Synergistic Reinforcement of Butadiene Rubber via Syndiotactic 1,2-Polybutadiene Predispersion: Balancing Modulus, Toughness, and Dynamic Performance
Abstract
1. Introduction
2. Experimental
2.1. Materials
2.2. Preparation of SPB@BR Predispersion
2.3. Preparation of NR/SPB@BR Composites
2.4. Characterizations
3. Results and Discussion
3.1. Proposed Strategy for Fabrication and Characterization of SPB@BR Predispersion
3.2. Curing and Rheological Properties of NR/SPB@BR Compounds
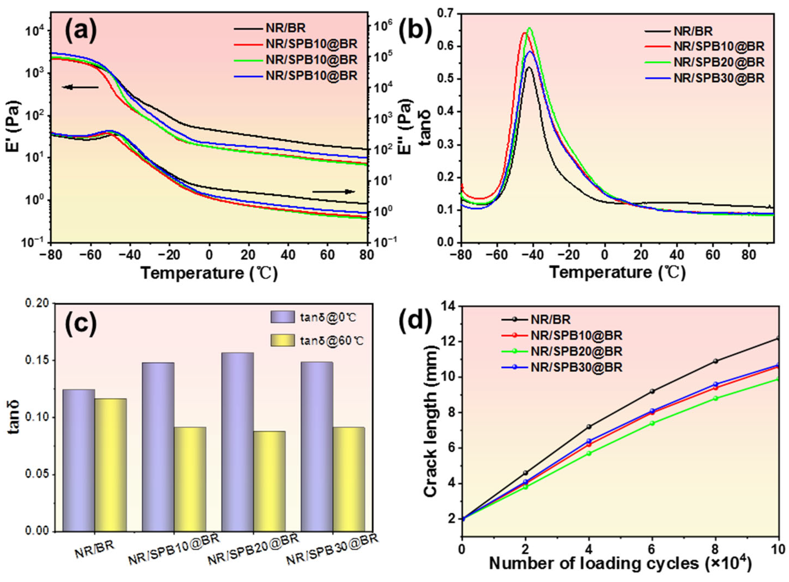
3.3. Characterization of the NR/SPB@BR Vulcanizates
4. Conclusions
Supplementary Materials
Author Contributions
Funding
Institutional Review Board Statement
Informed Consent Statement
Data Availability Statement
Conflicts of Interest
References
- Kim, H.J.; Hamed, G.R. On the Reason that Passenger Tire Sidewalls are Based on Blends of Natural Rubber andcis-Polybutadiene. Rubber Chem. Technol. 2000, 73, 743–752. [Google Scholar] [CrossRef]
- Ma, L.; Zhang, Z.; Peng, Z.; Formela, K.; Wang, S. Dynamic mechanical properties and flexing fatigue resistance of tire sidewall rubber as function of waste tire rubber reclaiming degree. J. Appl. Polym. Sci. 2021, 138, 51290. [Google Scholar] [CrossRef]
- Scarton, C.T.; Guerra, N.B.; Giovanela, M.; Moresco, S.; Crespo, J.D.S. Evaluation of natural and epoxidized vegetable oil in elastomeric compositions for tread rubber. J. Elastomers Plast. 2021, 54, 264–278. [Google Scholar] [CrossRef]
- Zhu, H.; Tang, M.; Hao, Y.-Q.; Zhou, Z.-F.; Sun, D.; Yu, P.-F.; Wu, Y.-X. Novel polybutadiene rubber with long cis-1,4 and syndiotactic vinyl segments (CVBR) for high performance sidewall of all-steel giant off-the-road tire. Compos. Part B Eng. 2024, 275, 111349. [Google Scholar] [CrossRef]
- Tomazi, R.C.; Guerra, N.B.; Giovanela, M.; Moresco, S.; da Silva Crespo, J. Evaluation of vulcanization systems in natural rubber elastomeric tire sidewall compositions with lignin as a stabilizing agent. Polym. Bull. 2022, 80, 8977–8994. [Google Scholar] [CrossRef]
- Fröhlich, J.; Niedermeier, W.; Luginsland, H.D. The effect of filler–filler and filler–elastomer interaction on rubber reinforcement. Compos. Part A Appl. Sci. Manuf. 2005, 36, 449–460. [Google Scholar] [CrossRef]
- Głowacka, K.; Klemenc, J.; Nagode, M.; Łagoda, T. Fatigue lifetime of rubber composites—State-of-the-art. Polym. Test. 2025, 143, 108713. [Google Scholar] [CrossRef]
- Schieppati, J.; Schrittesser, B.; Wondracek, A.; Robin, S.; Holzner, A.; Pinter, G. Effect of mechanical loading history on fatigue crack growth of non-crystallizing rubber. Eng. Fract. Mech. 2021, 257, 108010. [Google Scholar] [CrossRef]
- Ning, N.; Hu, L.; Yao, P.; Wu, H.; Han, J.; Zhang, L.; Tian, H.; Tian, M. Study on the microstructure and properties of bromobutyl rubber (BIIR)/polyamide-12 (PA12) thermoplastic vulcanizates (TPVs). J. Appl. Polym. Sci. 2015, 133. [Google Scholar] [CrossRef]
- Wang, Z.; Zhao, H.; Zhao, J.; Wang, X. Rheological, mechanical and morphological properties of thermoplastic vulcanizates based on high impact polystyrene and styrene-butadiene rubber. J. Appl. Polym. Sci. 2010, 117, 2523–2529. [Google Scholar] [CrossRef]
- Saengdee, L.; Daniel, P.; Amornsakchai, T.; Chaiyanurakkul, A.; Phinyocheep, P. Thermoplastic vulcanizates derived from modified natural rubbers and polypropylene. Iran. Polym. J. 2021, 31, 287–299. [Google Scholar] [CrossRef]
- Rana, L.; Kouka, S.; Gajdosova, V.; Strachota, B.; Konefał, M.; Pokorny, V.; Pavlova, E.; Stary, Z.; Lukes, J.; Patocka, M.; et al. Thermoplastic Starch with Maltodextrin: Preparation, Morphology, Rheology, and Mechanical Properties. Materials 2024, 17, 5474. [Google Scholar] [CrossRef] [PubMed]
- Tang, Q.; Hu, S.; Han, L.; Zong, C.; Sun, J. Morphological Evolution and Damping Properties of Dynamically Vulcanized Butyl Rubber/Polypropylene Thermoplastic Elastomers. Polymers 2022, 14, 2740. [Google Scholar] [CrossRef] [PubMed]
- Wu, H.; Tian, M.; Zhang, L.; Tian, H.; Wu, Y.; Ning, N.; Hu, G.-H. Effect of Rubber Nanoparticle Agglomeration on Properties of Thermoplastic Vulcanizates during Dynamic Vulcanization. Polymers 2016, 8, 127. [Google Scholar] [CrossRef]
- Bayati, A.; Yousefi, M.A.; Rahmatabadi, D.; Baniassadi, M.; Abrinia, K.; Bodaghi, M.; George, D.; Baghani, M. 3D printing thermoplastic vulcanizates: Current limitations, innovative solutions, and emerging applications. Mater. Today Adv. 2025, 28, 100664. [Google Scholar] [CrossRef]
- Liang, S.; Zhang, H.; Cong, R.; Liu, H.; Wang, F.; Hu, Y.; Zhang, X. In-chain functionalized syndiotactic 1,2-polybutadiene by a Ziegler-Natta iron(iii) catalytic system. RSC Adv. 2019, 9, 33465–33471. [Google Scholar] [CrossRef]
- Pan, W.; Chen, H.; Mu, J.; Li, W.; Jiang, F.; Weng, G.; Hu, Y.; Gong, D.; Zhang, X. Synthesis of high crystalline syndiotactic 1,2-polybutadienes and study on their reinforcing effect on cis-1,4 polybutadiene. Polymer 2017, 111, 20–26. [Google Scholar] [CrossRef]
- Xia, B.; Li, Z.; Lin, T.; Gao, M.; Zhao, C.; Wu, X.; Lin, C.; Wang, J. Self-Healing, Recyclable Syndiotactic 1,2-Polybutadiene-Based Thermadapt Shape Memory Polymers with Cold-Programmed Shape Memory Effect. ACS Appl. Polym. Mater. 2023, 6, 102–114. [Google Scholar] [CrossRef]
- Yu, Y.; Xu, S.; Pang, L.; Jiang, B.; Liu, H.; Zhang, C.; Zhang, X. Enhancing dynamic properties of natural rubber nanocomposites: A novel syndiotactic 1,2-polybutadiene via iron-catalyzed butadiene-ethylene copolymerization. Chem. Eng. J. 2025, 525, 170255. [Google Scholar] [CrossRef]
- Sen, A.K.; Chanda, J.; Shee, B.; Mazumder, A.; Dasgupta, M.; Ghosh, P.; Mukhopadhyay, R. Improvement of thermo-mechanical and fatigue crack growth resistance of tire sidewall compound by introducing syndiotactic polybutadiene. J. Appl. Polym. Sci. 2022, 139, e52602. [Google Scholar] [CrossRef]
- Takahashi, Y.; Liang, X.; Nakajima, K. Mechanical property and structure of a butadiene rubber composite filled with syndiotactic polybutadiene resin. J. Appl. Polym. Sci. 2019, 136, 47934. [Google Scholar] [CrossRef]
- Yu, Y.; Xu, S.; Zhao, Y.; Sun, Y.; Liu, H.; Zhang, C.; Zhang, X. Syndiotactic 1,2-polybutadiene with regulable viscoelasticity and crystallinity via a steric hindrance strategy for promoting the dynamic mechanical properties of nanocomposites. Compos. Part A Appl. Sci. Manuf. 2025, 191, 108723. [Google Scholar] [CrossRef]
- ISO 37:2024; Rubber, Vulcanized or Thermoplastic—Determination of Tensile Stress-Strain Properties. International Organization for Standardization: Geneva, Switzerland, 2024.
- ISO 48-4:2018; Rubber, Vulcanized or Thermoplastic—Determination of Hardness—Part 4: Indentation Hardness by Durometer Method (Shore Hardness). International Organization for Standardization: Geneva, Switzerland, 2018.
- ISO 132:2017; Rubber, Vulcanized or Thermoplastic—Determination of Flex Cracking and Crack Growth (De Mattia). International Organization for Standardization: Geneva, Switzerland, 2017.
- Yu, P.; He, H.; Luo, Y.; Jia, D.; Dufresne, A. Reinforcement of Natural Rubber: The Use of in Situ Regenerated Cellulose from Alkaline-Urea-Aqueous System. Macromolecules 2017, 50, 7211–7221. [Google Scholar] [CrossRef]
- Liu, E.; Li, X.; Zhang, A.; Tang, J.; Hua, J. Synthesis and Performance of Vinyl Butadiene-Pentadiene Copolymers with Tunable Melting Points Based on Cobalt Catalytic Systems: Toward Low-Melting, High-Strength, and High-Toughness Syndiotactic 1,2-Polybutadiene. Ind. Eng. Chem. Res. 2025, 64, 24264–24274. [Google Scholar] [CrossRef]
- Xu, M.; Zhang, K.; Wang, L.; Wang, Q. Spider silk inspired bead-like aramid nanofibers via hydrogen-bond donor strategy for synergistic reinforcement of high-performance rubber composite. Compos. Part B Eng. 2023, 255, 110616. [Google Scholar] [CrossRef]






| Ingredients (phr) | NR/BR | NR/SPB10@BR | NR/SPB20@BR | NR/SPB30@BR |
|---|---|---|---|---|
| NR (SCR 5) | 40 | 40 | 40 | 40 |
| BR | 60 | - | - | - |
| SPB@BR | - | 60 (SPB10@BR) | 60 (SPB20@BR) | 60 (SPB30@BR) |
Disclaimer/Publisher’s Note: The statements, opinions and data contained in all publications are solely those of the individual author(s) and contributor(s) and not of MDPI and/or the editor(s). MDPI and/or the editor(s) disclaim responsibility for any injury to people or property resulting from any ideas, methods, instructions or products referred to in the content. |
© 2026 by the authors. Licensee MDPI, Basel, Switzerland. This article is an open access article distributed under the terms and conditions of the Creative Commons Attribution (CC BY) license.
Share and Cite
Wei, Y.; Li, X.; Kang, X.; Xie, X. Synergistic Reinforcement of Butadiene Rubber via Syndiotactic 1,2-Polybutadiene Predispersion: Balancing Modulus, Toughness, and Dynamic Performance. Appl. Sci. 2026, 16, 2465. https://doi.org/10.3390/app16052465
Wei Y, Li X, Kang X, Xie X. Synergistic Reinforcement of Butadiene Rubber via Syndiotactic 1,2-Polybutadiene Predispersion: Balancing Modulus, Toughness, and Dynamic Performance. Applied Sciences. 2026; 16(5):2465. https://doi.org/10.3390/app16052465
Chicago/Turabian StyleWei, Yanxing, Xiaofan Li, Xiaodong Kang, and Xinzheng Xie. 2026. "Synergistic Reinforcement of Butadiene Rubber via Syndiotactic 1,2-Polybutadiene Predispersion: Balancing Modulus, Toughness, and Dynamic Performance" Applied Sciences 16, no. 5: 2465. https://doi.org/10.3390/app16052465
APA StyleWei, Y., Li, X., Kang, X., & Xie, X. (2026). Synergistic Reinforcement of Butadiene Rubber via Syndiotactic 1,2-Polybutadiene Predispersion: Balancing Modulus, Toughness, and Dynamic Performance. Applied Sciences, 16(5), 2465. https://doi.org/10.3390/app16052465
