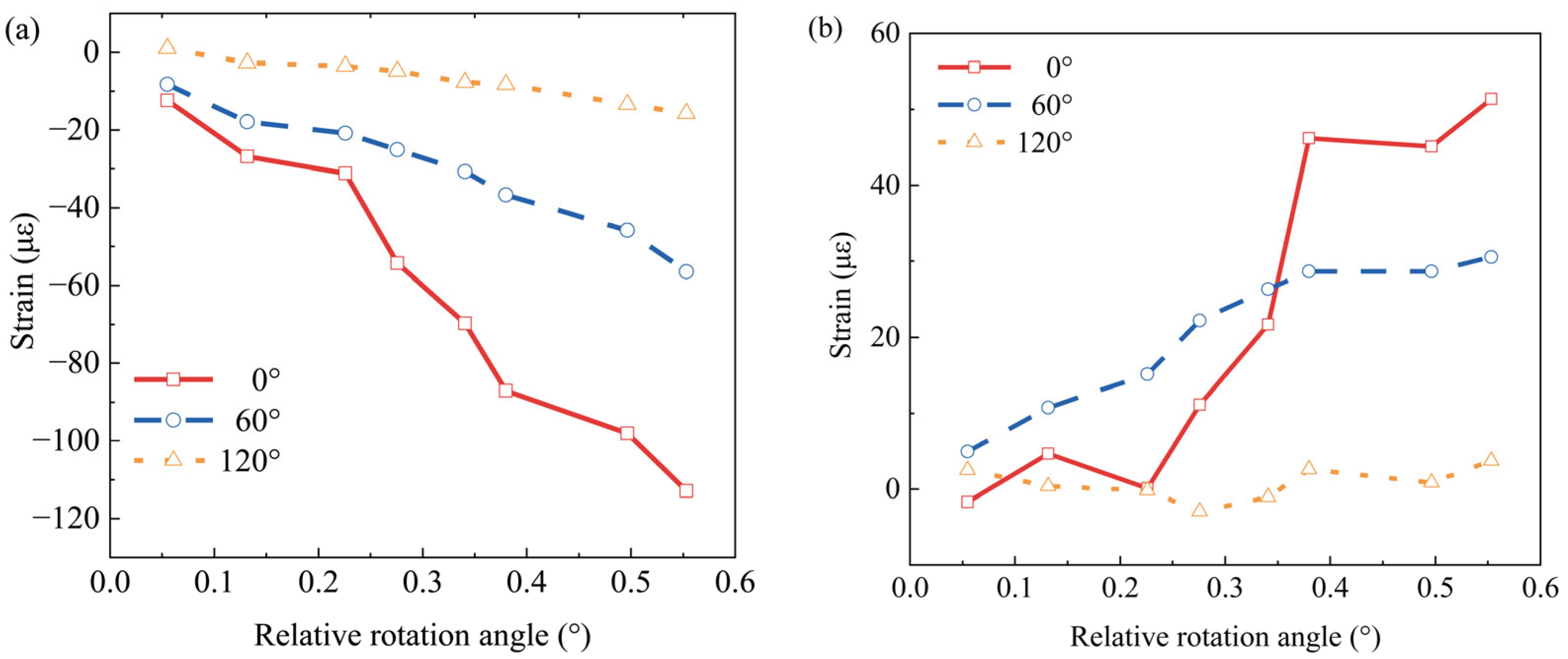
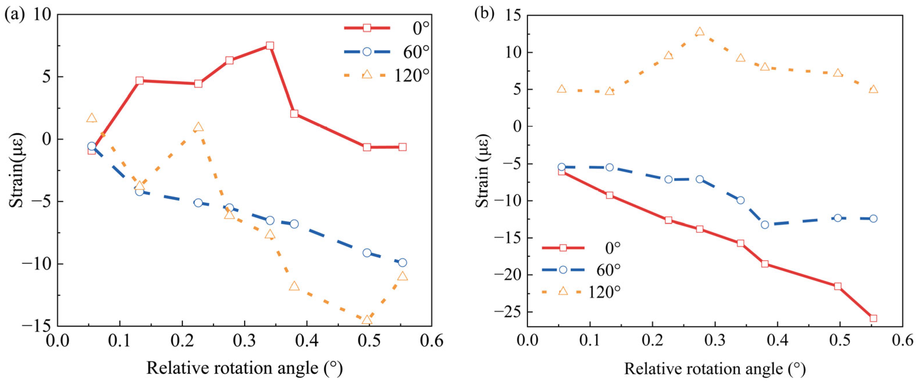
3.2. Joint Strain Analysis
4. Finite Element Model Construction and Analysis
4.1. Model Construction
4.2. Model Validation and Effectiveness Assessment
4.3. Parametric Analysis of Ultimate Rotation for Different Diameters
5. Conclusions
- (1)
- Clear Joint Failure Mode: The macroscopic failure mode of the PCCP bell-and-spigot joint under rotation conditions is sealing failure. Experimental measurements indicate that when the relative rotation angle reaches approximately 1.92°, the rubber gasket on the spigot steel ring slips out of the working face of the bell, resulting in the loss of the joint’s sealing capability.
- (2)
- Distribution Laws of Strain Response: Joint rotation induces significant stress concentration. The inner region of the spigot crown is subjected to tension, while the invert region is subjected to compression, with strains increasing non-linearly with the rotation angle. The inner side of the spigot crown is identified as a potential hazard zone for concrete cracking, and its strain response is more sensitive than that of the bell.
- (3)
- Size Effect on Ultimate Rotation Angle: Analysis based on the concrete visible crack criterion demonstrates a significant size effect regarding the ultimate relative rotation angle of the joint. As the pipe inner diameter increases from 1400 mm to 4000 mm, the ultimate relative rotation angle decreases from 1.83° to 1.43°. This indicates that large-diameter pipelines possess a relatively weaker capacity to accommodate foundation deformation.
- (4)
- Deformation Mechanism of Bell and Spigot: Finite element simulations reveal the geometric deformation characteristics during joint rotation. When a relative rotation angle occurs, complex squeezing and torsional interactions exist between the bell and spigot, causing longitudinal ovalization deformation at the spigot end. This deformation mode serves as the primary geometric inducement for the concentration of tensile stress at the inner spigot crown, leading to cracking in this region prior to other areas.
Author Contributions
Funding
Institutional Review Board Statement
Informed Consent Statement
Data Availability Statement
Conflicts of Interest
References
- ANSI/AWWA C304-2014; Design of Prestressed Concrete Cylinder Pipe. American National Standards Institute, American Water Works Association: Washington, DC, USA, 2014.
- Lewis, R.A.; Wheatley, M. Prestressed Concrete Cylinder Pipeline Evaluation, A Toolbox Approach. In Proceedings of the Pipeline Engineering & Construction International Conference, Baltimore, MD, USA, 13–16 July 2003; pp. 276–285. [Google Scholar]
- Ge, S.; Sinha, S. Failure analysis, condition assessment technologies, and performance prediction of prestressed-concrete cylinder pipe: State-of-the-art literature review. J. Perform. Constr. Facil. 2014, 28, 618–628. [Google Scholar] [CrossRef]
- Zhai, K.; Moore, I.D. Stress analysis for a liner spanning a gap between sections of rigid pressure pipes. J. Pipeline Syst. Eng. Pract. 2026, 17, 04025105. [Google Scholar] [CrossRef]
- Wham, B.P.; O’Rourke, T.D. Jointed Pipeline Response to Large Ground Deformation. J. Pipeline Syst. Eng. Pract. 2016, 7, 04015009. [Google Scholar] [CrossRef]
- Chen, Q.; Ni, P. Three-dimensional modeling of joint kinematic of ductile iron pipelines subjected to normal faulting. Tunn. Undergr. Space Technol. 2023, 132, 104863. [Google Scholar] [CrossRef]
- Zhai, K.; Fang, H.; Wang, N.; Li, B.; Du, X.; Cui, P.; Yang, K. A simplified solution for buried continuous pipe rehabilitated by liner under the effect of surface load and soil void. Can. Geotech. J. 2025, 62, 1–15. [Google Scholar] [CrossRef]
- Zhai, K.; Moore, I.D. Mechanical study and equations for gravity flow pipe liners stretching across ring fractures or joints under shear action. Ocean Eng. 2024, 314, 119721. [Google Scholar] [CrossRef]
- Gomez, R.; Muñoz, D.; Vera, R.; Escobar, J.A. Structural model for stress evaluation of Prestressed concrete pipes of the Cutzamala system. In Pipeline Engineering and Construction: What’s on the Horizon? ASCE Library: Reston, VA, USA, 2004; pp. 1–9. [Google Scholar]
- Singhal, A.; Meng, C. Junction Stresses in Buried Jointed Pipelines. J. Transp. Eng.-ASCE 1983, 109, 450–461. [Google Scholar] [CrossRef]
- Hu, S.; Sun, Y.; Xue, X.; Huang, Y. Calculation model for bar-wrapping during prestressing of an embedded bar-wrapped cylinder concrete pressure pipe. Thin Walled Struct. 2019, 139, 39–45. [Google Scholar] [CrossRef]
- Zarghamee, M.S.; Ojdrovic, R.P.; Dana, W.R. Coating delamination by radial tension in prestressed concrete pipe. II: Analysis. J. Struct. Eng. 1993, 119, 2720–2732. [Google Scholar] [CrossRef]
- Zarghamee, M.S.; Eggers, D.W.; Ojdrovic, R.P. Finite-element modeling of failure of PCCP with broken wires subjected to combined loads. In Proceedings of the Pipelines 2002: Beneath Our Feet: Challenges and Solutions, Cleveland, OH, USA, 4–7 August 2002; pp. 1–17. [Google Scholar]
- Zarghamee, M.S. Hydrostatic pressure testing of prestressed concrete cylinder pipe with broken wires. In New Pipeline, Technologies, Security, and Safety; ASCE Library: Reston, VA, USA, 2003; pp. 294–303. [Google Scholar]
- Cheng, B.; Dou, T.; Xia, S.; Zhao, L.; Yang, J.; Zhang, Q. Mechanical properties and loading response of prestressed concrete cylinder pipes under internal water pressure. Eng. Struct. 2020, 216, 110674. [Google Scholar] [CrossRef]
- Cheng, B.; Dou, T.; Xia, S.; Zhao, L.; Yang, J.; Zhang, Q. Experimental study on mechanical properties of prestressed concrete cylinder pipes (PCCPs) under external load. Int. J. Press. Vessels Pip. 2021, 191, 104365. [Google Scholar] [CrossRef]
- Zhang, Y.; Yan, Z.; Zhu, H.; Ju, J.W. Experimental study on the structural behaviors of jacking prestressed concrete cylinder pipe. Tunn. Undergr. Space Technol. 2018, 73, 60–70. [Google Scholar] [CrossRef]
- Hajali, M.; Alavinasab, A.; Abi Shdid, C. Structural performance of buried prestressed concrete cylinder pipes with harnessed joints interaction using numerical modeling. Tunn. Undergr. Space Technol. 2016, 51, 11–19. [Google Scholar] [CrossRef]
- Hajali, M.; Alavinasab, A.; Shdid, C.A. Effect of the number of broken wire wraps on the structural performance of PCCP with full interaction at the gasket joint. J. Pipeline Syst. Eng. Pract. 2016, 7, 04015026. [Google Scholar] [CrossRef]
- Hajali, M.; Alavinasab, A.; Shdid, C.A. Effect of the location of broken wire wraps on the failure pressure of prestressed concrete cylinder pipes. Struct. Concr. 2015, 16, 297–303. [Google Scholar] [CrossRef]
- Hu, B.; Fang, H.; Wang, F.; Zhai, K. Full-scale test and numerical simulation study on load-carrying capacity of prestressed concrete cylinder pipe (PCCP) with broken wires under internal water pressure. Eng. Fail. Anal. 2019, 104, 513–530. [Google Scholar] [CrossRef]
- Sun, Y.; Hu, S.; Huang, Y.; Xue, X. Analytical stress model for embedded bar-wrapped cylinder concrete pressure pipe under internal load. Thin Walled Struct. 2020, 149, 106540. [Google Scholar] [CrossRef]
- Zhai, K.; Zhang, C.; Fang, H.; Ma, H.; Ni, P.; Wang, F.; Li, B.; He, H. Mechanical responses of bell-and-spigot joints in buried prestressed concrete cylinder pipe under coupled service and surcharge loads. Struct. Concr. 2021, 22, 827–844. [Google Scholar] [CrossRef]
- Zhai, K.; Fang, H.; Yang, M.; Sun, M.; Zhang, X.; Zhao, X.; Xue, B.; Lei, J.; Yao, X. The impacts of CFRP widths and thicknesses on the strengthening of PCCP. Structures 2023, 56, 104856. [Google Scholar] [CrossRef]
- Zhai, K.; Moore, I. Bending response and design equations for gravity-flow pipe liners passing across ring fractures or joints. J. Pipeline Syst. Eng. Pract. 2024, 15, 04024043. [Google Scholar] [CrossRef]
- Feng, X.; Li, H.; Chen, B.; Zhao, L.; Zhou, J. Numerical investigations into the failure mode of buried prestressed concrete cylinder pipes under differential settlement. Eng. Fail. Anal. 2020, 111, 104492. [Google Scholar] [CrossRef]
- GB/T 19685-2017; Prestressed Concrete Cylinder Pipe. Standards Press of China: Beijing, China, 2017.
- ASTM A648; Standard Specification for Steel Wire, Hard Drawn for Prestressing Concrete Pipe. ASTM International: West Conshohocken, PA, USA, 2018.
- ISO 4633; Rubber Seals—Joint Rings for Water Supply, Drainage and Sewerage Pipelines—Specification for Materials. International Organization for Standardization: Geneva, Switzerland, 2015.
- GB 50268-2008; Code for Construction and Acceptance of Water and Sewerage Pipeline Works. China Architecture & Building Press: Beijing, China, 2008.
- Zhai, K.; Moore, I. Axial stresses in pressure pipe liners spanning joints with initial gap, opening as a result of differential ground movements. Tunn. Undergr. Space Technol. 2023, 133, 104965. [Google Scholar] [CrossRef]
- Zhai, K.; Fang, H.; Wang, N.; Li, B.; Dong, J.; Xue, B. Mechanical response of concrete pipe rehabilitated by liner under external load: Analytical solution. Int. J. Numer. Anal. Methods Geomech. 2024, 48, 911–924. [Google Scholar] [CrossRef]
- Lee, J.; Fenves, G.L. Plastic-damage model for cyclic loading of concrete structures. J. Eng. Mech. 1998, 124, 892–900. [Google Scholar] [CrossRef]
- Wang, L.; Zhang, W.; Zhao, S.; Ning, C. Experiment and Numerical Simulation Study on Socket and Spigot Joint Damage of Ductile Iron Water Supply Pipeline under Vertical Loading. J. Disaster Prev. Mitig. Eng. 2023, 43, 232–239. [Google Scholar] [CrossRef]
- Wu, H.; Zhai, K.; Fang, H.; Wang, F.; Yu, X.; Li, B. Bell-and-spigot joints mechanical properties study of PCCP under the uneven settlement of foundation: Simulation and full-scale test. Structures 2022, 43, 1692–1703. [Google Scholar] [CrossRef]
- Zhang, H.; Peng, H. Finite element analysis on whole process of load-bearing response of PCCP. Water Resour. Hydropower Eng. 2014, 45, 60–64, 69. (In Chinese) [Google Scholar] [CrossRef]






















| Core Thickness /mm | Cylinder Outer Diameter /mm | Mortar Coating Thickness /mm | Wire Diameter /mm | Wire Spacing /mm | Cylinder Thickness /mm |
|---|---|---|---|---|---|
| 110 | 1503 | 30 | 5 | 25 | 1.5 |
| ΔH/mm | 5.75 | 13.79 | 23.66 | 28.89 | 35.70 |
| θ/° | 0.05 | 0.13 | 0.23 | 0.28 | 0.34 |
| ΔH/mm | 39.77 | 51.98 | 57.95 | 66.34 | 73.92 |
| θ/° | 0.38 | 0.50 | 0.55 | 0.63 | 0.71 |
| ΔH/mm | 81.18 | 91.42 | 99.46 | 106.86 | 113.99 |
| θ/° | 0.78 | 0.87 | 0.95 | 1.02 | 1.09 |
| ΔH/mm | 123.74 | 134.79 | 139.17 | 146.77 | 152.94 |
| θ/° | 1.18 | 1.29 | 1.33 | 1.40 | 1.46 |
| ΔH/mm | 160.07 | 172.61 | 182.96 | 192.33 | 201.04 |
| θ/° | 1.53 | 1.65 | 1.75 | 1.84 | 1.92 |
| Location | Spigot Crown (0°) | Spigot Invert (180°) | Bell Crown (0°) | Bell Invert (180°) | |
|---|---|---|---|---|---|
| Pipe End Displacement | |||||
| 8.13 mm | −25.3 | 10.6 | - | - | |
| 16.27 mm | −21.9 | 5.1 | 6.5 | −14.8 | |
| 22.00 mm | −17.3 | −15.2 | 8.9 | 20.1 | |
| 29.07 mm | −0.1 | −15.1 | −20.6 | 7.7 | |
| 36.13 mm | −4.1 | 21.1 | −26.5 | 4.4 | |
| 43.33 mm | −1.5 | 6.9 | 21.9 | 13.2 | |
| 50.67 mm | −2.1 | −5.9 | 15.2 | −3.6 | |
| 61.33 mm | −6.8 | −17.4 | 5.8 | −5.1 | |
Disclaimer/Publisher’s Note: The statements, opinions and data contained in all publications are solely those of the individual author(s) and contributor(s) and not of MDPI and/or the editor(s). MDPI and/or the editor(s) disclaim responsibility for any injury to people or property resulting from any ideas, methods, instructions or products referred to in the content. |
© 2026 by the authors. Licensee MDPI, Basel, Switzerland. This article is an open access article distributed under the terms and conditions of the Creative Commons Attribution (CC BY) license.
Share and Cite
Ma, Y.; Xie, H.; Chen, G.; Hu, D.; Li, B.; Cui, P.; Du, X.; Wu, H.; Zhai, K. Mechanical Behavior of Prestressed Concrete Cylinder Pipe Joints Under Rotation Action. Appl. Sci. 2026, 16, 2861. https://doi.org/10.3390/app16062861
Ma Y, Xie H, Chen G, Hu D, Li B, Cui P, Du X, Wu H, Zhai K. Mechanical Behavior of Prestressed Concrete Cylinder Pipe Joints Under Rotation Action. Applied Sciences. 2026; 16(6):2861. https://doi.org/10.3390/app16062861
Chicago/Turabian StyleMa, Yihu, Haiyang Xie, Guanglei Chen, Deqiang Hu, Bin Li, Penglu Cui, Xueming Du, Hanying Wu, and Kejie Zhai. 2026. "Mechanical Behavior of Prestressed Concrete Cylinder Pipe Joints Under Rotation Action" Applied Sciences 16, no. 6: 2861. https://doi.org/10.3390/app16062861
APA StyleMa, Y., Xie, H., Chen, G., Hu, D., Li, B., Cui, P., Du, X., Wu, H., & Zhai, K. (2026). Mechanical Behavior of Prestressed Concrete Cylinder Pipe Joints Under Rotation Action. Applied Sciences, 16(6), 2861. https://doi.org/10.3390/app16062861

