Hydrodynamic Response of a Short Magnetorheological Squeeze Film Damper Based on the Mason Number
Abstract
1. Introduction
2. Problem Formulation
2.1. Physical Model
2.2. Governing and Constitutive Equations
2.3. Simplified Mathematical Model
- The fluid thickness is very thin compared to both the damper width and the internal element diameter, i.e., and [38].
- The influence of film curvature in the system can be neglected because [39].
- The flow is laminar with a small reduced Reynolds number , indicating that viscous forces exceed inertial forces [40]. When evaluating the physical variables in this analysis, the reduced Reynolds number is , where is the Reynolds number and is , as well as , which is the ratio of clearance to damper width and is .
- The fluid viscosity is constant and does not consider the effect of temperature [41].
2.4. Boundary Conditions
3. Dimensionless Mathematical Model
4. Solution Methodology
4.1. Post-Yield Regions
4.2. Pre-Yield Regions
4.3. Pressure Distribution
4.4. Damping Forces
5. Results and Discussion
5.1. Validation
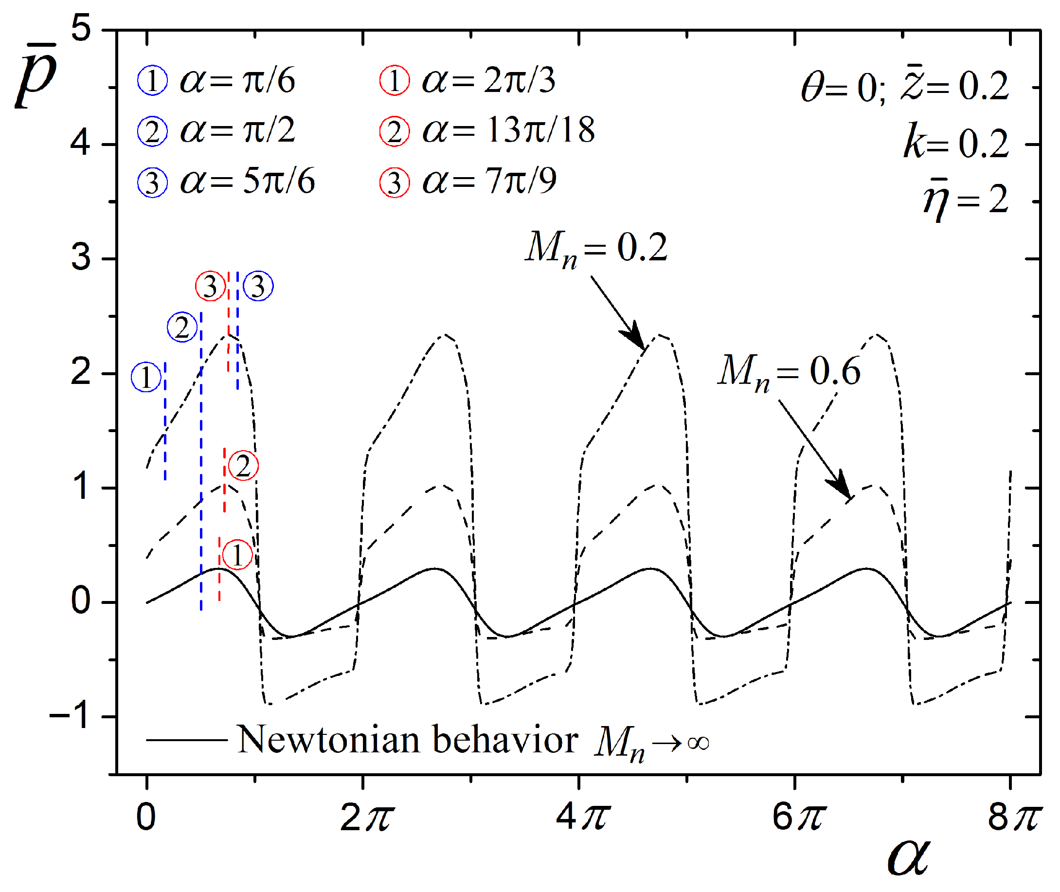
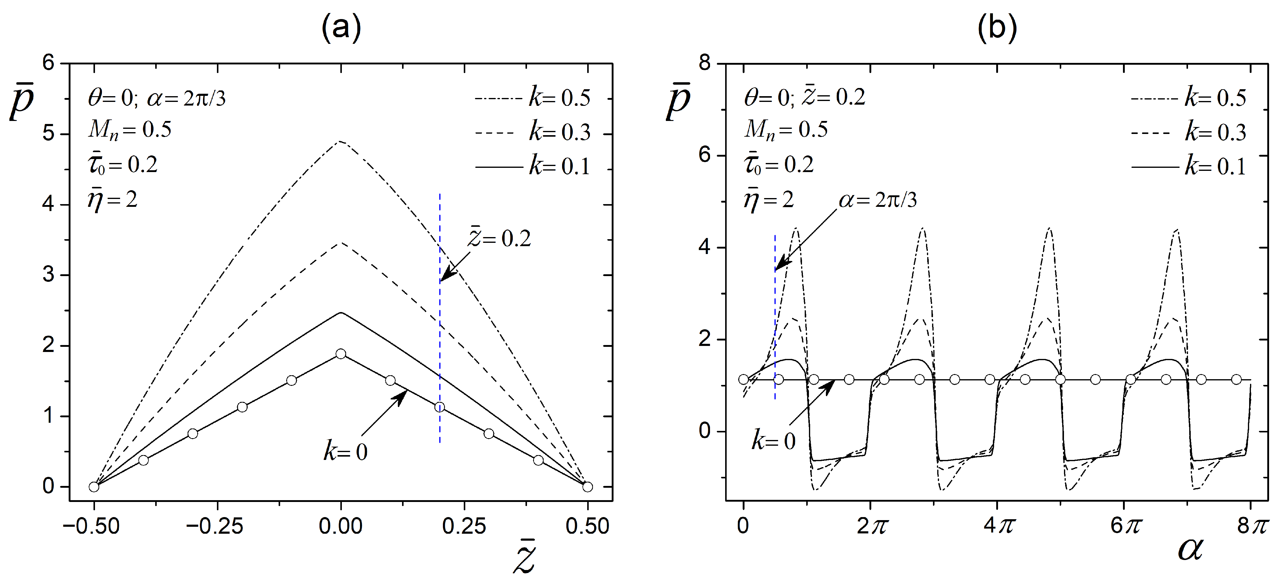
5.2. Pressure Distribution and Velocity Profiles
5.3. Damping Forces
6. Conclusions
Author Contributions
Funding
Institutional Review Board Statement
Informed Consent Statement
Data Availability Statement
Acknowledgments
Conflicts of Interest
Nomenclature
| Characteristic area | m2 | |
| B | Magnetic field | A m−1 |
| Bingham number | − | |
| c | Clearance | m |
| d | Internal element diameter | m |
| e | Eccentricity | m |
| Body force | N m−3 | |
| Characteristic force | N | |
| Hydrodynamic force | N | |
| Magnetic attraction force between particles | N | |
| Radial force | N | |
| Tangential force | N | |
| Dimensionless radial force | − | |
| Dimensionless tangential force | − | |
| h | Fluid thickness | m |
| Dimensionless fluid thickness | − | |
| First derivative of the fluid thickness | − | |
| , | Interface positions | m |
| , | Dimensionless interface positions | − |
| k | Normalized eccentricity | − |
| l | Damper width | m |
| M | Magnetization of the MR fluid | A m−1 |
| Magnetization of the particles | A m−1 | |
| Saturation magnetization of the particles | A m−1 | |
| Mason number | − | |
| Critical Mason number | − | |
| p | Pressure | N m−2 |
| Dimensionless pressure | - | |
| Characteristic Pressure | N m−2 | |
| Reynolds number | − | |
| Reduced Reynolds number | − | |
| t | Time | s |
| Velocity components | m s−1 | |
| Dimensionless velocity components | − | |
| Characteristic fluid velocity | m s−1 | |
| Velocity vector | m s−1 | |
| Local coordinate system | m | |
| Cartesian coordinates | m | |
| Dimensionless Cartesian coordinates | − | |
| Greek symbols | ||
| Dimensionless pressure gradient | − | |
| Angle position of the line of centers | ||
| Shear strain rate | s−1 | |
| Characteristic Shear rate | s−1 | |
| Dimensionless pre-yield thickness | − | |
| Dimensionless geometric parameter | − | |
| Carrier fluid viscosity | Pa s | |
| Plastic viscosity | Pa s | |
| Viscosity ratio | − | |
| Circumferential coordinate | ||
| Vacuum magnetic permeability | TmA−1 | |
| Relative permeability of the carrier fluid | − | |
| Effective permeability | − | |
| Fluid density | kg m−3 | |
| Diameter of the spherical particles | m | |
| Stress tensor | N m−2 | |
| Yield stress | N m−2 | |
| Dimensionless yield stress | − | |
| Characteristic shear stress | N m−2 | |
| Shear stress | N m−2 | |
| Shear stress | N m−2 | |
| Dimensionless shear stress | − | |
| Dimensionless shear stress | − | |
| Magnetic stress | N m−2 | |
| Particle volume fraction | − | |
| Maximum packing fraction | − | |
| Angular velocity | rad s−1 |
References
- Bahl, S.; Nagar, H.; Singh, I.; Sehgal, S. Smart materials types, properties and applications: A review. Mater. Today Proc. 2020, 28, 1302–1306. [Google Scholar] [CrossRef]
- Choi, S.-B.; Han, Y.-M. Magnetorheological Fluid Technology: Applications in Vehicle Systems, 1st ed.; CRC Press: Boca Raton, FL, USA, 2013; pp. 1–16. [Google Scholar]
- Esmaeilnezhad, E.; Hajiabadi, S.H.; Choi, H.J. Effect of medium viscosity on rheological characteristics of magnetite-based magnetorheological fluids. J. Ind. Eng. Chem. 2019, 80, 197–204. [Google Scholar] [CrossRef]
- Kumar, S.; Sehgal, R.; Wani, M.F.; Sharma, M.D. Stabilization and tribological properties of magnetorheological (MR) fluids: A review. J. Magn. Magn. Mater. 2021, 538, 168295. [Google Scholar] [CrossRef]
- Bica, I.; Liu, Y.D.; Choi, H.J. Physical characteristics of magnetorheological suspensions and their applications. J. Ind. Eng. Chem. 2013, 19, 394–406. [Google Scholar] [CrossRef]
- Wang, N.; Liu, X.; Sun, S.; Królczyk, G.; Li, Z.; Li, W. Microscopic characteristics of magnetorheological fluids subjected to magnetic fields. J. Magn. Magn. Mater. 2020, 501, 166443. [Google Scholar] [CrossRef]
- Gołdasz, J.; Sapiński, B. Insight into Magnetorheological Shock Absorbers, 1st ed.; Springer: Cham, Switzerland, 2015; pp. 1–23. [Google Scholar]
- Zhang, Y.; Li, D.; Cui, H.; Yang, J. A new modified model for the rheological properties of magnetorheological fluids based on different magnetic field. J. Magn. Magn. Mater. 2020, 500, 166377. [Google Scholar] [CrossRef]
- Khajehsaeid, H.; Alaghehband, N.; Bavil, P.K. On the yield stress of magnetorheological fluids. Chem. Eng. Sci. 2022, 256, 117699. [Google Scholar] [CrossRef]
- Xu, Z.; Wu, H.; Wang, Q.; Jiang, S.; Yi, L.; Wang, J. Study on movement mechanism of magnetic particles in silicone rubber-based magnetorheological elastomers with viscosity change. J. Magn. Magn. Mater. 2020, 494, 165793. [Google Scholar] [CrossRef]
- De Vicente, J.; Klingenberg, D.J.; Hidalgo-Alvarez, R. Magnetorheological fluids: A review. Soft Matter 2011, 7, 3701–3710. [Google Scholar] [CrossRef]
- Klingenberg, D.J.; Ulicny, J.C.; Golden, M.A. Mason numbers for magnetorheology. J. Rheol. 2007, 51, 883–893. [Google Scholar] [CrossRef]
- Sherman, S.G.; Becnel, A.C.; Wereley, N.M. Relating Mason number to Bingham number in magnetorheological fluids. J. Magn. Magn. Mater. 2015, 380, 98–104. [Google Scholar] [CrossRef]
- Salloom, M.Y. Modeling Behavior of Magnetorheological Fluids. In Encyclopedia of Smart Materials; Olabi, A.-G., Ed.; Elsevier: Oxford, UK, 2022; pp. 224–236. [Google Scholar]
- Gołdasz, J.; Sapiński, B.; Kubík, M.; Macháček, O.; Bańkosz, W.; Sattel, T.; Tan, A.S. Review: A survey on configurations and performance of flow-mode MR valves. Appl. Sci. 2022, 12, 6260. [Google Scholar] [CrossRef]
- Dassisti, M.; Brunetti, G. Introduction to Magnetorheological Fluids. In Encyclopedia of Smart Materials; Olabi, A.-G., Ed.; Elsevier: Oxford, UK, 2022; pp. 187–202. [Google Scholar]
- Eshgarf, H.; Nadooshan, A.A.; Raisi, A. An overview on properties and applications of magnetorheological fluids: Dampers, batteries, valves and brakes. J. Energy Storage 2022, 50, 104648. [Google Scholar] [CrossRef]
- Sadaat, F.; Nutakor, C.; Sopanen, J. Different modeling methodologies for rotor-system on ball bearing cartridge with squeeze film damper. J. Sound Vib. 2026, 625, 119606. [Google Scholar] [CrossRef]
- Gheller, E.; Chatterton, S.; Vania, A.; Pennacchi, P. Squeeze film damper modeling: A comprehensive approach. Machines 2022, 10, 781. [Google Scholar] [CrossRef]
- Kang, X.; Palazzolo, A.; Zhong, W. Auxiliary bearing squeeze film dampers for magnetic bearing supported rotors. Tribol. Int. 2020, 146, 106181. [Google Scholar] [CrossRef]
- Zhou, H.-L.; Chen, X.; Zhan, Y.-Q.; Ai, Y.-T.; Sun, D. An analysis on the influence of air ingestion on vibration damping properties of squeeze film dampers. Tribol. Int. 2020, 145, 106168. [Google Scholar] [CrossRef]
- Fan, T.; Behdinan, K. An analytical model for open-ended squeeze film damper with a circumferential central groove. Proc. Inst. Mech. Eng. J J. Eng. Tribol. 2021, 235, 2110–2121. [Google Scholar] [CrossRef]
- Chen, X.; Ren, G.; Gan, X. Dynamic behavior of a flexible rotor system with squeeze film damper considering oil-film inertia under base motions. Nonlinear Dyn. 2021, 106, 3117–3145. [Google Scholar] [CrossRef]
- Van der Meer, G.H.G.; Quinci, F.; Litwin, W.; Wodtke, M.; van Ostayen, R.A.J. Experimental comparison of the transition speed of a hydrodynamic journal bearing lubricated with oil and magnetorheological fluid. Tribol. Int. 2023, 189, 108967. [Google Scholar] [CrossRef]
- Singh, R.K.; Tiwari, M.; Saksena, A.A.; Srivastava, A. Analysis of a compact squeeze film damper with magneto-rheological fluid. Def. Sci. J. 2020, 70, 122–130. [Google Scholar] [CrossRef]
- Wang, J.; Liu, Y.; Qin, Z.; Ma, L.; Chu, F. Nonlinear characteristic investigation of magnetorheological damper-rotor system with local nonlinearity. Chin. J. Aeronaut. 2023, 36, 111–126. [Google Scholar] [CrossRef]
- Ma, L.; Wang, J.; Li, C. Vibration suppression of a rotor system with a nonlinear MR damper. Arch. Appl. Mech. 2021, 91, 4053–4068. [Google Scholar] [CrossRef]
- Meng, F.; Zhou, J.; Jin, C.; Ji, W. Modeling and experimental verification of a squeeze mode magnetorheological damper using a novel hysteresis model. Proc. Inst. Mech. Eng. Part C J. Mech. Eng. Sci. 2019, 233, 5253–5263. [Google Scholar] [CrossRef]
- Zapoměl, J.; Ferfecki, P.; Molčan, M. Optimization of control parameters of magnetorheological squeeze film dampers to minimize the vibration amplitude of rotors passing the critical speed. Appl. Sci. 2023, 13, 6905. [Google Scholar] [CrossRef]
- Zapoměl, J.; Ferfecki, P.; Kozánek, J. Modelling of magnetorheological squeeze film dampers for vibration suppression of rigid rotors. Int. J. Mech. Sci. 2017, 127, 191–197. [Google Scholar] [CrossRef]
- Zapoměl, J.; Ferfecki, P.; Forte, P. A computational investigation of the transient response of an unbalanced rigid rotor flexibly supported and damped by short magnetorheological squeeze film dampers. Smart Mater. Struct. 2012, 21, 105011. [Google Scholar] [CrossRef]
- Irannejad, M.; Ohadi, A. Vibration analysis of a rotor supported on magnetorheological squeeze film damper with short bearing approximation: A contrast between short and long bearing approximations. J. Vib. Control 2015, 23, 1792–1808. [Google Scholar] [CrossRef]
- Ghaffari, A.; Hashemabadi, S.H.; Ashtiani, M. A review on the simulation and modeling of magnetorheological fluids. J. Intell. Mater. Syst. Struct. 2014, 26, 881–904. [Google Scholar] [CrossRef]
- Fernandes, C.; Faroughi, S.A. Particle-level simulation of magnetorheological fluids: A fully-resolved solver. Int. J. Multiph. Flow 2023, 169, 104604. [Google Scholar] [CrossRef]
- Vågberg, D.; Tighe, B.P. On the apparent yield stress in non-Brownian magnetorheological fluids. Soft Matter 2017, 13, 7207–7221. [Google Scholar] [CrossRef] [PubMed]
- Chopra, I.; Sirohi, J. Smart Structures Theory, 1st ed.; Cambridge University Press: New York, NY, USA, 2013; pp. 685–738. [Google Scholar]
- Bigué, J.-P.L.; Landry-Blais, A.; Pin, A.; Pilon, R.; Plante, J.-S.; Chen, X.; Andrews, M. On the relation between the Mason number and the durability of MR fluids. Smart Mater. Struct. 2019, 28, 094003. [Google Scholar] [CrossRef]
- Childs, P.R.N. Rotating Flow, 1st ed.; Butterworth-Heinemann: Oxford, UK, 2011; pp. 177–248. [Google Scholar]
- Ishida, Y.; Yamamoto, T. Linear and Nonlinear Rotordynamics: A Modern Treatment with Applications, 2nd ed.; Wiley-VCH: Weinheim, Germany, 2012; pp. 235–262. [Google Scholar]
- Szeri, A.Z. Fluid Film Lubrication, 2nd ed.; Cambridge University Press: New York, NY, USA, 2011; pp. 54–87. [Google Scholar]
- Wang, H.; Zhao, Y.; Yang, T.; Luo, Z.; Han, Q. Navigating the dynamics of squeeze film dampers: Unraveling stiffness and damping using a dual lens of Reynolds equation and neural network models for sensitivity analysis and predictive insights. Mathematics 2024, 12, 771. [Google Scholar] [CrossRef]
- Shizhu, W.; Ping, H. Principles of Tribology, 1st ed.; John Wiley & Sons (Asia) Pte Ltd.: Singapore, 2012; pp. 23–42. [Google Scholar]
- Hamzehlouia, S.; Behdinan, K. Squeeze film dampers supporting high-speed rotors: Fluid inertia effects. Proc. Inst. Mech. Eng. J J. Eng. Tribol. 2019, 234, 18–32. [Google Scholar] [CrossRef]
- Mewis, J.; Wagner, N.J. Colloidal Suspension Rheology, 1st ed.; Cambridge University Press: New York, NY, USA, 2012; pp. 36–79. [Google Scholar]
- Manjeet, K.; Sujatha, C. Magnetorheological valves based on Herschel–Bulkley fluid model: Modelling, magnetostatic analysis and geometric optimization. Smart Mater. Struct. 2019, 28, 115008. [Google Scholar] [CrossRef]
- Vereda, F.; de Vicente, J.; Segovia-Gutíerrez, J.P.; Hidalgo-Alvarez, R. Average particle magnetization as an experimental scaling parameter for the yield stress of dilute magnetorheological fluids. J. Phys. D Appl. Phys. 2011, 44, 425002. [Google Scholar] [CrossRef]












Disclaimer/Publisher’s Note: The statements, opinions and data contained in all publications are solely those of the individual author(s) and contributor(s) and not of MDPI and/or the editor(s). MDPI and/or the editor(s) disclaim responsibility for any injury to people or property resulting from any ideas, methods, instructions or products referred to in the content. |
© 2026 by the authors. Licensee MDPI, Basel, Switzerland. This article is an open access article distributed under the terms and conditions of the Creative Commons Attribution (CC BY) license.
Share and Cite
Escandón, J.P.; Gómez, J.R.; Vargas, R.O.; Jimenez, E.M.; Mil-Martínez, R.; Zacarías, A. Hydrodynamic Response of a Short Magnetorheological Squeeze Film Damper Based on the Mason Number. Appl. Sci. 2026, 16, 2791. https://doi.org/10.3390/app16062791
Escandón JP, Gómez JR, Vargas RO, Jimenez EM, Mil-Martínez R, Zacarías A. Hydrodynamic Response of a Short Magnetorheological Squeeze Film Damper Based on the Mason Number. Applied Sciences. 2026; 16(6):2791. https://doi.org/10.3390/app16062791
Chicago/Turabian StyleEscandón, Juan P., Juan R. Gómez, René O. Vargas, Edson M. Jimenez, Rubén Mil-Martínez, and Alejandro Zacarías. 2026. "Hydrodynamic Response of a Short Magnetorheological Squeeze Film Damper Based on the Mason Number" Applied Sciences 16, no. 6: 2791. https://doi.org/10.3390/app16062791
APA StyleEscandón, J. P., Gómez, J. R., Vargas, R. O., Jimenez, E. M., Mil-Martínez, R., & Zacarías, A. (2026). Hydrodynamic Response of a Short Magnetorheological Squeeze Film Damper Based on the Mason Number. Applied Sciences, 16(6), 2791. https://doi.org/10.3390/app16062791

