A Deep Learning-Based Decision Support System for Sensory Evaluation: A Predictive Framework for Functional Product Taste Assessment in Neuromarketing
Abstract
1. Introduction
2. Method
2.1. General Methodology
2.2. Research Methodology
2.3. Electroencephalographic Signals
2.3.1. Acquisition
2.3.2. Time Series Corpus
2.3.3. Principal Component Analysis
2.3.4. Pass-Band Filtering
2.3.5. Deep Convolutional Neural Network Architecture
3. Results
3.1. Experiments
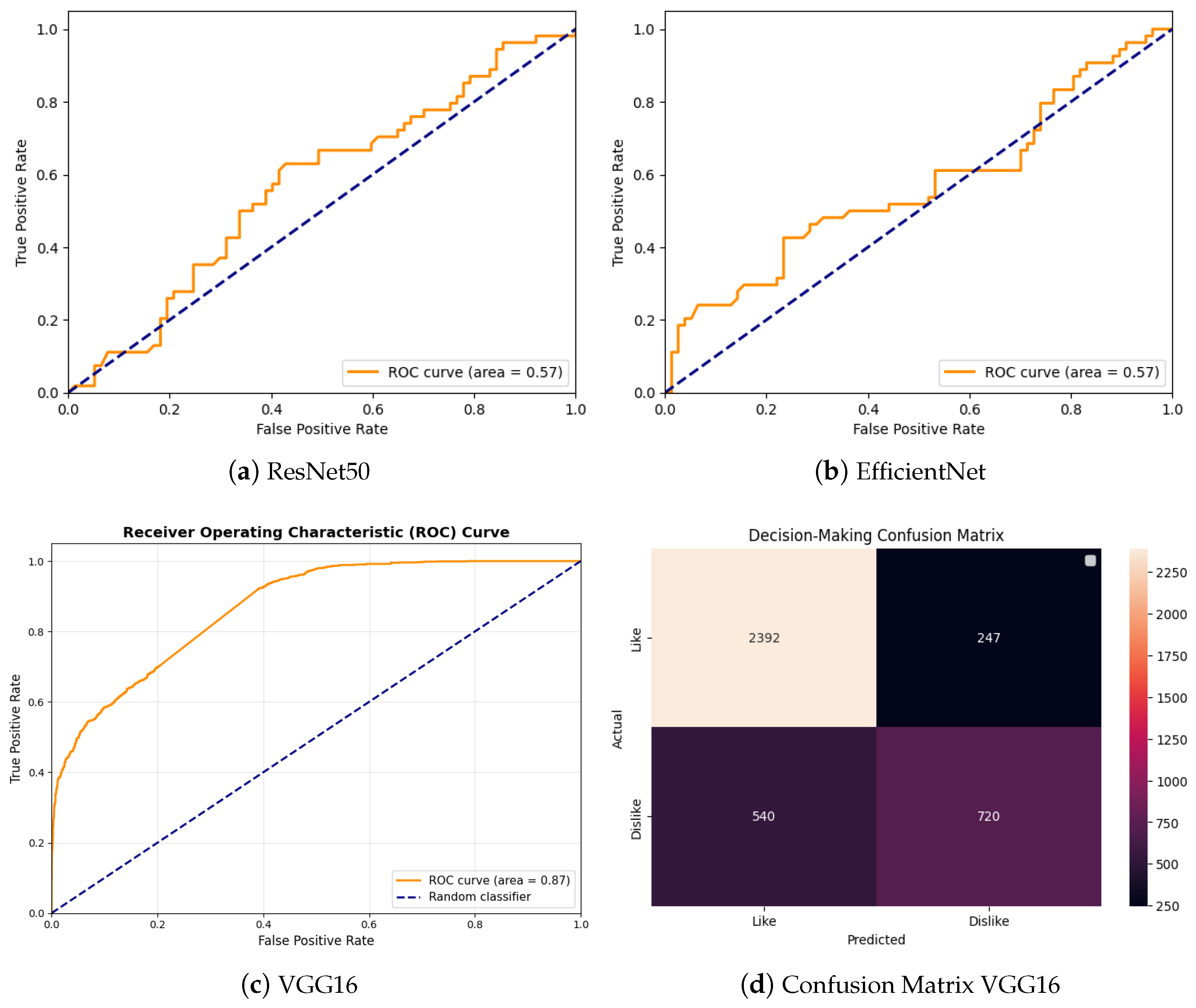
3.2. Comparison of Proposed Architecture vs. Well-Known Models
3.3. Emotional Reaction During the Experiment
3.4. Discussion
4. Conclusions
Author Contributions
Funding
Data Availability Statement
Acknowledgments
Conflicts of Interest
References
- Instituto Nacional de Estadística y Geografía. Producto Interno Bruto por Entidad Federativa, 2020. 2021. Available online: https://www.inegi.org.mx/app/tabulados/default.aspx?pr=17&vr=6&in=2&tp=20&wr=1&cno=2 (accessed on 24 February 2026).
- Oropeza Abúndez, C. (Ed.) Encuesta Nacional de Salud y Nutrición 2018–19: Resultados Nacionales, 1st ed.; Instituto Nacional de Salud Pública: Cuernavaca, Mexico, 2020. [Google Scholar]
- Barquera, S.; Hernández-Barrera, L.; Trejo, B.; Shamah, T.; Campos-Nonato, I.; Rivera-Dommarco, J. Obesidad en méxico, prevalencia y tendencias en adultos. ensanut 2018–19. Salud Pública México 2020, 62, 682–692. [Google Scholar] [CrossRef]
- Tinoco-Lara, M.; Villuendas-Rey, Y.; Vilchis García, J.I.; Arguelles, A. Kraken: Dietary behavior and preferences-based food recommender system. Comput. Sist. 2024, 28, 1833–1845. [Google Scholar] [CrossRef]
- Ríos-Reyna, C.; Díaz-Ramírez, G.; Castillo-Ruíz, O.; Pardo-Buitimea, N.Y.; Alemán-Castillo, S.E. [policies and strategies to combat obesity in latin america]. Rev. Medica Inst. Mex. Seguro Soc. 2022, 60, 666–674. [Google Scholar]
- Gaona-Pineda, E.B.; Martínez-Tapia, B.; Arango-Angarita, A.; Valenzuela-Bravo, D.; Gómez-Acosta, L.M.; Shamah-Levy, T.; Rodríguez-Ramírez, S. Consumo de grupos de alimentos y factores sociodemográficos en población mexicana. Salud Pública México 2018, 60, 272. [Google Scholar] [CrossRef] [PubMed]
- Maldonado-Sifuentes, C.E.; Vargas-Santiago, M.; Leon-Velasco, D.A.; Ortega-García, M.C.; Ledo-Mezquita, Y.; Castillo-Velasquez, F.A. Leveraging machine learning to unveil the critical role of geographic factors in COVID-19 mortality in mexico. Comput. Sist. 2024, 28, 5–18. [Google Scholar] [CrossRef]
- González-Alejo, A.L.; Ajuria, B.; Manzano-Fischer, P.; Flores, J.S.; Monachon, D.S. Las redes alimentarias alternativas y la reconfiguración de los ambientes alimentários en tiempo de COVID-19 en México. Finisterra 2020, 55, 197–203. [Google Scholar]
- Sanitas. Alimentos Funcionales. 2026. Available online: https://www.sanitas.es/biblioteca-de-salud/dieta-alimentacion/alimentos/alimentos-funcionales (accessed on 24 February 2026).
- Al-Nafjan, A. Feature selection of eeg signals in neuromarketing. PeerJ Comput. Sci. 2022, 8, e944. [Google Scholar] [CrossRef]
- Hassani, A.; Hekmatmanesh, A.; Nasrabadi, A.M. Gender Differences in EEG Responses to Color and Black-White Images: Implications for Neuromarketing Strategies. IEEE Access 2023, 11, 93739–93753. [Google Scholar] [CrossRef]
- Li, Y.; Kang, L.; Li, Z.; Jiang, F.; Bi, N.; Du, T.; Abiri, M. Time-aware outlier detection in health physique monitoring in edge-aided sport education decision-makings. J. Cloud Comput. 2024, 13, 73. [Google Scholar] [CrossRef]
- McClure, S.M.; Li, J.; Tomlin, D.; Cypert, K.S.; Montague, L.M.; Montague, P. Neural Correlates of Behavioral Preference for Culturally Familiar Drinks. Neuron 2004, 44, 379–387. [Google Scholar] [CrossRef]
- Alcántara, T.; García-Vázquez, O.; Hernández, M.; Calvo, H.; Desiderio, A. Lyricscraper: A dataset of spanish song lyrics created via web scraping and dual-labeling for llm classification. Comput. Sist. 2024, 28, 2251–2260. [Google Scholar] [CrossRef]
- Patra, S.; Satpathy, R.N.; Panigrahi, C.R.; Nanda, S. Human emotion and sentiment analysis using machine learning. Comput. Sist. 2025, 29, 765–772. [Google Scholar] [CrossRef]
- Agarwal, S.; Xavier, M. Innovations in Consumer Science: Applications of Neuro-Scientific Research Tools. In Adoption of Innovation: Balancing Internal and External Stakeholders in the Marketing of Innovation; Springer: Cham, Switzerland, 2015; pp. 25–42. [Google Scholar]
- Thiebaut, R.; Elshourbagi, A. The Effect of Neuromarketing and Subconscious Branding on Business Profitability and Brand Image: A New Business Model Innovation for Startups; IGI Global: Hershey, PA, USA, 2023. [Google Scholar]
- Wittig de Penna, E. Evaluación Sensorial Una Metodología Actual para Tecnología de Alimentos; Facultad de Ciencias Básicas y Farmacéuticas de la Universidad de Chile: Santiago, Chile, 2001. [Google Scholar]
- Bhattacharya, J.; Kanjilal, P.; Nizamie, S. Decomposition of posterior alpha rhythm. IEEE Trans. Biomed. Eng. 2000, 47, 738–747. [Google Scholar] [CrossRef] [PubMed]
- Haddix, C.; Al-Bakri, A.F.; Besio, W.; Sunderam, S. A comparison of eeg alpha rhythm detection by tripolar concentric ring electrodes and conventional disk electro des. In 2018 IEEE International Symposium on Signal Processing and Information Technology (ISSPIT); IEEE: New York, NY, USA, 2018; pp. 68–72. [Google Scholar]
- Li, K.G.; Shapiai, M.I.; Adam, A.; Ibrahim, Z. Feature scaling for eeg human concentration using particle swarm optimization. In 2016 8th International Conference on Information Technology and Electrical Engineering (ICITEE); IEEE: New York, NY, USA, 2016; pp. 1–6. [Google Scholar]
- Jenke, R.; Peer, A.; Buss, M. Feature extraction and selection for emotion recognition from eeg. IEEE Trans. Affect. Comput. 2014, 5, 327–339. [Google Scholar] [CrossRef]
- Jiang, K.; Tang, J.; Wang, Y.; Qiu, C.; Zhang, Y.; Lin, C. Eeg feature selection via stacked deep embedded regression with joint sparsity. Front. Neurosci. 2020, 14, 829. [Google Scholar] [CrossRef]
- Pei, G.; Li, T. A literature review of eeg-based affective computing in marketing. Front. Phsicol. 2021, 12, 602843. [Google Scholar] [CrossRef]
- Daud, S.; Sudirman, R. Butterworth bandpass and stationary wavelet transform filter comparison for electroencephalography signal. In 2015 6th International Conference on Intelligent Systems, Modelling and Simulation; IEEE: New York, NY, USA, 2015; pp. 123–126. [Google Scholar]
- Zhang, S.; Zhu, L. General synthesis method for symmetrical even-order chebyshev bandpass filter. In 2012 Asia Pacific Microwave Conference Proceedings; IEEE: New York, NY, USA, 2012; pp. 667–669. [Google Scholar]
- Widadi, R.; Soesanti, I.; Wahyunggoro, O. Eeg classification using elliptic filter and multilayer perceptron based on gamma activity features. In 2018 4th International Conference on Science and Technology (ICST); IEEE: New York, NY, USA, 2018; pp. 1–5. [Google Scholar]
- Brookshire, G.; Kasper, J.; Blauch, N.M.; Wu, Y.C.; Glatt, R.; Merrill, D.A.; Gerrol, S.; Yoder, K.J.; Quirk, C.; Lucero, C. Data leakage in deep learning studies of translational eeg. Front. Neurosci. 2024, 18, 1373515. [Google Scholar] [CrossRef]
- Del Pup, F.; Zanola, A.; Tshimanga, L.F.; Bertoldo, A.; Finos, L.; Atzori, M. The role of data partitioning on the performance of eeg-based deep learning models in supervised cross-subject analysis: A preliminary study. Comput. Biol. Med. 2025, 196, 110608. [Google Scholar] [CrossRef]
- Jolliffe, I.T.; Cadima, J. Principal component analysis: A review and recent developments. Philos. Trans. R. Soc. A Math. Phys. Eng. Sci. 2016, 374, 20150202. [Google Scholar] [CrossRef]
- Wang, J.; Zhang, W. Integrating pca and dcnn for enhanced feature extraction in eeg signal analysis. J. Neural Eng. 2019, 16, 056013. [Google Scholar]
- Balconi, M.; Sansone, M. Neuroscience and consumer behavior: Where to now? Front. Psychol. 2021, 12, 705850. [Google Scholar]
- Subasi, A.; Ismail Gursoy, M. Eeg signal classification using pca, ica, lda and support vector machines. Expert Syst. Appl. 2010, 37, 8659–8666. [Google Scholar] [CrossRef]
- Harmony, T. The functional significance of delta oscillations in cognitive processing. Front. Integr. Neurosci. 2013, 7, 83. [Google Scholar] [CrossRef]
- Başar, E.; Başar-Eroglu, C.; Karakaş, S.; Schürmann, M. Gamma, alpha, delta, and theta oscillations govern cognitive processes. Int. J. Psychophysiol. 2001, 39, 241–248. [Google Scholar] [CrossRef]
- Yang, L.; Zhang, C.; Wu, W.; Xie, J.; Ding, Z. Advancements and applications of eeg in gustatory perception. Brain Sci. 2025, 15, 1317. [Google Scholar] [CrossRef]
















| Precision | Recall | F1 Score | Support | |
|---|---|---|---|---|
| Dislike | 0.82 | 0.68 | 0.74 | 2639 |
| Like | 0.62 | 0.78 | 0.69 | 1260 |
| Accuracy | 0.72 | 3899 | ||
| Macro avg | 0.72 | 0.73 | 0.71 | 3899 |
| Weighted avg | 0.74 | 0.72 | 0.72 | 3899 |
| Precision | Recall | F1 Score | Support | |
|---|---|---|---|---|
| Dislike | 0.98 | 0.98 | 0.98 | 2639 |
| Like | 0.97 | 0.95 | 0.96 | 1260 |
| Accuracy | 0.97 | 3899 | ||
| Macro avg | 0.97 | 0.97 | 0.97 | 3899 |
| Weighted avg | 0.97 | 0.97 | 0.97 | 3899 |
| Precision | Recall | F1 Score | Support | |
| Acidic | 1.00 | 1.00 | 1.00 | 986 |
| Bitter | 1.00 | 1.00 | 1.00 | 868 |
| Salty | 1.00 | 1.00 | 1.00 | 975 |
| Sweet | 0.99 | 1.00 | 1.00 | 986 |
| Accuracy | 1.00 | 3815 | ||
| Macro avg | 1.00 | 1.00 | 1.00 | 3815 |
| Weighted avg | 1.00 | 1.00 | 1.00 | 3815 |
| Precision | Recall | F1 Score | Support | |
| Acidic Dislike | 0.81 | 0.85 | 0.83 | 26 |
| Acidic Like | 0.94 | 0.92 | 0.93 | 66 |
| Bitter Dislike | 1.00 | 0.92 | 0.96 | 65 |
| Bitter Like | 0.86 | 1.00 | 0.92 | 30 |
| Salty Dislike | 0.79 | 0.93 | 0.85 | 44 |
| Salty Like | 0.92 | 0.75 | 0.83 | 48 |
| Sweet Dislike | 0.82 | 0.75 | 0.78 | 12 |
| Sweet Like | 0.95 | 0.98 | 0.96 | 83 |
| Accuracy | 0.91 | 374 | ||
| Macro avg | 0.89 | 0.89 | 0.88 | 374 |
| Weighted avg | 0.91 | 0.91 | 0.91 | 374 |
Disclaimer/Publisher’s Note: The statements, opinions and data contained in all publications are solely those of the individual author(s) and contributor(s) and not of MDPI and/or the editor(s). MDPI and/or the editor(s) disclaim responsibility for any injury to people or property resulting from any ideas, methods, instructions or products referred to in the content. |
© 2026 by the authors. Licensee MDPI, Basel, Switzerland. This article is an open access article distributed under the terms and conditions of the Creative Commons Attribution (CC BY) license.
Share and Cite
Moreno Escobar, J.J.; Pérez Franco, V.d.J.; Castillo Pérez, M.D.; Coria Páez, A.L.; Aguilar del Villar, E.Y.; Quintana Espinosa, H. A Deep Learning-Based Decision Support System for Sensory Evaluation: A Predictive Framework for Functional Product Taste Assessment in Neuromarketing. Appl. Sci. 2026, 16, 2368. https://doi.org/10.3390/app16052368
Moreno Escobar JJ, Pérez Franco VdJ, Castillo Pérez MD, Coria Páez AL, Aguilar del Villar EY, Quintana Espinosa H. A Deep Learning-Based Decision Support System for Sensory Evaluation: A Predictive Framework for Functional Product Taste Assessment in Neuromarketing. Applied Sciences. 2026; 16(5):2368. https://doi.org/10.3390/app16052368
Chicago/Turabian StyleMoreno Escobar, Jesús Jaime, Verónica de Jesús Pérez Franco, Mauro Daniel Castillo Pérez, Ana Lilia Coria Páez, Erika Yolanda Aguilar del Villar, and Hugo Quintana Espinosa. 2026. "A Deep Learning-Based Decision Support System for Sensory Evaluation: A Predictive Framework for Functional Product Taste Assessment in Neuromarketing" Applied Sciences 16, no. 5: 2368. https://doi.org/10.3390/app16052368
APA StyleMoreno Escobar, J. J., Pérez Franco, V. d. J., Castillo Pérez, M. D., Coria Páez, A. L., Aguilar del Villar, E. Y., & Quintana Espinosa, H. (2026). A Deep Learning-Based Decision Support System for Sensory Evaluation: A Predictive Framework for Functional Product Taste Assessment in Neuromarketing. Applied Sciences, 16(5), 2368. https://doi.org/10.3390/app16052368

