High-Precision Density Log Reconstruction Method Based on the RF-Transformer Algorithm
Abstract
1. Introduction
2. Methods
2.1. Overall Architecture
2.2. Random-Forest Feature Screening and Subset Construction
2.3. Transformer-Based Sequence Representation and Reconstruction Regression
3. Experiments
3.1. Experimental Setup
3.2. Dataset
3.3. Evaluation Metrics
4. Results and Discussion
4.1. Overall Accuracy and Trend Consistency
4.2. Input-Feature Correlation Analysis Supporting RF Screening
4.3. Local-Interval Detail Fidelity and Abrupt-Boundary Tracking
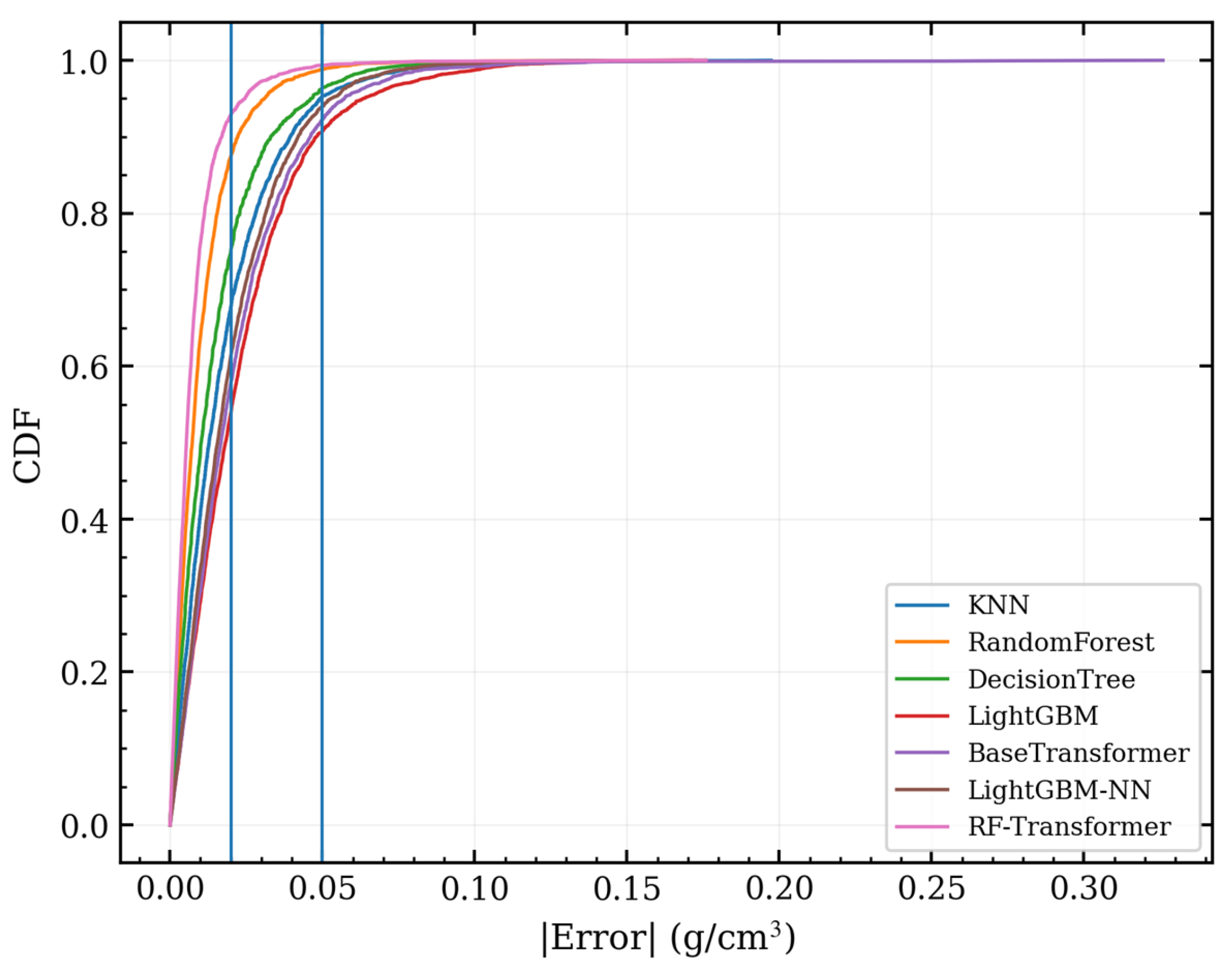
4.4. Prediction Consistency and Statistical Distribution of Errors
5. Conclusions
Author Contributions
Funding
Data Availability Statement
Conflicts of Interest
Abbreviations
| DEN | Density log (bulk density) |
| CNL | Compensated neutron log |
| AC | Acoustic/Sonic slowness log |
| CAL | Caliper log |
| CALX | Caliper log (X-direction component) |
| CALY | Caliper log (Y-direction component) |
| GR | Gamma ray log |
| GRSL | Gamma ray (auxiliary) |
| SP | Spontaneous potential log |
| LLD | Deep laterolog resistivity (deep resistivity channel) |
| LLS | Shallow laterolog resistivity (shallow resistivity channel) |
| RT | True formation resistivity |
| RILM | Resistivity channel |
| RFOC | Resistivity-related channel |
| CILD | Resistivity-related channel |
| AZIM | Azimuth (wellbore/tool azimuth) |
| DEVI | Deviation (well deviation angle) |
| K | Potassium (spectral gamma-related channel) |
| TH | Thorium (spectral gamma-related channel) |
| U | Uranium (spectral gamma-related channel) |
| KTH | Spectral gamma-related channel |
References
- Asquith, G.B.; Krygowski, D. Basic Well Log Analysis, 2nd ed.; American Association of Petroleum Geologists (AAPG): Tulsa, OK, USA, 2004. [Google Scholar]
- Schlumberger. Log Interpretation: Principles/Applications; Schlumberger Educational Services: Houston, TX, USA, 1989. [Google Scholar]
- Gama, P.H.T.; Faria, J.; Sena, J.; Neves, F.; Riffel, V.R.; Perez, L.; Korenchendler, A.; Sobreira, M.C.A.; Machado, A.M.C. Imputation in well log data: A benchmark for machine learning methods. Comput. Geosci. 2025, 196, 105789. [Google Scholar] [CrossRef]
- Garini, S.A.; Shiddiqi, A.M.; Utama, W.; Insani, A.N.F. Filling-well: An effective technique to handle incomplete well-log data for lithology classification using machine learning algorithms. MethodsX 2024, 14, 103127. [Google Scholar] [CrossRef] [PubMed]
- Chen, J.-R.; Yang, R.-Z.; Li, T.-T.; Xu, Y.-D.; Sun, Z.-P. Reconstruction of well-logging data using unsupervised machine learning-based outlier detection techniques (UML-ODTs) under adverse drilling conditions. Appl. Geophys. 2025, 22, 1–17. [Google Scholar] [CrossRef]
- Jiang, C.; Zhang, D.; Chen, S. Handling missing data in well-log curves with a gated graph neural network. Geophysics 2023, 88, D13–D30. [Google Scholar] [CrossRef]
- Kim, M.J.; Cho, Y. Imputation of missing values in well log data using k-nearest neighbor collaborative filtering. Comput. Geosci. 2024, 193, 105712. [Google Scholar] [CrossRef]
- Fan, P.; Deng, R.; Qiu, J.; Zhao, Z.; Wu, S. Well logging curve reconstruction based on kernel ridge regression. Arab. J. Geosci. 2021, 14, 1559. [Google Scholar] [CrossRef]
- Bader, S.; Wu, X.; Fomel, S. Missing log data interpolation and semiautomatic seismic well ties using data matching techniques. Interpretation 2019, 7, T347–T361. [Google Scholar] [CrossRef]
- Mirhashemi, M.; Khojasteh, E.R.; Manaman, N.S.; Makarian, E. Efficient sonic log estimations by geostatistics, empirical petrophysical relations, and their combination: Two case studies from Iranian hydrocarbon reservoirs. J. Pet. Sci. Eng. 2022, 213, 110384. [Google Scholar] [CrossRef]
- Hallam, A.; Mukherjee, D.; Chassagne, R. Multivariate imputation via chained equations for elastic well log imputation and prediction. Appl. Comput. Geosci. 2022, 14, 100083. [Google Scholar] [CrossRef]
- Mukherjee, B.; Sain, K.W. Missing log prediction using machine learning perspectives: A case study from upper Assam basin. Earth Sci. Inform. 2024, 17, 3071–3093. [Google Scholar] [CrossRef]
- Feng, R.; Grana, D.B. Imputation of missing well log data by random forest and its uncertainty analysis. Comput. Geosci. 2021, 152, 104763. [Google Scholar] [CrossRef]
- Qiao, L.; Cui, Y.; Jia, Z.; Xiao, K.; Su, H. Missing Well Logs Prediction Based on Hybrid Kernel Extreme Learning Machine Optimized by Bayesian Optimization. Appl. Sci. 2022, 12, 7838. [Google Scholar] [CrossRef]
- Akmal, L.; Pyrcz, M.J. Physics-Based DiscreXucy Modeling for Well Log Imputation. Math. Geosci. 2025, 57, 1235–1264. [Google Scholar] [CrossRef]
- Haritha, D.S. Generation of missing well log data with deep learning: CNN-Bi-LSTM approach. J. Appl. Geophys. 2025, 233, 105628. [Google Scholar] [CrossRef]
- Zhang, D.; Chen, Y.M. Synthetic well logs generation via recurrent neural networks. Pet. Explor. Dev. 2018, 45, 629–639. [Google Scholar] [CrossRef]
- Li, J.G. Digital construction of geophysical well logging curves using the LSTM deep-learning network. Front. Earth Sci. 2023, 10, 1041807. [Google Scholar] [CrossRef]
- Zhou, W.; Zhao, H.; Li, X.; Qi, Z.; Lai, F.; Yi, J. Missing well logs reconstruction based on cascaded bidirectional long short-term memory network. Expert Syst. Appl. 2025, 259, 125270. [Google Scholar] [CrossRef]
- Pham, N.; Wu, X.; Naeini, E.Z. Missing well log prediction using convolutional long short-term memory network. Geophysics 2020, 85, WA159–WA171. [Google Scholar] [CrossRef]
- Zhang, L.G. A deep learning multi-module fusion method for well logging curve reconstruction. Phys. Fluids 2025, 37, 076627. [Google Scholar] [CrossRef]
- Zeng, L.; Ren, W.S. Attention-based bidirectional gated recurrent unit neural networks for well logs prediction and lithology identification. Neurocomputing 2020, 414, 153–171. [Google Scholar] [CrossRef]
- Liao, W.; Gao, C.; Fang, J.; Zhao, B.; Zhang, Z. A TCN-BiGRU Density Logging Curve Reconstruction Method Based on Multi-Head Self-Attention Mechanism. Processes 2024, 12, 1589. [Google Scholar] [CrossRef]
- Fan, X.; Meng, F.; Deng, J.; Semnani, A.; Zhao, P.; Zhang, Q. Transformative reconstruction of missing acoustic well logs using multi-head self-attention BiRNNs. Geoenergy Sci. Eng. 2025, 245, 213513. [Google Scholar] [CrossRef]
- Wang, J.; Cao, J.; Fu, J.; Xu, H. Missing well logs prediction using deep learning integrated neural network with the self-attention mechanism. Energy 2022, 261, 125270. [Google Scholar] [CrossRef]
- Lin, L.; Wei, H.; Wu, T.; Zhang, P.; Zhong, Z.; Li, C. Missing well-log reconstruction using a sequence self-attention deep-learning framework. Geophysics 2023, 88, D391–D410. [Google Scholar] [CrossRef]
- Liu, Q.; Kong, F.L. A method for training while drilling to predict electromagnetic wave logging curves based on long short-term memory neural networks. Earth Sci. Inform. 2025, 18, 431. [Google Scholar] [CrossRef]
- Mulashani, A.K.; Shen, C.; Nkurlu, B.M.; Mkono, C.N.; Kawamala, M. Enhanced group method of data handling (GMDH) for permeability prediction based on the modified Levenberg Marquardt technique from well log data. Energy 2022, 239, 121915. [Google Scholar] [CrossRef]
- Xu, B.; Feng, Z.; Zhou, J.; Shao, R.; Wu, H.; Liu, P.; Tian, H.; Li, W.; Xiao, L. Transfer learning for well logging formation evaluation using similarity weights. Artif. Intell. Geosci. 2024, 5, 100091. [Google Scholar] [CrossRef]
- Al-Fakih, A.; Koeshidayatullah, A.; Mukerji, T.; Al-Azani, S.; Kaka, S.I. Well log data generation and imputation using sequence based generative adversarial networks. Sci. Rep. 2025, 15, 11000. [Google Scholar] [CrossRef]
- Vaswani, A.; Shazeer, N.; Parmar, N.; Uszkoreit, J.; Jones, L.; Gomez, A.N.; Polosukhin, I. Attention Is All You Need. Adv. Neural Inf. Process. Syst. 2017, 30, 5998–6008. [Google Scholar] [CrossRef]
- Wang, Z.; Wang, Y. Integrating unsupervised learning and transformer for missing logging data prediction. Geophysics 2025, 90, D85–D100. [Google Scholar] [CrossRef]
- Yildiz, A.Y.; Koç, E.; Koç, A. Multivariate Time Series Imputation with Transformers. IEEE Signal Process. Lett. 2022, 29, 2517–2521. [Google Scholar] [CrossRef]
- Han, J.; Deng, Y.; Zheng, B.; Cao, Z. Well logging super-resolution based on fractal interpolation enhanced by BiLSTM-AMPSO. Geomech. Geophys. Geo-Energy Geo-Resour. 2025, 11, 54. [Google Scholar] [CrossRef]
- Qu, F.; Liao, H.; Liu, J.; Wu, T.; Shi, F.; Xu, Y. A novel well log data imputation methods with CGAN and swarm intelligence optimization. Energy 2024, 293, 130694. [Google Scholar] [CrossRef]
- Mukherjee, B.; Sain, K.; Kar, S.; Srivardhan, V. Deep learning-aided simultaneous missing well log prediction in multiple stratigraphic units: A case study from the Bhogpara oil field, Upper Assam, Northeast India. Earth Sci. Inform. 2024, 17, 4901–4928. [Google Scholar] [CrossRef]
- Ali, M. A novel machine learning approach for detecting outliers, rebuilding well logs, and enhancing reservoir characterization. Nat. Resour. Res. 2023, 32, 1047–1066. [Google Scholar] [CrossRef]
- Onalo, D. Dynamic data driven sonic well log model for formation evaluation. J. Pet. Sci. Eng. 2019, 175, 1049–1062. [Google Scholar] [CrossRef]
- Garini, S.A.; Shiddiqi, A.M.; Utama, W.; Abduh, M.U.N. Reconstructing Missing Well-Log Data with LightGBM and BiRNN in Oil Fields. In Proceedings of the 2025 International Conference on Smart Computing, IoT and Machine Learning (SIML), Surakarta, Indonesia, 3–4 June 2025. [Google Scholar] [CrossRef]
- Kumar, K.I.; Tripathi, B.K.; Singh, A. Synthetic well log modeling with light gradient boosting machine for Assam-Arakan Basin, India. J. Pet. Sci. Eng. 2022, 203, 104679. [Google Scholar] [CrossRef]
- Gjerdingen, T.; Hilton, J.; Bounoua, N. Sourceless LWD Porosity Determination: A Fit for Purpose Formation Evaluation with Significant HS&E Benefits. In Proceedings of the SPE Annual Technical Conference and Exhibition, San Antonio, TX, USA, 8–10 October 2012. [Google Scholar] [CrossRef]













| Module | Specification/Version |
|---|---|
| CPU | 16-core x86_64 (≥2.5 GHz) |
| Memory | 64 GB DDR4 |
| GPU | NVIDIA RTX 4090, 24 GB VRAM |
| Storage | 2 TB NVMe SSD |
| Operating system | Ubuntu 22.04 LTS |
| Python | 3.10 |
| PyTorch | 2.3 |
| CUDA/cuDNN | 12.1/9 |
| Major libraries | NumPy 1.26; SciPy 1.11; Pandas 2.2; scikit-learn 1.4; Matplotlib 3.9 |
| Model | RMSE | MAE | R2 | Pearson r | Within ±0.02 | Within ±0.05 |
|---|---|---|---|---|---|---|
| RF-Transformer | 0.0126 | 0.0079 | 0.9863 | 0.9932 | 92.86 | 99.34 |
| Random Forest [12] | 0.0154 | 0.0103 | 0.9796 | 0.9899 | 87.42 | 98.84 |
| Decision-Tree [30] | 0.0219 | 0.0149 | 0.9585 | 0.9791 | 74.97 | 96.38 |
| KNN [7] | 0.0252 | 0.0179 | 0.9453 | 0.9724 | 67.56 | 95.29 |
| LightGBM-NN [39] | 0.0264 | 0.0199 | 0.9399 | 0.9709 | 61.39 | 93.92 |
| Base-Transformer [26] | 0.0305 | 0.0219 | 0.9196 | 0.9590 | 57.90 | 92.23 |
| LightGBM [40] | 0.0315 | 0.0233 | 0.9142 | 0.9671 | 53.85 | 90.67 |
Disclaimer/Publisher’s Note: The statements, opinions and data contained in all publications are solely those of the individual author(s) and contributor(s) and not of MDPI and/or the editor(s). MDPI and/or the editor(s) disclaim responsibility for any injury to people or property resulting from any ideas, methods, instructions or products referred to in the content. |
© 2026 by the authors. Licensee MDPI, Basel, Switzerland. This article is an open access article distributed under the terms and conditions of the Creative Commons Attribution (CC BY) license.
Share and Cite
Su, J.; Dong, X.; Zeng, Y.; Liu, P.; Shi, X.; Shi, W. High-Precision Density Log Reconstruction Method Based on the RF-Transformer Algorithm. Appl. Sci. 2026, 16, 2352. https://doi.org/10.3390/app16052352
Su J, Dong X, Zeng Y, Liu P, Shi X, Shi W. High-Precision Density Log Reconstruction Method Based on the RF-Transformer Algorithm. Applied Sciences. 2026; 16(5):2352. https://doi.org/10.3390/app16052352
Chicago/Turabian StyleSu, Junlei, Xu Dong, Yu Zeng, Peidong Liu, Xueying Shi, and Wenqi Shi. 2026. "High-Precision Density Log Reconstruction Method Based on the RF-Transformer Algorithm" Applied Sciences 16, no. 5: 2352. https://doi.org/10.3390/app16052352
APA StyleSu, J., Dong, X., Zeng, Y., Liu, P., Shi, X., & Shi, W. (2026). High-Precision Density Log Reconstruction Method Based on the RF-Transformer Algorithm. Applied Sciences, 16(5), 2352. https://doi.org/10.3390/app16052352

